với diethylcarbonat hoặc ethyl cloroformat tạo (IV). Cho (IV) tác dụng với cyclohexylamin tạo glibenclamid (V).

Tính chất:
Lý tính:
Bột kết tinh trắng hoặc hầu như trắng, thực tế không tan trong nước, hơi tan trong cloromethan, khó tan trong methanol và ethanol; thực tế không tan trong ether; tan trong các dung dịch kiềm loãng. Nóng chảy khoảng 1690C đến 1740C.
Hóa tính:
Hóa tính của glibenclamid là hóa tính chung của các thuốc điều trị bệnh đái tháo đường thuộc dẫn chất sulfonylurea. Glibenclamid có pKa 5,3.
Dung dịch chế phẩm 0,1 mg/ml trong methanol đã acid hóa bằng acid hydroclorid có cực đại hấp thụ ở 275 và 300nm với độ hấp thụ riêng lần lượt là 27-33 và 61-65.
Định lượng:
Bằng phương pháp đo kiềm, dung môi là ethanol, chỉ thị phenophtalein. Trong phép định lượng này, 1 phân tử glibenclamid phản ứng với 1 phân tử NaOH.
Công dụng: dùng điều trị bệnh đái tháo đường typ 2.
Dạng bào chế: Viên nén với hàm lượng từ 1,25mg đến 5mg.
GLICLAZID
Biệt dược: Diamicron
Công thức:

246
Tên khoa học: 1-(azabicyclo[3,3,0] oct-3-yl)-3-p-tolylsulfonylure.
Tính chất:
Lý tính:
Bột kết tinh trắng hoặc hầu như trắng. Thực tế không tan trong nước, dễ tan trong dicloromethan, hơi tan trong aceton; khó tan trong ethanol.
Hóa tính:
Là hóa tính chung của các sulfonylurea có tác dụng chống đái tháo đường.
Gliclazid có pKa 5,98; nghĩa là có tính acid yếu, song lạo có tính base khá mạnh của nhân azabicyclo [3,3,0] oct-3-yl. Vì vậy, thường định lượng gliclazid bằng phương pháp đo acid trong môi trường khan (dung môi acid acetic khan, chất chuẩn acid perclorid, chỉ thị đo điện thế) và 1 phân tử acid percloric phản ứng với 1 phân tử gliclazid.
Công dụng:
Chỉ định điều trị bệnh đái tháo đường typ 2. Liều thường dùng cho người lớn 160mg/ lần; ngày 2 lần.
Dạng bào chế: viên nén 80mg.
6.2.2. Các biguanid
Thời trung cổ, ở Châu Âu, người ta dùng cây Galera oficinalis để điều trị bệnh đái tháo đường. Đầu thế kỷ 20, các nhà khoa học đã xác định được hoạt chất trong cây có tác dụng đó là guanadin. Tuy có tính chất làm hạ đường huyết, nhưng quá độc nên guanadin không được dùng trong điều trị. Một thời gian ngắn sau khi đưa ra các sulfonylurea vào điều trị, một biguanid đầu tiên là phenformin được dùng trong lâm sang. Phenformin gây nhiễm acid lactic nên ngày nay không được dùng nữa. Metformin, một biguanid khác có tác dụng tốt, ít tác dụng phụ được sử dụng rộng rãi hiện nay.
METFORMIN
Biệt dược: Glucophage, Novo-Metformin, Apo-Metformin…
Công thức:

C4H11N5.HCl ptl: 165,6
Tên khoa học: 1,1-dimethylbiguanid hydroclorid.
Tính chất:
Lý tính:
Tinh thể trắng, dễ tan trong nước, khó tan trong ethanol, thực tế không tan trong aceton và dicloromethan. Điểm chảy từ 2220C đến 2260C.
247
hợp.
Hóa tính:
Hóa tính của metformin là hóa tính của nhóm biguanid, của acid hydroclorid kết
- Đun chế phẩm với dung dịch natri hydroxyd, hơi bốc lên làm xanh giấy quỳ đỏ.
- Định tính ion clorid bằng thuốc thử bạc nitrat. Có thể định lượng metformin
hydroclorid bằng phương pháp đo kiềm.
- Tác dụng với dung dịch naphtol trong kiềm và natri hypobromid tạo màu hồng.
Định lượng:
Bằng phương pháp đo acid trong môi trường khan, dung môi là hỗn hợp acid formic và anhydric acetic, chỉ thị đo điện thế. Trong phương pháp định lượng này, 1 phân tử metformin phản ứng với 2 phân tử acid percloric.
Ngoài ra, có thể định tính metformin bằng phương pháp đo phổ hồng ngoại so với phổ chất chuẩn hoặc bằng sắc ký lớp mỏng, phát hiện bằng phun hỗn hợp natri nitroprusid và kali fericyanid.
