Tiếp tục phổ cập giáo dục đến các buôn làng, tạo cơ chế cho các giáo viên có điều kiện cắm bảng, vận động con em dân tộc thiểu số đến trường. Thực hiện chương trình xoá mù chữ cho đồng bào dân tộc thiểu số. Điều cần thiết là trường lớp phải xây dựng gắn liền với khu vực đồng bào dân tộc thiểu số sinh sống. Vận động các tổ chức phi chính phủ các nước tham gia chương trình này. Xem chương trình phổ cập giáo dục đối với dân tộc thiểu số là mục tiêu trọng tâm trong chiến lược giáo dục của tỉnh.
Thực hiện chương trình khuyến nông đến với đồng bào dân tộc thiểu số, giúp đồng bào dân tộc thiểu số tiếp cận với phương pháp canh tác mới của người kinh nhằm nâng cao năng suất ruộng lúa, vườn rẫy, gia tăng sản xuất. Cung cấp giống mới trong lĩnh vực chăn nuôi (bò, dê, heo rừng lai) và giống ngô, lúa, mía, sắn, dậu đỏ,… cho đồng bào dân tộc. Một vấn đề hết sức quan trọng là phải xây dựng đội ngũ khuyến nông là người dân địa phương có uy tín và kinh nghiệm sử dụng được ngôn ngữ bản xứ để truyền đạt hiệu quả kiến thức đến với mỗi nhóm dân tộc.
Xây dựng chương trình truyền hình, phát thanh đến tận buôn làng, từ đó hình thành kênh trao đổi thông tin về các hoạt động và gương thoát nghèo điển hình cho bà con đồng bào dân tộc thiểu số học hỏi. Không nên tạo cho họ tâm lý ỷ lại vào chính sách của Đảng và Chính phủ. Mọi chính sách hỗ trợ đối với đồng bào dân tộc thiểu số nên hướng tới việc tạo cho họ cơ hội để giúp họ thoát nghèo hơn là trợ cấp.
3. Thúc đẩy giáo dục và đào tạo nghề cho thanh niên
Giáo dục có vai trò quan trọng giúp hộ gia đình thoát nghèo nhất là trong việc dạy nghề, chính quyền tỉnh nên tập trung phát triển mạng lưới các trường dạy nghề cho người lao động, đi tắt đón đầu các loại ngành nghề phù hợp với xu hướng phát triển chung của các khu công nghiệp trên địa bàn tỉnh. Thành lập quỹ đào tạo nghề, có chính sách hỗ trợ đối với thành viên hộ nghèo có nhu cầu học nghề bằng chương trình cho vay với lãi suất ưu đãi, liên kết hệ thống các công ty, doanh nghiệp trên địa bàn tỉnh với trung tâm dạy nghề nhằm đáp ứng nhu cầu người lao động và doanh nghiệp.
Định hướng nghề nghiệp cho thanh niên khu vực nông thôn là công việc không kém phần quan trọng trong công tác xóa đói giảm nghèo. Cần đa dạng hơn nữa hình thức đào tạo nghề và ngành nghề cho thanh niên tại địa phương, tạo điều kiện cho con em hộ nghèo được đến trường bằng các chương trình: miễn giảm học phí, tặng dụng cụ
học tập nhằm chia sẻ gánh nặng với gia đình nghèo có thành viên đi học. Tiếp tục duy trì và thực hiện hiệu quả quỹ khuyến học đồng hương Phú Yên nhằm giúp sinh viên Phú Yên nghèo vượt khó tiếp tục cho đến khi ra trường.
4. Đẩy mạnh công tác khuyến nông, khuyến ngư trong dân
Có thể bạn quan tâm!
-
Các nhân tố tác động đến nghèo đói ở tỉnh Phú Yên - 4 -
Các nhân tố tác động đến nghèo đói ở tỉnh Phú Yên - 5 -
Thực Hiện Chương Trình Giảm Nghèo Khu Vực Miền Núi Nơi Có Nhiều Dân Tộc Thiểu Số Sinh Sống -
Bảng Câu Hỏi Thu Thập Thông Tin Trong Cuộc Đtmshgđ 2006 (Vhlss 2006) -
Trong 12 Tháng Qua, Có Ai Trong Hộ [Ông/bà] Đến Cơ Sở Y Tế Hoặc Mời Thầy Thuốc Về Nhà Để Khám, Chữa Bệnh Không? Cã. 1 -
Trong 12 Thỏng Qua Hộ Ông Bà Có Sử Dụng Hay Quản Lý Đất Nông Nghiệp, Lâm Nghiệp Hoặc Mặt Nước Nuôi Trồng Cã… 1
Xem toàn bộ 109 trang tài liệu này.
