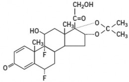
Công thức:

C22H29FO5 ptl: 392,5
Tên khoa học: 9-fluoro-11β, 17, 21-trihydroxy-16α methyl-pregn-1,4-dien-3,20 dion. So với prednisolone thì công thức có thêm 9 – F và 16α – CH3. Chất này được
Arth và cộng sự tổng hợp năm 1958.
Điều chế: từ Diosgenin
Tính chất:
Bột kết tinh trắng hoặc gần như trắng, hoặc tinh thể không màu. Thực tế không tan trong nước, hơi tan trong ethanol 96%, khó tan trong methylene clorid; chảy ở khoảng 2550C (có phân hủy)
Định tính:
- Dùng phổ IR.
Có thể bạn quan tâm!
-
Vẽ Được Khung Hoặc Công Thức Chung Của Mỗi Nhóm Thuốc (Nếu Có); Công Thức Cấu Tạo Của Các Chất Trong Chương. -
Hóa dược trường CĐ phương đông Đà Nẵng - 28 -
Hóa dược trường CĐ phương đông Đà Nẵng - 29 -
Hormon Tuyến Tụy Và Các Thuốc Tổng Hợp Điều Trị Bệnh Đái Tháo Đường -
Trình Bày Được Liên Quan Giữa Cấu Trúc Và Tác Động Của Các Vitamin. -
Hóa dược trường CĐ phương đông Đà Nẵng - 33
Xem toàn bộ 293 trang tài liệu này.
- TLC: Dung dịch có cùng nồng độ betamethasone chuẩn và chất chuẩn làm dung dịch phân giải.
- Tạo dẫn chất phenylhydrazol có màu và đo độ hấp thụ ở 419nm.
- Thử nguyên tố F: Vô cơ hóa rồi thử theo hướng dẫn. Dung dịch mẫu trắng có màu vàng còn dung dịch mẫu thử có màu đỏ.
20 0 0
- [α]D = +75 80 (C1, dioxin).
Thử tạp chất liên quan:
HPLC, dung dịch phân giải chứa chất chuẩn và methylprednisolone chuẩn cùng nồng độ.
Định lượng:
Đo ở 238,5nm từ dung dịch có nồng độ chính xác khoảng 0,001% (w/v) trong ethanol 96%, tính kết quả theo A (1%, 1cm) = 394.
230
Công dụng:
Dexamethasone có tác dụng glucocorticoid (chống viêm) gấp 7 lần prednisolone và 25 lần cortison. Theo đường uống, liều có tác dụng chống viêm tương đương của dexamethasone và một số glucocorticoid chính như sau:
Cortison actat: 25mg Triamcinolon: 4mg
Hydrocortisone: 20mg Dexamethason: 0,75mg
Prednison: 5mg Betamethasone: 0,75mg Prenisolon: 5mg
Dexamethason không có hoạt tính chuyển hóa muối khoáng (không giữ Na+, nước), dùng thuận lợi cho các trường hợp như thiểu năng thận, tim, cao huyết áp… Khi uống dễ được hấp thu, thời gian bán hủy sinh học (ở huyết tương) khoảng 36-54 giờ. Vậy dexamethasone có tác dụng kéo dài.
Với hoạt tính mạnh, kéo dài, không giữ muối – nước, dexamethasone là một thuốc chống viêm, chống dị ứng dùng rộng rãi, ngoài ra có những chỉ định cần thiết khác của một glucocorticoid bán tổng hợp.
Dexamethasone được dùng dưới dạng các ester acetat, isonicotinat, natri phosphate (hoặc phosphate), natri metasulfobenzoat (là 21 – natri m – sulfo benzoate), trong đó dexamethasone acetat và dexamethasone natri phosphate phổ biến hơn cả.
Cách dùng, liều dùng (liều tính ra dexamethasone):
- Chống viêm, chống dị ứng, chẩn đoán hội chứng Cushing (dựa trên tác dụng “chặn” vỏ thượng thận), dùng đường uống (dạng alcol) viên nén (0,5; 0,75; 4; 5 mg/ viên): 0,5 – 10mg/24 giờ/ lần hoặc chia vài lần.
- Các trường hợp không nặng hoặc không khẩn cấp dùng hỗn dịch tiêm.
- Các trường hợp bệnh nặng hoặc cần phải thuyên giảm nhanh như u não, phù não, sốc dùng dung dịch tiêm.
- Chữa hen phế quản (ester natri phosphate): xịt vào họng và hít vào.
- Viêm mũi dị ứng hoặc các dạng viêm mũi: Phun dung dịch (0,04%; 0,1%...) 231
- Dùng dạng kem, mỡ (0,1%).
- Dung dịch nhỏ mắt hoặc mỡ tra mắt (0,05 – 0,1%)
Ngoài ra: Dùng uống hoặc IV để phòng chống nôn khi dùng hóa trị liệu ung thư.
Trong công thức trên: Nếu chuyển sang 16-epimer (16β – CH3) ta có betamethasone (biệt dược Coleston, Betacort…), tác dụng và sử dụng tương tự dexamethason.
BECLOMETHASON DIPROPINAT
Biệt dược: Beclovent, Beconase, Vanceril.
Công thức:

