Giả định rằng các yếu tố khác không đổi, khi X tăng lên 1 đơn vị, hệ số chênh
k
lệch nghèo đói mới là O :
1

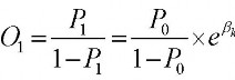
Suy ra:

Hay

Suy ra:

Thế hệ số Odd vào ta được:

Công thức trên có ý nghĩa là khi các yếu tố khác cố định, yếu tố Xk tăng lên một đơn vị thì xác suất nghèo của một hộ gia đình sẽ chuyển dịch từ P0 sang P1. chúng ta có thể mô tả nhiều kịch bản cho các nhân tố ảnh hưởng đến khả năng rơi vào nghèo đói mà một hộ gặp phải và từ đó chúng ta có thể định lượng được sự thay đổi các yếu tố ảnh hưởng đến nghèo đói để có giải pháp làm giảm xác suất một hộ rơi vào nghèo đói.
Phụ lục 2: Kết quả hồi quy các nhân tố bằng mô hình logit
logit poor hhsize dtdatsx trigiavay giolv vanhoa gioitinh dantoc csht Iteration 0: log likelihood = -60.048291
Iteration 1: log likelihood = -45.780085
Iteration 2: log likelihood = -43.97243
Iteration 3: log likelihood = -43.80651
Iteration 4: log likelihood = -43.800219
Iteration 5: log likelihood = -43.800206
Iteration 6: log likelihood = -43.800206
Number of obs | = | 120 | |
LR chi2(8) | = | 32.50 | |
Prob > chi2 | = | 0.0001 | |
Log likelihood = -43.800206 | Pseudo R2 | = | 0.2706 |
Có thể bạn quan tâm!
-
Các nhân tố tác động đến nghèo đói ở tỉnh Phú Yên - 5 -
Thực Hiện Chương Trình Giảm Nghèo Khu Vực Miền Núi Nơi Có Nhiều Dân Tộc Thiểu Số Sinh Sống -
Thúc Đẩy Giáo Dục Và Đào Tạo Nghề Cho Thanh Niên -
Trong 12 Tháng Qua, Có Ai Trong Hộ [Ông/bà] Đến Cơ Sở Y Tế Hoặc Mời Thầy Thuốc Về Nhà Để Khám, Chữa Bệnh Không? Cã. 1 -
Trong 12 Thỏng Qua Hộ Ông Bà Có Sử Dụng Hay Quản Lý Đất Nông Nghiệp, Lâm Nghiệp Hoặc Mặt Nước Nuôi Trồng Cã… 1 -
Trong 12 Tháng Qua, Có Ai Trong Hộ [Ông/bà] Nuôi, Ươm Giống Cá, Tôm, Thủy Sản Khác; Cã. 1
Xem toàn bộ 109 trang tài liệu này.