Khuyến nông, khuyến ngư giúp người dân khai thác hiệu quả nguồn lực đất đai, nguồn vốn và có thể ứng dụng được khoa học kỹ thuật tiên tiến vào từng khâu sản xuất. Xây dựng đào tạo đội ngũ cán bộ khuyến nông, khuyến ngư cấp cơ sở nhằm thực hiện chương trình khuyến nông đến từng thôn ấp bằng chương trình hướng dẫn người dân tại chỗ. Chuyển giao giống vật nuôi, cây trồng mới có năng suất cao đến với người dân bằng chương trình hỗ trợ vốn sản xuất với lãi suất cho vay ưu đãi.
Kinh nghiệm các nước trong khu vực cho thấy, việc chuyển giao công nghệ phải mang tính tự nguyện và thiết thực đối với người dân. Cán bộ khuyến nông nên chọn ra những người có uy tín trong làng, sản xuất giỏi ở địa phương đưa họ đến tận nơi có công nghệ mới hay mô hình kinh tế đang làm ăn hiệu quả phù hợp với địa phương mình để họ tận mắt chứng kiến. Sau đó chính quyền có chính sách hỗ trợ họ trong thời gian áp dụng công nghệ này. Sự thành công của họ sẽ thôi thúc những người nông dân khác tham gia và làm theo.

Xem các trung tâm giống vật nuôi là đầu mối giúp người dân trao đổi học hỏi kinh nghiệm trong hoạt động sản xuất. Cần có chính sách khuyến khích phát triển trang trại nhằm tận dụng lợi thế quy mô để thúc đẩy phát triển nông nghiệp theo hướng hàng hóa. Chuyển dịch cơ cấu sản xuất theo hướng đa dạng hóa giống vật nuôi nhằm đáp ứng nhu cầu đa dạng ngày càng tăng của khách hàng để hướng đến xuất khẩu. Nên thành lập những qũy khai thác, nuôi trồng, đánh bắt và sản xuất để có giải pháp hỗ trợ cần thiết và kịp thời trong điều kiện rủi ro xảy ra.
NHỮNG HẠN CHẾ CỦA NGHIÊN CỨU
Nghèo đói là một hiện tượng phổ biến, việc nghiên cứu nghèo đói là một vấn đề phức tạp nên nghiên cứu này chúng tôi biết rằng sẽ còn những hạn chế trong một số kết quả phân tích:
Thứ nhất: Phú Yên có địa hình phức tạp, rộng lớn, cư dân phân bố rộng. Điều này có thể làm cho các điều tra viên gặp khó khăn trong việc tiếp cận đúng đối tượng nghèo đói ở các vùng sâu, vùng xa. Với 120 quan sát đại diện cho việc phân tích nghèo đói toàn tỉnh có thể nói rằng bức tranh nghèo đói chưa được phản ảnh hết trong nghiên cứu này. Do đó, vẫn còn tồn tại tính đại diện của số liệu.
Thứ hai: Nghiên cứu này chỉ chú trọng đến các vấn đề chung của nghèo đói, chưa chú trọng vào các khía cạnh nghiên cứu chuyên sâu hơn về nghèo đói hộ để từ đó đưa ra sự khác biệt của các hộ trong cùng mức nghèo đói.
Thứ ba: Số liệu để phân tích nghèo đói có thể khác nhau ứng với nhiều nguồn khác nhau. Chính vì thế, việc chọn bộ số liệu phân tích đôi khi các đề xuất đưa ra chỉ có giá trị trên một phương diện nào đó và thời gian cần thiết để kiểm chứng điều này đôi khi là dài. Hạn chế của nghiên cứu này là chỉ dựa trên một bộ số liệu duy nhất nên không phản ánh hết tính đa chiều của nghèo đói.
Thứ tư: Nghiên cứu dựa trên mức chi tiêu thực bình quân của hộ và người chủ hộ làm đại diện sẽ không nói lên được sự khác nhau cần thiết đối với từng thành viên trong hộ. Ví dụ, mức chi tiêu và các khoản chi tiêu chắc chắn sẽ khác nhau giữa trẻ em và người lớn, giữa nam và nữ. Chắc chắn sự tác động của một nhân tố nào đó vào hộ sẽ khác nhau đối với các thành viên trong hộ.
