PV 
0
Trong đó:
f (i, n) T 
1 (1i)n i
PV0: Giá trị hiện tại của các khoản tiền đều nhau trong tương lai. T: Khoản tiền tiết kiệm được mỗi năm.
i : Tỷ suất hiện tại hóa.
n: Số năm nhận được khoản tiền.
Có thể bạn quan tâm!
-  
 Phương Pháp Định Giá Tiếp Cận Từ Thị Trường -  
 Các Yếu Tố Ảnh Hưởng Đến Giá Trị Doanh Nghiệp -  
 Các Phương Pháp Chủ Yếu Định Giá Doanh Nghiệp -  
 Phương Pháp Hiện Tại Hóa Lợi Nhuận Thuần -  
 Phương Pháp Chiết Khấu Và Vốn Hoá Dòng Tiền Thuần. -  
 Phương Pháp Định Giá Doanh Nghiệp Dựa Vào Tỷ Số P/e 
Xem toàn bộ 94 trang tài liệu này.
Hoặc tra bảng tính sẵn giá trị hiện tại của một đồng tiền theo công thức trên với i = 20% và n = 10 năm, ta có:
1 (1 20%)10

f (20%,10) 
20%
 4,1925
Như vậy giá trị lợi thế của quyền thuê tài sản là: 5 x 4,1925 = 20,96 triệu đồng.
- Đối với cổ phiếu đầu tư vào công ty N: Giá trị thị trường của
2.200 cổ phiếu đầu tư vào Công ty N được tính tại thời điểm định giá doanh nghiệp là:
2.200 cổ phiếu x 110.000 đồng/cổ phiếu = 242 triệu đồng
- Giá trị của số tài sản cho thuê theo hợp đồng: Được tính bằng giá trị hiện tại của dòng tiền nhận được hàng năm. Áp dụng công thức ở trên, tra bảng tính sẵn giá trị hiện tại với n = 20 năm với tỷ lệ hiện tại hóa là i = 20%, ta có:
f (20%, 20) = 4,8696
Giá trị tài sản cho thuê dài hạn = 15 x 4,8696 = 73,044 triệu đồng Trên cơ sở các kết quả trên, có thể xác định tổng giá trị tài sản
của doanh nghiệp sau khi đánh giá lại là:
VT = 2.500 - 30 - 50 + 150 + 20,96 + (242 - 220) + 40 + (73,044 - 180)
= 2.546,004 triệu đồng.
Giả sử Công ty ABC không phải nộp thuế tính trên giá trị tăng thêm sau khi đánh giá lại tài sản theo giá thị trường thì giá trị tài sản thuần của công ty được xác định như sau: 2.546,004 - 1.300 = 1.246,004 triệu đồng.
c. Ưu điểm, hạn chế và khả năng áp dụng:
* Ưu điểm:
- Phương pháp giá trị tài sản thuần được thực hiện một cách dễ dàng, đơn giản, không đòi hỏi các kỹ thuật tính toán phức tạp.
- Phương pháp này dựa trên việc đánh giá giá trị của những tài
sản cụ thể, hiện hữu của doanh nghiệp. Đây là một căn cứ cụ thể, có tính pháp lý rõ ràng nhất về tài sản và thu nhập mà người mua chắc chẵn sẽ nhận được khi sở hữu doanh nghiệp. Điều này nói lên rằng, số tiền mà người mua bỏ ra luôn luôn được đảm bảo bằng một lượng tài sản có thật của doanh nghiệp.
* Hạn chế:
- Quá trình thực hiện định giá doanh nghiệp bằng phương pháp tài sản thuần thường tốn nhiều thời gian và chi phí, bởi lẽ, khi xác định giá trị thị trường của các loại tài sản khác nhau luôn cần đến việc thu thập thông tin thị trường và sự tham gia của các chuyên gia định giá cho các loại tài sản khác nhau. Điều này làm cho doanh nghiệp có thể mất nhiều thời gian và chi phí để tìm kiếm chuyên gia và thực hiện định giá các tài sản của doanh nghiệp.