---------------------------------------------------------------------------------------------------
----
Poor | Coef. Std. Err. z P>|z| [95% Conf. Interval]
---------------------------------------------------------------------------------------------------
----
| | .3130967 | .1799184 | 1.74 | 0.082 | -.039537 | .6657303 | |
dtdatsx | | | -.0000901 | .0000579 | -1.56 | 0.120 | -.0002035 | .0000233 |
trigiavay | | | 5.11e-06 | .0000161 | 0.32 | 0.750 | -.0000264 | .0000366 |
giolv | | | -.0006588 | .0003468 | -1.90 | 0.057 | -.0013385 | .0000209 |
vanhoa | | | -.3235761 | .0974861 | -3.32 | 0.001 | -.5146452 | -.1325069 |
gioitinh | | | -.2093170 | .7050172 | -0.30 | 0.767 | -1.591125 | 1.172491 |
dantoc | | | 3.412643 | 1.897232 | 1.80 | 0.072 | -.3058627 | 7.131149 |
csht | | | .7382006 | .5602097 | 1.32 | 0.188 | -.3597902 | 1.836191 |
_cons | | | .001805 | .9802191 | 0.00 | 0.999 | -1.919389 | 1.922999 |
---------------------------------------------------------------------------------------------------
----
listcoef, help
logit (N=120): Factor Change in Odds Odds of: 1 vs 0
---------------------------------------------------------------------------------------------------
----
Poor | b z P>|z| e^b e^bStdX SDofX
---------------------------------------------------------------------------------------------------
----
0.31310 | 1.740 | 0.082 | 1.3677 | 1.5707 | 1.4421 | ||
dtdatsx | | | -0.00009 | -1.557 | 0.120 | 0.8999 | 0.3476 | 11730.3450 |
trigiavay | | | 0.00001 | 0.318 | 0.750 | 1.0000 | 1.0946 | 17690.3563 |
giolv | | | -0.00066 | -1.900 | 0.057 | 0.9993 | 0.5702 | 852.8222 |
vanhoa | | | -0.32358 | -3.319 | 0.001 | 0.7236 | 0.3167 | 3.5537 |
gioitinh | | | -0.20932 | -0.297 | 0.767 | 0.8111 | 0.9261 | 0.3666 |
dantoc | | | 3.41264 | 1.799 | 0.072 | 30.3453 | 1.8499 | 0.1803 |
csht | | | 0.73820 | 1.318 | 0.188 | 2.0922 | 1.4480 | 0.5015 |
hhsize
---------------------------------------------------------------------------------------------------
----
b = raw coefficient
z = z-score for test of b=0 P>|z| = p-value for z-test
e^b = exp(b) = factor change in odds for unit increase in X e^bStdX = exp(b*SD of X) = change in odds for SD increase in X SDofX = standard deviation of X
Phụ lục 3: Bảng câu hỏi thu thập thông tin trong cuộc ĐTMSHGĐ 2006 (VHLSS 2006)
Mục 1a. Danh sách thμnh viên hộ gia đình
1 Xin [ông/bà] vui lòng cho biết họ và tên của từng thành viên trong hộ, bắt đầu từ chủ hộ. Thành viên trong hộ là những người ăn, ở chung từ 6 tháng trở lên trong 12 tháng qua và chung quỹ thu chi. ghi họ tên bằng chữ in hoa và theo thứ tự gia đình hạt nhân (ĐTV lưu ý các trường hợp ngoại lệ) | 2 Giới tính của ..[TÊN].. NAM….1 Nữ…….2 | 3 Quan hƯ cđa ...[TÊN]... với chđ hé? Chđ hé…1 Vợ/chồng…2 Con.3 Bè/mÑ.4 ông/bà nội/ngoại…5 cháu nội/ngoại……6 quan hệ khác…… 7 | 4 Tháng, năm sinh của ...