C26H37ClO7 ptl: 521,05
Tên khoa học: 9-cloro-11β,17,21-trihydroxy-16p-methyl-pregn-1,4-dien-3,20-dion-17, 21-dipropionat.
Về công thức: So với betamethasone thì –F được thay thế bằng –Cl. So với prednisolone thì có thêm 9 – Cl, 16p – CHg. Chất này được bán tổng hợp từ hecogenin ở Anh năm 1962.
Tính chất:
Bột trắng hoặc trắng ngà, không mùi, rất khó tan trong nước, dễ tan trong chloroform, alcol, acteton.
Định tính:
- Dùng phổ IR, dùng TLC (định tính và thử tinh khiết).
232
- Phản ứng với H2SO4 đặc: Cho màu nâu đỏ; pha loãng màu nâu nhạt đi và dung dịch vẫn trong.
Định lượng:
Bằng đo màu, dựa vào phản ứng tạo hợp chất formazon (xem phần đại cương).
Công dụng:
Chế phẩm không dùng tác dụng toàn thân vì bị thủy phân nhanh và phá hủy nhanh ở gan, cũng không dùng tác dụng khu vực vì do thân mỡ cao, khuếch tán rất chậm, chỉ hấp thu và hầu như khu trú tác dụng tại chỗ. Tác dụng tại chỗ của β-clomethason dipropionat gấp 500 lần tác dụng tại chỗ của dexamethasone.
Chỉ định:
Chữa hen, viêm mũi và có dùng ngoài da, dưới dạng khí dung (hoặc bột hít), hỗn dịch, với liều 400µg/ 24 giờ, thuốc mỡ 0,025%.
* Một đồng phân vị trí của beclomethason dipropionat có tác dụng chống viêm và do tính chất dược động học, chỉ dùng ngoài là alclomethason dipropionat: với chất này, Cl ở 7a-Cl, được dùng dạng thuốc mỡ hoặc kem 0,05%.
BUDESONID
Công thức:

C25H34O6 ptl: 430,5
Tên khoa học: 16α-17α-butilidendioxy-pregn-1,4-dien-3,20-dion.
- Do các nhóm OH ở 16, 17 được tạo vòng cetonid (tác dụng tại chỗ tăng) và dược động học cơ bản tương tự beclomethason, budesonide được dùng với tác dụng tại chỗ để
233
chữa hen, viêm mũi dị ứng, viêm ruột, viêm dị ứng ngoài da. Nói chung hiệu lực cao hơn beclomethason.
- Chữa hen: Dùng dạng khí dung: 200µg/ lần x 2 lần/ 24 giờ, không quá 1,6mg/ 24 giờ, hoặc dùng dạng bột hít.
- Điều trị viêm tắc thanh quản ở trẻ em (dùng dạng dung dịch qua máy khi dung).
- Phòng và điều trị viêm mũi, điều trị polyp ở mũi, dạng thuốc xịt.
- Viêm ruột: Như bệnh Crohn, viêm ruột nói chung: uống dạng viên nhộng tan ở ruột: 9mg/24 giờ; với viêm ruột kết có thể thụt dung dịch 0,002%.
- Chống viêm và các rối loạn dị ứng da: Dùng kem hoặc mỡ 0,025%.
FLUOCINOL ACETONID
Biệt dược: Synalar, Flucinar…
Công thức:

C24H30F2O6 ptl: 452,5
Tên khoa học: 6α, 9-difluoro-11β(3, 21-dihydroxy-16α,17-isopropyliden dioxy pregn-1,4- dien-3, 20-dion.
Tính chất:
Bột tinh thể trắng hoặc hầu như trắng, thực tế không tan trong nước, ether dầu hỏa nhẹ, tan trong alcol, aceton, chloroform.
Định tính:
- Dùng phổ IR, TLC (để định tính và thử tinh khiết)
234
- Phản ứng với thuốc thử sulforomic: Đun 0,5ml thuốc thử đến khi có khói trắng ở đáy ống nghiệm thì thành ống không bị “ướt” và không có chất lỏng như dầu bám vào, thêm 2mg chế phẩm và làm như trên thì thành ống nghiệm bị “ướt” và khi đổ đi dung dịch khó chảy ra ngoài.
- Phổ hấp thụ UV: Đo từ dung dịch có nồng độ chính xác khoảng 0,002% (w/v) trong ethanol có 𝜆max=239nm với A (1%, 1cm) = 345 – 375.
Định lượng: Bằng đo màu ở song 485nm (xem nguyên tắc ở phần đại cương).
Công dụng:
- Khi uống được hấp thu và chuyển hóa ở gan, còn 20% liều uống gây tác dụng toàn thân, chất chuyển hóa chính là 6β – hydroxyl – flunisolid có tác dụng yếu; tác dụng toàn thân kém.
- Tác dụng tại chỗ của fluocinolon acetonid rất tốt cho các OH ở 16 và 17 được acetonid hóa, đặc biệt khi dùng ngoài. Nồng độ trong các chế phẩm ở khoảng 0,0025% - 0,025%.
- Ngoài ra có thể dùng điều trị viêm tai, mũi dưới dạng dung dịch để rửa, phun, pha trong các dung môi hữu cơ thích hợp.
Để phối hợp với tác dụng chống vi khuẩn, thường phối hợp Synalar với neomycin sulfat, ví dụ: Thuốc mỡ Synalar – N gồm: 0,025% Synalar; 0,5% neomycin sulfat, bôi 2-3 lần/ 24 giờ trị các bệnh ngoài da: eczema, viêm da, mẩn ngứa, các bệnh viêm – dị ứng ngoài da khác, với bệnh vẩy nến thì tác dụng có hạn chế.
Ester 21 – acetat của fluocinolon acetonid là fluocinolid cũng được dùng ngoài dưới dạng thuốc mỡ hoặc kem, nồng độ 0,05%.
3.8. Các mineralocorticoid
Tác dụng chính của mineralocorticoid là tăng tái hấp thu Na+, tăng thải K+ nên nồng độ cao các chất này sẽ dẫn đến: giữ Na+, giảm K+, kèm theo tăng thể tích, nặng cân, tăng huyết áp và mất kiềm. Đó cũng là tác dụng phụ khi dùng điều trị thay thế khi thiểu năng hoặc suy thượng thận.
Hormone chính là sldosteron, desoxycorticosteron (D.O.C), aldosterone kén bền nay không dùng.
DEOXYCORTICOSTERON ACETAT (D.O.C.A)
Biệt dược: Deoxycorton (desoxycorton), Cortin.
235
Công thức:

C23H32O4 ptl: 372,50
Tên khoa học: 21 – hydroxyl – pregn – 4 – en – 3,20 – dion acetat (hay 11 – desoxycortico-steron acetat).
Reichstein và cộng sự bán tổng hợp năm 1938.
Tính chất:
Chế phẩm có dạng bột kết tinh trắng hoặc kem nhạt, thực tế không tan trong nước, tan trong alcol và dầu mỡ.
Định tính:
Phổ hấp thụ UV: Đo ở 𝜆max=240nm, dùng các dung dịch chuẩn và thử có nồng độ 10µg/ml pha trong ethanol; độ hấp thụ không khác nhau quá 3%.
Định lượng:
Đo màu dựa vào phản ứng khử muối tetrazol nhưng dùng xanh tetrazolium nên đo ở bước song 525nm.
Công dụng:
Là một hormone mineralocorticoid, tác dụng glucocorticoid không đáng kể, được dùng điều trị thiểu năng, suy vỏ thượng thận (bệnh Addison). Phối hợp với hyrocortison hoặc cortison, dạng dung dịch tiêm trong dầu 5mg/ml:
- Liều (IM): 5mg/ lần x 3 lần/ tuần.
- Dạng ester pivalat (trimethyl acetat) -21, (biệt dược là Percorten) có tác dụng kéo dài, dùng dạng hỗn dịch tiêm 2,5%, tiêm 1 lần/ 4 tuần.
236
D.O.C.A còn được dùng dưới dạng viên nén, nhưng tác dụng kém hơn. Rất thận trọng khi phải dùng khi suy tim, suy thận, xơ gan, phù, cao huyết áp.
Thuốc bán tổng hợp của nhóm này là chất sau đây:
FLUDROCORTISON ACETAT
Biệt dược: Florinef.
Công thức:

C23H31FO6 ptl: 422,5
Tên khoa học: 9-fluoro-11β,17,21-trihydroxy pregn-4-en-3,20-dion-21-acetat.
Chất này chính là ester acetat của 9-fluo hydrocortisone, do Fried và Sabo (Mỹ) bán tổng hợp 1954.
Điều chế:
Loại nước hydrocortisone acetat (I) để được dẫn chất 4,9-dien (III), dùng Pestalotia foedans gắn được 11α-hydroxy (IV), qua một số giai đoạn nữa gắn được 9a-F và chuyển 11a-OH 11p –OH (V)
237