- Trong phương pháp này, doanh nghiệp được xem như là một tập hợp các loại tài sản kết hợp với nhau. Việc định giá doanh nghiệp cũng giống như việc định giá các tài sản riêng biệt. Giá trị doanh nghiệp chỉ đơn giản được tính bằng tổng giá thị trường của toàn bộ số tài sản của doanh nghiệp tại một thời điểm nhất định. Giá trị doanh nghiệp được cố định ở giá trị của các tài sản hiện có của doanh nghiệp. Điều này có nghĩa là mới chỉ đánh giá doanh nghiệp trong trạng thái tĩnh mà chưa xem xét doanh nghiệp như là một thực thể, một tổ chức đang tồn tại và vận động, còn có thể hoàn chỉnh và phát triển trong tương lai. Do đó, phương pháp này không phù hợp với một tầm nhìn chiến lược về doanh nghiệp và chưa xem xét đến động cơ của người mua doanh nghiệp là nhằm được hưởng các khoản thu nhập mà doanh nghiệp đem lại trong tương lai, chứ không phải để bán lại ngay những tài sản hiện thời của doanh nghiệp. Chỉ khi nào doanh nghiệp bị giải thể hay phá sản thì giá trị của doanh nghiệp gần với giá trị thị trường của các tài sản thuộc sở hữu doanh nghiệp sau khi trừ đi các nghĩa vụ trả nợ.
- Phương pháp này không cung cấp và xây dựng được những thông tin cần thiết để các bên có liên quan có thể đánh giá về triển vọng sinh lời của doanh nghiệp. Phương pháp này cũng bỏ qua phần lớn các yếu tố phi vật chất như trình độ quản lý, trình độ tay nghề người lao động, uy tín, thị phần, thương hiệu,... của doanh nghiệp, trong khi đó, các yếu tố này có thể mang lại những giá trị thực sự và đôi khi chiếm tỷ trọng rất lớn trong giá trị doanh nghiệp.
Điều này lý giải vì sao với cùng một giá trị tài sản thuần bằng nhau, nhưng doanh nghiệp này lại có giá bán cao hơn doanh nghiệp kia.
- Trong một số trường hợp, việc xác định giá trị tài sản thuần có thể trở nên quá phức tạp và thiếu chính xác. Chẳng hạn, việc xác định giá trị của một tập đoàn có nhiều chi nhánh, có các khoản đầu tư ở nhiều doanh nghiệp khác nhau, nắm giữ nhiều tài sản đặc biệt. Khi đó, đòi hỏi phải tổng kiểm kê, đánh giá một cách chi tiết tất cả các tài sản ở cả công ty mẹ và các chi nhánh. Điều này sẽ gây ra những tốn kém về chi phí và thời gian, trong khi đó, kết quả đánh giá phụ thuộc rất lớn vào các thông số kỹ thuật của tài sản mà các chuyên gia kỹ thuật chuyên ngành đưa ra, từ đó, sẽ cò những sai số đáng kể so với giá trị thị trường. Trong trường hợp, phần lớn tài sản của doanh nghiệp là tài sản vô hình như các doanh nghiệp có thương hiệu mạnh, có bí quyết công nghệ, có lợi thế thương mại,… Khi đó, việc xác định giá trị tài sản vô hình sẽ phụ thuộc rất nhiều vào chủ quan của người định giá, dẫn đến giá trị của chúng có thể được định giá quá cao hoặc quá thấp so với giá trị hợp lý. Điều này cũng đưa đến những sai số đáng kể trong kết quả định giá doanh nghiệp so với giá trị thị trường.
* Khả năng áp dụng:
- Phương pháp này tỏ ra khá phù hợp khi muốn xác định mức giá thấp có thể sử dụng để đàm phán, giao dịch. Bởi lẽ, phương pháp này dựa trên việc xác định giá trị thị trường của số tài sản có thể bán riêng rẽ tại thời điểm đánh giá. Đây chính là mức giá thấp nhất, là mức giá khởi điểm để các bên liên quan đưa ra trong quá trình giao dịch và đàm phán về giá bán của doanh nghiệp.
- Phương pháp này cũng tỏ ra thích hợp và trở thành tiêu chuẩn cơ bản để xác định giá trị doanh nghiệp đối với những doanh nghiệp nhỏ, có số lượng tài sản không nhiều, giá trị các yếu tố vô hình là không đáng kể, các doanh nghiệp có chiến lược kinh doanh không rõ ràng, thiếu căn cứ xác định các khoản thu nhập trong tương lai. Phương pháp này cũng có thể được sử dụng đối với các doanh nghiệp “có vấn đề” đang trong giai đoạn thua lỗ, có dòng tiền tương lai bị âm, có khả năng bị phá sản.