[TÊN]… Theo dương lịch Không biết tháng sinh GHI KB | 5 Tuỉi cđa … [TÊN]… Tính tuổi tròn đến tháng pháng vÊn (Dưới 13 tuỉi >> cÂu 7) Số năm | 6 Tình trạng hôn nhân của ...[TÊN]…? Ch−a cã vợ/chồng…1 Đang có vợ/chồng…2 Goá…3 Ly hôn…4 Ly thân…5 | 7 Trong 12 tháng qua ...[TÊN]… đã ở trong hộ bao nhiêu tháng? Tính tháng cộng dồn Số Tháng | 8 …[TÊN]…đăng ký hộ khẩu ở đâu? Tại nơi ở trong x∙/ phường …….…………1>> người t.the0 Tại nơI khác trong tỉnh/ TP ………………2>> người t.the0 Tỉnh/TP. khác 3 Khác… 4 | 9 [Tên] đăng ký hộ khẩu ở tỉnh nào? | 10 …[TÊN]… sống ở tỉnh/TP. này bao lâu rồi? | ||||
Ghi đủ 2 chữ số | Ghi đủ 4 chữ số | ||||||||||||
Tên tỉnh | M∙ tỉnh | Sè Năm | Sè Tháng | ||||||||||
tháng | năm | ||||||||||||
1 | |||||||||||||
2 | |||||||||||||
3 | |||||||||||||
4 | |||||||||||||
5 | |||||||||||||
6 | |||||||||||||
7 | |||||||||||||
8 | |||||||||||||
9 | |||||||||||||
10 | |||||||||||||
11 | |||||||||||||
12 | |||||||||||||
Mục 1B. Các thμnh viên của hộ gia đình trong điều tra mức sống
Đội trưởng hoàn thành các câu 1,2,3,4,5 trước khi đưa phiếu phỏng vấn cho điều tra viên. Có. 1
1. Có phải hộ gia đình này đ∙ tham gia điều tra mức sống 2004 không? không............................ 2(>>môc 2)
3 M∙ thành viên trong ĐTMS 2004 | 4 Giới tính trong ĐTMS 2004 | 5 Tuỉi trong ĐTMS 2004 | 6 Năm nay [tên] có là thành viên của hộ không? cã……… 1 không… 2(>>8) | 7 Ghi lại m∙ thành viên từ phần 1A | 8 Tại sao [Tên] không sống trong hộ này nữa? Chuyển đi/tách hộ…… 1 Chết… 2 (>>Người tiếp theo) Khác(Ghi rõ )...... 3 (>>Người tiếp theo) | 9 Tại sao …[TÊN]… chuyển đi khỏi hộ? Đi làm việc… 1 Lấy vợ/ chồng… 2 tách hộ… 3 đi học… 4 theo gia đình… 5 khác(ghi rõ ) 6 Nếu m∙ trả lời từ 2 đến 6 >> Người tiếp theo | 10 …[TÊN]... đi làm việc ở tỉnh nào ? | 11 …[TÊN]...làm công việc gì ? | ||||
>> người tiếp theo | ||||||||||||
Tên tỉnh | M∙ tỉnh | Mô tả công việc | M∙ nghÒ | |||||||||
Mục 2. Giáo dục, đμo tạo vμ dạy nghề Hái tất cả các thành viên trong hộ
2A. Thông tin chung
Xin [ông/bà] vui lòng cho biết một số thông tin về giáo dục của các thành viên trong hộ
1 ...[TÊN]... đã học hết lớp mấy? Qui đổi lớp theo hệ 12 năm chưa hết lớp 1 hoặc chưa bao giờ đi học ghi 00 Tõ líp 5 trở lên >>3 líp | 2 ...[TÊN]... có biết đọc, biết viết không? Cã. 1 không. 2 >>5 | 3 Bằng cấp cao nhất mà ...[tên ] đã đạt được? Không có bằng cấp. 0 tiểu học. 1 trung học cơ sở. 2 trung học Phổ Thông. 3 dạy nghề ngắn hạn. 4 dạy nghề dài hạn. 5 Trung học chuyên nghiệp. 6 cao đẳng. 7 đại học. 8 thạc sỹ. 9 Tiến sĩ. 10 khác (ghi rõ)……. 11 | 4 …Trường mà [TÊN] học thuộc loại nào? Công lập………1 Bán công………2 Dân lập… 3 T− thôc……… 4 Khác (Ghi rõ 5 | 5 Hiện nay ...[TÊN]... có đi học không? Cã............... 1(>>8) nghỉ hè..... 2(>>8) không. 3 | 6 Trong 12 tháng qua ...[TÊN]... có đi học không? Cã. 1 (>>8) không. 2 | 7 Tại sao ...[TÊN]… không đi học? chỉ hỏi những người dưới 15 tuổi ốm đau/tàn tật… 1 không có hộ khẩu…… 2 không trả được học phí… 3 phải làm việc… 4 khác (Ghi rõ). 5 >> 16 | 8 ...[tên]… học hệ/cấp/bậc học nào? Nhà trẻ, mẫu giáo… 0 tiểu học. 1 trung học cơ sở. 2 trung học Phổ Thông. 3 dạy nghề ngắn hạn. 4 dạy nghề dài hạn. 5 Trung học chuyên nghiệp. 6 cao đẳng. 7 đại học. 8 thạc sỹ. 9 Tiến sĩ. 10 Khác (ghi rõ ) 11 | 9 Trường ...[TÊN]… học thuộc loại nào? Công lập… 1 Bán công… 2 Dân lập… 3 T− thôc… 4 Khác (Ghi rõ ) 5 | ||