Công dụng:
Metformin không có tác dụng kích thích tế bào β tiết insulin. Metformin có tác dụng làm tăng độ nhạy cảm của insulin ở receptor và những chỗ liên kết sau receptor, làm tăng sự tiếp nhận và sử dụng glucose ngoại vi; có tác dụng giảm tạo ra glucose và làm tăng sự dự trữ glycogen ở gan; làm giảm sự hấp thu glucose qua ruột. Với liều điều trị, metformin không gây giảm đường huyết ở người bị cũng như người không bị đái tháo đường.
Metformin có tác dụng ức chế cạnh tranh với phức yếu tố nội-vitamin B12 trên receptor của nó nên có thể gây thiếu máu.
Chỉ định:
Dùng để điều trị bệnh đái tháo đường typ 2; có thể kết hợp với các sulfonylurea hoặc insulin nếu dùng một mình không đạt kết quả.
Dạng bào chế: viên nén 500mg, 850mg.
6.2.3. Các thiazolidindion
Đây là một nhóm thuốc mới có tác dụng chống tăng đường huyết. trong nhóm này, hiện có 2 chất được dùng trong điều trị bệnh đái tháo đường typ 2 là pioglitazone và rosiglitazone. Cấu trúc hóa học của chúng như sau:
248

ROSIGLITAZON MALEAT
Biệt dược: Avandia.
Công thức:

C18H29N3O3S.C4H4O4 ptl: 473,52
Tên khoa học: 5-[[4[2(methyl-2-pyridinylamino) ethoxy] phenyl] methyl]-2,4- thiazolidindion 2-butendioat (1:1).
Tính chất:
Bột tráng hoặc hầu như trắng, nóng chảy ở 1220C đến 1230C; pKa 6,8 và 6,1 Rosiglitazon dễ tan trong ethanol, trong dung dịch đệm pH 2,3 trong nước; pH tăng, độ tan giảm.
Công dụng:
Rosiglitazone có tác dụng làm giảm sự kháng insulin ở các tổ chức ngoại vi và ở gan; nghĩa là nó chỉ có tác dụng hạ đường huyết khi có mặt insulin.
Dùng một mình hoặc phối hợp với các thuốc khác (sulfonylurea, metformin) để điều trị bệnh đái tháo đường typ 2.
Dạng dùng: Viên nén 2mg; 4mg; 8mg.
6.2.4. Các chất ức chế α-glucosidase
Trong nhóm này có 2 chất hay được dùng trong điều trị bệnh đái tháo đường là acarbose và miglitol. Cơ chế tác dụng chung là ức chế thuận nghịch các enzyme α- glucosidase ở ruột non nên làm giảm việc tạo thành glucose, giảm hấp thu glucose vào máu.
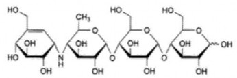
ACARBOSE
Biệt dược: Glucobay, Precose.
249

C25H43NO18 ptl: 645,6
Tên khoa học: O-4,6-dideoxy-4-4[[4,5,6-trihydroxy-3-(hydroxymethyl)-2-cyclo-hexen-1- yl]amino]-α-D-glucopyranosyl-(14)O-α-D-glucopyranosy (14)-D-glucose.
Điều chế:
Acarbose là một oligosaccarid được điều chế bằng quá trình lên men của vi khuẩn
Actinoplanes utahensis.
Tính chất:
Bột trắng hầu như trắng, tan trong nước; pKa 5,1.
Công dụng:
Acarbose có tác dụng ức chế cạnh tranh thuận nghịch với a-amylase của tuyến tụy và các a-glucosid hydrolase màng ruột. Các enzyme này tham gia thủy phân tinh bột thành các oligosaccarid trong lòng ruột non và thủy phân oligosaccarid, trisaccarid và disaccarid thành glucose và các monosaccarid khác ở rìa bàn chải ruột non. Vì vậy, acarbose có tác dụng làm giảm nồng độ glucose trong máu sau khi ăn đối với bệnh nhân bị đái tháo đường typ 2. Acarbose không gây tăng tiết insulin, không gây giảm đường huyết.
Cách dùng, liều dùng:
Để điều trị bệnh đái tháo đường typ 2, uống 25mg, ngày 3 lần trước mỗi bữa ăn chính. Sau 4-8 tuần, có thể điều chỉnh liều.
Khi kết hợp với sulfonylure hoặc insulin, nếu bị giảm đường huyết, không dùng saccarose mà phải dùng glucose. Trong trường hợp giảm đường huyết nặng, phải truyền tĩnh mạch glucose hoặc glucagon.
Dạng bào chế: Viên nén 25, 50 và 100mg.