- Khi phải sử dụng kết hợp nhiều phương pháp định giá khác nhau để tính giá trị bình quân thì phương pháp giá trị tài sản thuần cũng thường được lựa chọn để sử dụng với trọng số cao nhất.
- Phương pháp giá trị tài sản thuần còn có thể được sử dụng khi phương pháp dòng tiền chiết khấu đưa đến kết quả giá trị doanh nghiệp thấp hơn giá trị tài sản hữu hình thuần của doanh nghiệp. Bởi lẽ, trong trường hợp này, giá trị của doanh nghiệp (chẳng hạn doanh nghiệp kinh doanh bất động sản) chủ yếu phụ thuộc vào giá trị tài sản mà nó nắm giữ.
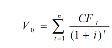
5.2.2. Phương pháp hiện tại hóa các nguồn tài chính tương lai Phương pháp hiện tại hóa các nguồn tài chính tương lai dựa trên cơ sở lý thuyết cho rằng, giá trị của một doanh nghiệp được đo bằng độ lớn của các khoản thu nhập mà doanh nghiệp có thể đem lại cho nhà đầu tư trong tương lai. Do tiền có giá trị theo thời gian, cho nên người ta thực hiện quy đổi các khoản thu nhập về thời điểm hiện tại. Theo đó, giá trị của một doanh nghiệp được xác định dựa
trên công thức tổng quát
(5.1)
Trong đó:
V0: Giá trị doanh nghiệp.
CFt: Khoản thu nhập mang lại cho nhà đầu tư ở năm thứ t.
i : Tỷ suất hiện tại hóa (còn gọi là tỷ suất chiết khấu dòng tiền).
n: Thời gian nhận được thu nhập (tính theo năm).
Nội dung kinh tế của công thức (5.1) được hiểu là: Bên mua sẵn sàng trả số tiền là V0 đồng để sở hữu doanh nghiệp với kỳ vọng là doanh nghiệp sẽ tạo ra được các khoản thu nhập CFt trong n năm, hoặc tạo ra được một tỷ suất sinh lời tối thiểu là i%/năm.
Xuất phát từ công thức tổng quát (5.1), người ta vận dụng và phát triển thành các phương pháp định giá doanh nghiệp khác nhau như: Phương pháp hiện tại hoá lợi nhuận, phương pháp định giá chứng khoán và phương pháp hiện tại hoá các dòng thu nhập của doanh nghiệp trong tương lai.
5.2.2.1 Phương pháp định giá cổ phiếu
a. Cơ sở của phương pháp:
Khi thị trường chứng khoán được hình thành và phát triển, các doanh nghiệp có thể niêm yết và đăng ký giao dịch cổ phiếu do mình đã phát hành và giá trị cổ phiếu của doanh nghiệp phản ánh giá trị của doanh nghiệp. Tuy nhiên, khi đó giá trị doanh nghiệp
cần được xác định theo những phương pháp sao cho kết quả của nó phản ánh tương đối sát với giá trị thực của cổ phiếu. M.I Gordon (1962) đã đưa ra mô hình lượng giá chứng khoán nổi tiếng, với cơ sở là: Nhà đầu tư bỏ tiền ra mua chứng khoán (tức là mua doanh nghiệp) không phải là để nắm giữ những tài sản hiện hành trong doanh nghiệp, mà để đổi lấy các khoản thu nhập trong tương lai. Giá trị thực của một chứng khoán phải được đánh giá bằng độ lớn của khoản thu nhập mà nhà đầu tư chắc chắn sẽ nhận được từ chính doanh nghiệp đó, chứ không phải thu nhập có được do yếu tố đầu cơ, biến động giá chứng khoán đem lại. Theo mô hình này, giá trị doanh nghiệp được đo bằng tổng giá trị các loại cổ phiếu đang lưu hành của doanh nghiệp.