Thứ năm: Nghiên cứu nghèo đói bằng phương pháp định lượng là cần thiết. Nhưng bấy nhiêu đây thôi thì có lẽ bức tranh nghèo đói ở Phú Yên chưa được phản ánh hết, vì chỉ có bản thân người nghèo mới biết họ cần gì. Nghiên cứu nghèo đói có sự tham gia của người dân và chính quyền cấp cơ sở là cần thiết trong nghiên cứu nghèo đói. Nghiên cứu này không được tiếp cận theo cách ấy là một hạn chế.
Thứ sáu: Đói nghèo không chỉ thể hiện qua các biến định lượng mà còn thể hiện qua các tiêu chí khác mà chúng ta khó có thể biết được như: sự nỗ lực của mỗi người, ý chí vươn lên, niềm lạc quan trong cuộc sống. Các nhân tố trên trong nghiên cứu này chưa đề cập đến.
KẾT LUẬN
Nghiên cứu nghèo đói hộ gia đình tỉnh Phú Yên cho thấy các nhân tố: Qui mô hộ gia đình, trình độ văn hoá, việc làm của hộ và tính dân tộc có tác động đến nghèo đói của hộ gia đình. Tuy nhiên, dân tộc thiểu số là vấn đề nghiệm trọng nhất của đói nghèo đang diễn ra trên địa bàn tỉnh. Nói điều đó không có nghĩa là các nhân tố khác không có vai trò trong việc giải quyết nghèo đói. Nghiên cứu này cho rằng công tác xóa đói giảm nghèo ở Phú Yên nên tập trung vào các vấn đề sau:
1. Thúc đẩy công tác xoá nghèo, giảm nghèo và chống tái nghèo cho đồng bào dân tộc thiểu số vùng xâu, vùng cao và vùng xa ở các huyện: Sông Hinh, Sơn Hòa và Đồng Xuân.
2. Tập trung đào tạo nghề, giải quyết công ăn việc làm bằng cách tạo ra nhiều việc làm mới ngoài Nông Nghiệp cho thanh niên nhất là các hộ thuộc diện nghèo.
3. Đầu tư phát triển mạng lưới giáo dục cấp cơ sở và trường dạy nghề.
4. Tập trung mạnh vào công tác khuyến nông, khuyến ngư và chuyển giao công nghệ đến với người dân.
TÀI LIỆU THAM KHẢO
1. Ngân hàng thế giới (2006), báo cáo cập nhật tình hình phát triển và cải cách kinh tế Việt Nam, Nha Trang.
2. Ngân hàng thế giới (2008), báo cáo cập nhật tình hình phát triển kinh tế Việt Nam., Sapa.
3. Ngân hàng thế giới (2005), báo cáo phát triển Việt Nam, quản lý và điều hành, Hà Nội.
4. Ngân hàng thế giới (2000), báo cáo phát triển Việt Nam, tấn công nghèo
đói, bản thảo, Hà Nội (11/1999).
5. Bộ LĐTBXH (2004), hệ thống văn bản về Bảo trợ xã hội và Xóa đói giảm nghèo, NXB Lao động - Xã hội, Hà Nội.
6. Báo cáo phát triển Việt Nam (2006), kinh doanh, Hà Nội (12/2005).
7. Báo cáo phát triển Việt Nam (2004), nghèo, Hà Nội (12/2003).
8. Ngân hàng Thế Giới, ngân hàng Phát triển Chân Á (2003), báo cáo đánh giá đói nghèo và quản lý nhà nước có sự tham gia, vùng ven biển Miền Trung và Tây Nguyên, Hà Nội.
9. Ngân hàng thế giới (2004), báo cáo phát triển thế giới 2003, cải thiện các dịch vụ để phục vụ cho người nghèo, sách tham khảo, nhà xuất bản Chính Trị Quốc Gia, Hà Nội.