250
BÀI 26. VITAMIN
MỤC TIÊU BÀI HỌC:Sau khi học xong bài này, sinh viên có khả năng
1. Nhận dạng được cấu trúc của các vitamin.
2. Trình bày được liên quan giữa cấu trúc và tác động của các vitamin.
3. Sử dụng được một số vitamin, an toàn và hợp lý.
Nội dung
1. Đại cương
1.1. Định nghĩa và các khái niệm liên quan vitamin
Vitamin là những hợp chất hữu cơ có hoạt tính sinh học không thể thiếu được đối với cơ thể người cũng như động vật, có vai trò quan trọng trong chuyển hóa các hóa chất và đảm bảo cở thể hoạt động bình thường.
Trừ vitamin D và K, tất cả các vitamin còn lại đều được cung cấp từ thức ăn với số lượng nhỏ vì cơ thể không tự tổng hợp được nếu có chỉ với một số lượng rất nhỏ không đủ cho nhu cầu hằng ngày.
Vitamin và thực phẩm
Tuy có nguồn gốc từ thực phẩm nhưng vitamin không được xếp vào nhóm thực phẩm vì lượng cần thiết hàng ngày của các loại vitamin khoảng 1-1.000 mg, thấp hơn lượng thực phẩm (protid, lipid, glucid) đến hàng ngàn lần.
Vitamin và các khoáng chất vi lượng
Cũng như các nguyên tố vi lượng (Fe, I, Mn,Zn . . . ), vitamin là những chất không có giá trị về mặt năng lượng nhưng cần thiết cho cơ thể và cho sự phát triển, tác động ở liều thấp và cơ thể không tự tổng hợp được mà phải được cung cấp từ thực phẩm. Từ “vitamin” nói lên bản chất hữu cơ khác với vô cơ của các nguyên tố vi lượng.
Vitamin và enzyme
Cấu trúc của enzyme gồm:
Apoenzym có bản chất là protein, quyết định tính chất đặc hiệu của enzyme. Coenzym không phải là protein nên không quyết định được tính đặc hiệu này.
Coenzym gồm một chất xúc tác gắn với một acid hữu cơ, chất xúc tác là vitamin hoặc là kim loại nhưng thường là vitamin.
Nếu thiếu vitamin, hệ enzyme tương ứng không được hình thành, chuyển hóa bị rối loạn. Thí dụ: vitamin B6 là coenzyme của các enzyme sau:
Decarboxylase: decarboxyl hóa tryptophan thành tyramin, histadin thành histamine. Synthase: tajo tryptophan tuwr serin.
1.2. Danh pháp
Có thể gọi tên vitamin theo nhiều cách:
Dựa theo tác động dược lý: gọi theo bệnh do thiếu vitamin đó gây ra, thí dụ:
251
Vitamin E: được gọi là tocopherol hay vitamin mang lại sự sinh đẻ (toco theo tiến hy lạp có nghĩa là sinh đẻ, pherin là mang lại).
Vitamin A: được gọi là axerophtol do chữa được bệnh khô mắt (xerophtalmie). Vitamin PP: được gọi là pellagre preventive do phòng được bệnh pellagra.
Tuy nhiên, do lượng vitamin ngày càng được tìm ra càng nhiều, có khi thiếu một vitamin lại không liên quan đến một bệnh đặc hiệu nào nên cách gọi tên này có nhiều nhược điểm. Dựa theo chữ cái latin: các vitamin được gọi theo chữ cái latin, như:A, B, C, D nếu trong nhóm có nhiều loại thì đánh số tiếp theo như vitamin B1, B2, . . .
Dựa theo tên hóa học: các vitamin được gọi theo tên hóa học: thí dụ: Vitamin D3, được gọi là cholecalciferol.
Vitamin K, được gọi là phytonadion. Vitamin B1 được gọi là thiamin.
Vitamin B2 được gọi là riboflavin.
1.3. Phân loại
Vitamin được phân loại dựa theo tính hòa tan:
Vitamin tan trong dầu: vitamin A,D,E và K thiên nhiên. Vitamin tan trong nước: vitamin nhóm B, vitamin C . . .
1.4. Chức năng sinh học
Các chức năng sinh học có liên quan đến vitamin chưa được làm sáng tỏ hoàn toàn nhưng có thể biết rằng:
Vitamin là thành phần của coenzyme (phần lớn vitamin nhóm B) nên góp phần vào nhiều phản ứng của enzyme để tổng hợp hay phân hủy các glucid, protid, lipid được hấp thụ từ thức ăn để biến chúng thành năng lượng cần thiết cho hoạt động tế bào, tăng trưởng, dự trữ năng lượng và duy trì cấu trúc cơ thể.
Vitamin và các nguyên tố vi lượng giữ vai trò xúc tác phản ứng trong cơ thể.