Giáo dục phổ thông và Cao đẳng trở lên | giáo dục nghề nghiệp | |||||||||
1 | ||||||||||
2 | ||||||||||
3 | ||||||||||
4 | ||||||||||
5 | ||||||||||
6 | ||||||||||
7 | ||||||||||
8 | ||||||||||
9 | ||||||||||
10 | ||||||||||
11 | ||||||||||
12 | ||||||||||
13 | ||||||||||
14 |
2a. Thông tin chung (tiếp)
10 | 11 Lý do được miễn, giảm? Hé nghÌo… 1 dân tộc thiểu số… 2 gia đình liệt sĩ… 3 thương, bệnh binh, g.đình có công với cách mạng…… 4 vùng sâu, vùng xa, đặc biệt khó khăn… 5 gia đình có hoàn cảnh khó khăn… 6 Học sinh tiểu học… 7 trường không thu h.phí………8 Khác (ghi rõ)… 9 | 12 Phần trăm được miễn, giảm? nếu cột nào không được miễn, giảm ghi số 0 | 13 Chi phí cho ...[TÊN]... đi học trong 12 tháng qua theo chương trình qui định của nhà trường là bao nhiêu? cố gắng khai thác các cột chi tiết, nếu không chi thì ghi số 0, nếu không biết hoặc không nhớ rõ thì ghi KB, nếu chỉ nhớ tổng và một số chi tiết thì ghi tổng số và những cột chi tiết tương ứng, cột nào không nhớ ghi kb 1000 đồng | ||||||||||||
...[TÊN]… có | |||||||||||||||
được miễn, | |||||||||||||||
giảm học | |||||||||||||||
phí hoặc các | |||||||||||||||
khoản đóng | |||||||||||||||
gãp cho | |||||||||||||||
giáo dục | |||||||||||||||
không? | a | b | c | d | e | f | g | h | i | k Tỉng sè (a +b +...+i) | |||||
Học | Trái | Đóng góp | Quĩ phụ | Quần áo | Sách | Dông cô | Học | Chi giáo | |||||||
phÝ? | tuyÕn? | cho | huynh | đồng | giáo | học tập | thêm? (cả | dục khác? | |||||||
tr−êng, | học sinh, | phục và | khoa, | khác? | học thêm | (lƯ phÝ thi, | |||||||||
lớp (quỹ | quĩ lớp? | trang | sách | (giấy, bút, | ngoại | đi lại, | |||||||||
Cã. 1 | a. học phí % | b. Đóng góp % | xây dựng, | phôc theo | tham | cặp, vở, | ngữ, vi | trọ,...) | |||||||
không...... 2 (>>13) | Học phÝ | Đóng góp | ,...)? | qui định? | khảo? | ...) | tÝnh) | ||||||||
1 | |||||||||||||||
2 | |||||||||||||||
3 | |||||||||||||||
4 | |||||||||||||||
5 | |||||||||||||||
6 | |||||||||||||||
7 | |||||||||||||||
8 | |||||||||||||||
9 | |||||||||||||||
10 | |||||||||||||||
11 | |||||||||||||||
12 | |||||||||||||||
13 | |||||||||||||||
14 | |||||||||||||||
15 |
2ct. cộng câu 13k và 16:




![Trong 12 Tháng Qua, Có Ai Trong Hộ [Ông/bà] Đến Cơ Sở Y Tế Hoặc Mời Thầy Thuốc Về Nhà Để Khám, Chữa Bệnh Không? Cã. 1](https://tailieuthamkhao.com/uploads/2023/09/15/cac-nhan-to-tac-dong-den-ngheo-doi-o-tinh-phu-yen-9-120x90.jpg)

![Trong 12 Tháng Qua, Có Ai Trong Hộ [Ông/bà] Nuôi, Ươm Giống Cá, Tôm, Thủy Sản Khác; Cã. 1](https://tailieuthamkhao.com/uploads/2023/09/15/cac-nhan-to-tac-dong-den-ngheo-doi-o-tinh-phu-yen-11-120x90.jpg)