10. ADB (1999), Việt Nam – thúc đẩy công cuộc phát triển nông thôn – từ viễn cảnh tới hành động, Hà Nội (12/1998).
11. Báo cáo phát triển Việt Nam (2007), hướng tới tầm cao mới, Hà Nội (12/2006).
12. Naila kabeer, Trần Thị Vân Anh, Vũ Mạnh lợi (2005), thúc đẩy bình đẳng giới ở Việt Nam, Hà Nội (12/2005).
13. Maichael Van Der Berg và các tác giả (2005), nâng cao hiệu quả thị trường cho người nghèo.
14. Chính Phủ Việt Nam (2000), chương trình mục tiêu quốc gia xóa đói giảm nghèo và việc làm giai đoạn 2001- 2005, Hà Nội
15. Tổng cục thống kê (2007), đặc điểm kinh tế nông thôn Việt Nam – kết quả điều tra hộ gia đình nông thôn năm 2006 tại 12 tỉnh, NXB thống kê, Hà Nội.
16. Đánh giá nghèo đói theo vùng (2004), vùng Đồng bằng Sông Cửu Long, Hà Nội
17. Đánh giá nghèo đói có sự tham gia của cộng đồng tại ĐBSCL (2004), báo cáo tổng kết, Hà Nội (8/2003).
18. Phân tích hiện trạng nghèo đói ở ĐBSCL (2004), báo cáo tổng kết, Cần Thơ (10/2004)
19. Đánh giá nghèo đói có sự tham gia của công đồng tại Nghệ An (2003), bảng dịch tiếng việt, Nghệ An (8/2003).
20. Nguyễn Trọng Hoài, Võ Tất Thắng, Lương Vinh Quốc Duy (2005), nghiên cứu ứng dụng các mô hình kinh tế lượng trong phân tích các nhân tố tác động nghèo đói và đề xuất giải pháp xoá đói giảm nghèo ở các tỉnh Đông Nam Bộ.
21. Hoàng Thanh Hương, Trần Hương Giang và Trần Bình Minh (2006), nghèo đói và dân tộc.
22. Trương Thanh Vũ (2008), các nhân tố tác động đến nghèo đói ở vùng quen biển ĐBSCL giao đoạn 2003 – 2004, luận văn Thạc Sĩ kinh tế, Tp. HCM, Việt Nam.
23. Đỗ Tuyết Khanh (2004), vi tín dụng, một phương thức xóa đói giảm nghèo.
24. Tổng cục thống kê (2006), kết quả điều tra mức sống hộ gia đình năm 2006.
25. World Bank (2002), Localizing MDGs for poverty reduction in Viet Nam: reducing vulnerability and providing social protection”, Poverty Task Force. World Bank Vietnam.
26. World Bank (2003), Vietnam Development report 2004, Poverty, Hanoi, Vietnam.
27. World Bank (2004), Vietnam Development report 2005, Governance, Hanoi, Vietnam.
28. World Bank (2005), Vietnam Development report 2006, Business, Hanoi, Vietnam.
29. World Bank (2007), Poverty Manual.
30. World Bank (2004b), Vietnam Development Report 2005, Governance, The World Bank in Vietnam and other donors, report submitted to the CG meeting December 2004.
PHỤ LỤC
Phu lục 1: Mô hình logit phân tích các nhân tố tác động đến nghèo đói của hộ gia đình.
e βo + β1hhsize + β2gioLV + β3vanhoa + β4dantoc
P =
1 + e βo + β1hhsize + β2gioLV + β3vanhoa + β4dantoc
P: là biến phụ thuộc, P = 1 nếu hộ gia đình là hộ nghèo và P = 0 nếu hộ không phải là hộ nghèo.
: Hệ số hồi qui
Xi: là biến độc lập thứ i
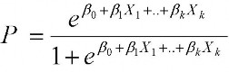
Để đánh giá tác động của từng biến độc lập lên biến phụ thuộc, ta sử dụng mô hình logit tổng quát sau:

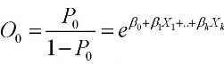
Bằng phương pháp tuyến tính hóa, mô hình trên trở thành:


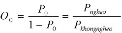
Gọi hệ số Odd là hệ số chênh lệch nghèo ban đầu, trong đó P0 là xác suất nghèo ban đầu ta có:






![Trong 12 Tháng Qua, Có Ai Trong Hộ [Ông/bà] Đến Cơ Sở Y Tế Hoặc Mời Thầy Thuốc Về Nhà Để Khám, Chữa Bệnh Không? Cã. 1](https://tailieuthamkhao.com/uploads/2023/09/15/cac-nhan-to-tac-dong-den-ngheo-doi-o-tinh-phu-yen-9-120x90.jpg)