Điều này giải thích cho nhu cầu hàng ngày về các chất này là không đáng kể nhưng không thể thiếu được để chuyển đổi và tái tạo không ngừng các tế bào sống (xem chức năng của các vitamin liệt kê trong bảng 13.1).
Bảng 13.1 Chức năng của các vitamin
Chức năng | |
A B E K B1 B2 B3 | Dạng alcol: phân chia tế bào. Dạng aldehyd: phối hợp opsin thành sắc tố nhạy sáng của tế bào gậy ở võng mạc. Dạng acid: vai trò trong sự sừng hoá. Làm tăng Ca huyết, vôi hoá xương. Tác nhân chống oxy hoá, chống lão hoá. Tạo prothrombim là yếu tố (II) của quá trình đông máu. Coenzym tham gia chuyển hoá glucid, hô hấp tế bào, dẫn truyền thần kinh. Coenzym của FAD, vai trò oxy hoá sinh học, vận chuyển electron trong chuỗi hô hấp tế bào. Coenzym của NAD, vận chuyển electron, cần thiết cho sự hô hấp của mô. Là thành phần coenzyme A, vận chuyển nhóm bicarbonate, tổng hợp triglyceride, phospholipid, cholesterol nên có lien quan đến hoạt tính của vỏ thượng thận. |
Có thể bạn quan tâm!
-
Hóa dược trường CĐ phương đông Đà Nẵng - 29 -
Hóa dược trường CĐ phương đông Đà Nẵng - 30 -
Hormon Tuyến Tụy Và Các Thuốc Tổng Hợp Điều Trị Bệnh Đái Tháo Đường -
Hóa dược trường CĐ phương đông Đà Nẵng - 33 -
Hóa dược trường CĐ phương đông Đà Nẵng - 34 -
Hóa dược trường CĐ phương đông Đà Nẵng - 35
Xem toàn bộ 293 trang tài liệu này.
252
Coenzym cho nhiều phản ứng có liên quan đến acid amin. Coenzym trong phản ứng chuyển hoá carboxyl từ acetylcoenzym A thành acid béo. Có vai trò tổng hợp purin, acid nucleic cần thiết để tạo máu. Cùng với acid tetrahydrofolic trong việc tạo nên AND, tạo thuận lợi cho sinh tổng hợp methiomin. Tạo collagen, chuyển acid folic thành tetrahydrofolic, tạo feritin. |
B5
1.5. Kháng vitamin (anti-vitamin)
Là các chất có cấu trúc hoá học tương tự như viatamin nhưng có thể ức chế tác động của vitamin do phá huỷ cấu trúc phân tử của vitamin, cạnh tranh tác động của vitamin tham gia xúc tác, làm ngừng chuyển hoá ở một giai đoạn nhất định. Thí dụ: dẫn xuất dicoumarin là chất đối kháng với vitamin K.
Các kháng vitamin thường được dùng trong nghiên cứu.
Gây bệnh tê phù trên chuột bằng pyrithiamin (kháng vitamin B1). Gây bệnh Scorbut trên chuột bằng gluco-ascobic (kháng vitamin C). Các kháng vitamin cũng được dùng trong trị liệu
Dùng dicoumin để chống đông máu (kháng vitamin K). Dùng methotroxat để chống ung thư (kháng acid folic).
1.6. Tình trạng thiếu vitamin
Trong tình trạng không được cung cấp từ thức ăn, cơ thể sử dụng phần vitamin dự trữ, lúc này có thể nhận thấy được ở tế bào sự rối loạn có liên quan đến sự vô hoạt của vài enzyme.
Các biểu hiện lâm sang xuất hiện sau một thời gian dài bị thiếu, có thể thấy các biểu hiện lâm sang không đặc hiệu dưới dạng suy nhược không giải thích được như: không thích ăn, sụt cân, mất ngủ hoặc bị kích thích mà không đặc trưng cho sự thiếu một vitamin cụ thể nào.
Nghiên cứu ở những người tình nguyện và khoẻ mạnh theo chế độ ăn thiếu vitamin B1 thì trong 10 ngày đầu cơ thể dùng lượng vitamin dự trữ, sau đó các rối loạn tế bào xuât hiện nhưng đến 06 tháng sau thì mới thấy các dấu hiệu lâm sang của sự thiếu vitamin.
Nguyên nhân:
Mất cân bằng dinh dưỡng. Hấp thụ bị cản trở.
Rối loạn hấp thu.
1.7. Tình trạng thừa vitamin
Bệnh thừa vitamin gọi là hypervitaminose, có thể do ăn uống nhưng ít gặp cơ thể có chế tự điều chỉnh trong quá trình hấp thu qua đường tiêu hoá, hoặc do lạm dụng thuốc.
253