Dựa trên cơ sở đó, các phương pháp xác định giá trị thực của một cổ phiếu đã được xây dựng và phát triển khá phong phú.
b. Nội dung phương pháp
Về nguyên lý chung, định giá cổ phiếu là việc xác định giá trị lý thuyết của cổ phiếu theo các phương pháp phù hợp. Giá trị của cổ phiếu được xác định là giá trị hiện tại của toàn bộ thu nhập mà nhà đầu tư nhận được từ việc đầu tư cổ phiếu trong thời hạn nhất định. Xét về quyền hưởng cổ tức của cổ đông, có hai loại cơ bản là cổ phiếu thường và cổ phiếu ưu đãi. Do tính chất thu nhập nhận được khác nhau nên việc định giá hai loại cổ phiếu này cũng có những
nét đặc thù riêng biệt.
b1. Định giá cổ phiếu ưu đãi
Cổ phiếu ưu đãi là loại cổ phiếu mà công ty cổ phần phát hành cam kết trả cổ tức theo một mức cố định hàng năm và không tuyên bố ngày đáo hạn.
Nếu gọi Dp là cổ tức hàng năm của cổ phiếu ưu đãi, thu nhập đem lại cho nhà đầu tư từ cổ phiếu ưu đãi cho cổ đông được mô phỏng qua sơ đồ sau:

Với dòng thu nhập mà nhà đầu tư nhận được là dòng tiền đều cuối kỳ, giá trị hiện tại của dòng thu nhập này có thể được tính theo theo công thức:
Trong đó:
Dp
r
V = (5.2)
p
Dp : Cổ tức hàng năm của cổ phiếu ưu đãi; rp : Tỷ suất chiết khấu dòng thu nhập hay tỷ suất sinh lời yêu cầu của nhà đầu tư.
Ví dụ 5.2: Giả sử Công ty cổ phần ABC phát hành cổ phiếu ưu đãi mệnh giá 10.000 đồng trả cổ tức 10% và nhà đầu tư mong muốn tỷ sinh lời là 15%, khi đó, giá trị lý thuyết của cổ phiếu ABC sẽ là:
V = = 6.666,67 (đồng)
(10.000 x 10%)
------------------------------
15%
b2. Định giá cổ phiếu thường
Cổ phiếu thường là loại cổ phiếu mà công ty cổ phần phát hành không ấn định trước mức cổ tức chi trả cho cổ đông mà mức cổ tức phụ thuộc vào kết quả hoạt động và chính sách chi trả cổ tức của công ty cổ phần. Khi nhà đầu tư nắm giữ cổ phiếu thường, nhà đầu tư có thể thực hiện chiến lược nắm giữ cổ phiếu vĩnh viễn để hưởng cổ tức hoặc chỉ nắm giữ cổ phiếu trong một khoảng thời gian nhất định sau đó bán lại. Do đó, việc định giá cổ phiếu thường được chia làm hai trường hợp như sau:
* Định giá cổ phiếu thường khi nhà đầu tư thực hiện chiến lược nắm giữ cổ phiếu vĩnh viễn để hưởng cổ tức:
Có thể mô phỏng dòng thu nhập từ cổ phiếu thường mang lại cho nhà đầu tư:
![]()
Khi đó, giá trị hiện tại của dòng thu nhập từ đầu tư cổ phiếu hay giá trị lý thuyết của cổ phiếu như sau:
D2
V= D1 
1
2  .... 
D= Dt
(5.3)
(1 re )
Trong đó:
(1 re )
e
(1 re ) t 1 (1 r )t
Dt: Cổ tức nhận được ở năm thứ t;
re: Tỷ suất hiện tại hóa hay tỷ suất sinh lời yêu cầu của nhà đầu tư; V: Giá trị lý thuyết của cổ phiếu.
* Định giá cổ phiếu thường khi nhà đầu tư thực hiện chiến lược nắm giữ cổ phiếu trong n năm, sau đó bán lại với giá dự kiến là Pn:
Có thể mô phỏng dòng thu nhập từ cổ phiếu mang lại cho nhà
đầu tư:

Khi đó, giá trị hiện tại của dòng thu nhập từ đầu tư cổ phiếu hay giá trị lý thuyết của cổ phiếu như sau:
V n Dt
Pn
(1r )t1r n
(5.4)
t 1 e e
Trong thực tế, chúng ta gần như không thể xác định được trước các khoản thu nhập dưới hình thức cổ tức, trong khi đó, cổ phiếu lại không có thời điểm đáo hạn, cổ đông chỉ có thể nhận về phần vốn của mình khi doanh nghiệp bị thanh lý, phá sản hoặc bán lại cổ phiếu vào một thời điểm nào đó trong tương lai. Việc áp dụng các công thức (5.3) và (5.4) kể trên sẽ gặp phải 3 khó khăn cơ bản: Khó có thể dự báo được các khoản thu nhập (Dt) giá trị cổ phiếu bán lại hoặc giá trị của cổ phiếu tại thời điểm thanh lý, phá sản doanh nghiệp trong tương lai; khó tìm được tỷ suất hiện tại hoá thích hợp, bởi vì đầu tư vào cổ phiếu là loại hình đầu tư chứa nhiều rủi ro, không chắc chắn về thu nhập trong tương lai; khó xác định được thời điểm chi trả cổ tức.
Để khắc phục các khó khăn kể trên, người ta đã cố gắng mô tả và tìm ra quy luật để xác định dòng thu nhập từ cổ phiếu thông qua quy luật chi trả cổ tức. Khi đó, người ta thường sử dụng mô hình dòng tiền chiết khấu (DCF) để định giá cổ phiếu.
Trong đầu tư và sở hữu cổ phiếu, có thể chia thành 2 nhóm nhà đầu tư là “nhà đầu tư thiểu số” hay “cổ đông thiểu số” và “nhà đầu tư đa số” hay “cổ đông đa số”. Thông thường, mục tiêu của nhà đầu tư thiểu số là để hưởng thu nhập từ cổ tức và chênh lệch giá cổ phiếu, bởi lẽ với tỷ lệ cổ phần nhỏ bé trong công ty thì họ không thể nhằm đến các mục tiêu khác như dành quyền kiểm soát, chi phối đến các quyết định quan trọng của công ty. Trong khi đó, mục tiêu của nhà đầu tư đa số không chỉ là thu nhập từ cổ tức và sự tăng giá cổ phiếu mà còn nhằm đến các mục tiêu thâu tóm quyền kiểm soát
doanh nghiệp, chi phối đến các quyết định quan trọng của công ty. Do đó, việc định giá cổ phiếu dựa trên quan điểm của hai nhóm nhà đầu tư này cũng có những nét đặc thù khác biệt.
* Định giá cổ phiếu thường theo mô hình chiết khấu cổ tức
Mô hình chiết khấu cổ tức được thiết kế để tính giá trị lý thuyết của cổ phiếu thường và thường thích hợp với việc định giá cổ phiếu theo quan điểm của các nhà đầu tư thiểu số. Mô hình này được đưa ra trên cơ sở các giả định:
- Dự báo và biết trước được động thái tăng trưởng cổ tức: Giả sử mức chi trả cổ tức của năm nay là D0, tỷ lệ tăng trưởng cổ tức của các năm tiếp theo được dự báo là g1, g2,... Khi đó, chúng ta sẽ xác
định được mức chi trả cổ tức của các năm tiếp theo: D1 = D0 (1+ g1);
D2 = D1(1+ g2) = D0(1+ g1)(1+ g2);...
- Có thể xác định trước tỷ suất hiện tại hóa hay tỷ suất chiết khấu
dòng tiền: giả sử tỷ suất hiện tại hóa là re.
- Tỷ suất hiện tại hóa lớn hơn tỷ lệ tăng trưởng cổ tức: re>g1, g2,... Trên thực tế, việc dự báo động thái tăng trưởng cổ tức thường rất phức tạp, nên để có thể mô tả và mô hình hóa được, người ta
thường xem xét động thái tăng trưởng cổ tức qua một số trường hợp đặc biệt như sau:
+ Trường hợp tốc độ tăng trưởng cổ tức không đổi qua các năm: Trong trường hợp này mô hình định giá cổ phiếu như sau:
Dt
D (1 g)
D (1 g) 2
D (1 g )
V 
00 .... 0(5.5)
e
e
e
e
t 1 (1 r )t
(1 r )1
(1 r ) 2
(1 r )
Trong đó:
D0: Là cổ tức ở năm hiện tại của cổ phiếu; re: Tỷ suất sinh lời yêu cầu của nhà đầu tư; g: Là tỷ lệ tăng trưởng cổ tức hàng năm.
Cổ tức kỳ vọng ở cuối kỳ n là Dn = D0 (1+g) . Giả sử rằng r > g,
n
e
ta nhân 2 vế của công thức (5.5) với (1+re)/(1+g), sau đó trừ vế với vế cho (5.5), ta được:
V (1 r ) D (1 g)
eV D
1 g0
0
e
(1 r )
(5.6)






