CHƯƠNG 3: THIẾT KẾ NGHIÊN CỨU
Giới thiệu
Trên cơ sở mô hình và các giả thuyết nghiên cứu được phát triển, chương này trình bày quy trình nghiên cứu trong đó mô tả cách thức xây dựng thang đo, thiết kế bảng câu hỏi và thiết kế nghiên cứu định lượng cũng như trình bày phương pháp phân tích dữ liệu nghiên cứu.
3.1. Quy trình nghiên cứu
Nhằm thực hiện nhiệm vụ nghiên cứu, quy trình nghiên cứu được chia thành 2 giai đoạn được mô phỏng như Hình 3.1.
3.1.1. Nghiên cứu sơ bộ
3.1.1.1. Nghiên cứu định tính
Có thể bạn quan tâm!
-
Mô Hình Tổng Quát Về Nhận Thức Và Lựa Chọn Điểm Đến Du Lịch -
Các Nghiên Cứu Dựa Trên Lý Thuyết Lợi Ích Ngẫu Nhiên -
Rào Cản Du Lịch Và Hình Ảnh Điểm Đến -
Kết Quả Phát Triển Thang Đo Bằng Nghiên Cứu Sơ Bộ Định Tính -
Các Rào Cản Du Lịch Của Điểm Đến Du Lịch Bình Định -
Kết Quả Hệ Số Tin Cậy Cronbach’S Alpha Thang Đo Các Thành Phần
Xem toàn bộ 290 trang tài liệu này.
Theo Maxwell (2005), do đặc trưng nghiên cứu theo chiều sâu, kích thước mẫu trong nghiên cứu định tính có thể rất bé (bằng 1) hoặc khá lớn (vài chục trở lên). Việc lựa chọn mẫu không cần tuân theo qui tắc ngẫu nhiên mà cần chú ý đến những đối tượng khảo sát có nhiều khả năng cung cấp thông tin theo yêu cầu của đề tài. Các phần tử của mẫu được chọn cần thỏa mãn một số đặc tính của đám đông nghiên cứu (Nguyễn Đình Thọ, 2012).
Trong nghiên cứu này, tác giả chọn đối tượng để thực hiện nghiên cứu định tính gồm các giảng viên cùng nhà quản trị trong lĩnh vực du lịch và khách du lịch. Thành phần thứ nhất là các giảng viên có kinh nghiệm trong ngành du lịch đại diện cho giới nghiên cứu học thuật nhằm làm sáng rõ cơ sở lý thuyết của đề tài. Thành phần thứ hai là các nhà quản trị trong lĩnh vực du lịch đại diện cho những người có kiến thức thực tế trong lĩnh vực du lịch nói chung và điểm đến Bình Định nói riêng. Thành phần thứ ba không thể thiếu đó là khách du lịch vì nghiên cứu này xây dựng thang đo một số khái niệm và đánh giá các mối quan hệ giữa chúng dựa vào khách hàng, do đó “chính họ là người sẽ trả lời cho nghiên cứu của mình chứ không phải các chuyên gia” (Nguyễn Đình Thọ, 2012, trang 302).

Mục tiêu nghiên cứu
Nghiên cứu tài liệu
Mô hình nghiên cứu và thang đo nháp
Nghiên cứu khám
phá (N1 = 200)
Nghiên cứu định tính (Thảo luận nhóm và phỏng vấn sâu)
Điều chỉnh mô hình và bảng câu hỏi
Bảng câu hỏi điều tra sơ bộ
Nghiên cứu định lượng sơ bộ (N2 = 200)
Đánh giá độ tin cậy
của thang đo
Phân tích nhân tố khám phá - EFA
Loại các biến có tương
quan biến tổng thấp (<0,3)
Loại các biến có hệ số
tải nhân tố thấp (<0,5)
Bảng câu hỏi điều
tra chính thức
Nghiên cứu định lượng
chính thức (N3= 900)
Đánh giá độ tin cậy
của thang đo
Phân tích nhân tố khám phá - EFA
Phân tích nhân tố khẳng định - CFA
Mô hình cấu trúc
tuyến tính - SEM
Phỏng vấn sau định lượng (định tính)
Loại các biến có tương
quan biến tổng thấp (<0,3)
Loại các biến có hệ số
tải nhân tố thấp (<0,5)
Kiểm định sự thích hợp của thang đo; độ tin cậy tổng hợp; phương sai trích; tính đơn hướng, hội tụ và phân biệt
Kiểm định mô hình nghiên cứu và các giả thuyết
Giải thích và làm rõ kết quả
nghiên cứu định lượng
Thảo luận kết quả nghiên cứu và đề xuất các hàm ý chính
Hình 3.1: Quy trình thực hiện nghiên cứu
Trong luận án này, nghiên cứu định tính được thực hiện qua 4 bước. Cụ thể:
- Bước 1: Sử dụng một bản câu hỏi gồm ba câu hỏi mở (Phụ lục 3B,C) khảo sát 200 khách du lịch gồm cả khách du lịch nội địa và quốc tế với câu hỏi thứ nhất về hình ảnh điểm đến theo phương pháp của Echtner và Ritchie (1991) để khám phá những yếu tố độc đáo của hình ảnh điểm đến Bình Định; câu hỏi thứ hai khám phá các yếu tố ảnh hưởng đến việc đưa ra quyết định lựa chọn điểm đến; và câu hỏi cuối cùng khám phá các rào cản du lịch khi khách du lịch đến Bình Định. Kết quả nghiên cứu khám phá được trình bày ở Phụ lục 3D.
- Bước 2: Sau khi tổng hợp thang đo từ các nghiên cứu trước và thông tin từ khách du lịch thông qua nghiên cứu khám phá, tiến hành thảo luận nhóm. Mục đích của bước này là làm sáng rõ thêm lý thuyết và xây dựng, điều chỉnh, phát triển thang đo. Do đó tác giả thực hiện thảo luận dạng nhóm thực thụ (full group) gồm 5 giảng viên cùng 4 nhà quản trị trong lĩnh vực du lịch và 5 khách du lịch. Kết quả bước này thể hiện ở Phụ lục 4A.
- Bước 3: Sau khi có được thang đo sơ bộ từ thảo luận nhóm, tiếp tục phỏng vấn tay đôi nhằm tiếp tục điều chỉnh và phát triển thang đo để đảm bảo giá trị nội dung phục vụ cho nghiên cứu định lượng. Nghiên cứu dừng lại ở số lượng 3 giảng viên, 6 nhà quản trị trong lĩnh vực du lịch và 5 khách du lịch vì không còn phát hiện thêm các ý kiến mới về thang đo của các thành phần trong nghiên cứu. Kết quả bước 3 thể hiện ở Phụ lục 4B.
Tiêu chuẩn chọn đối tượng tham gia trong bước 2 và bước 3:
+ Giảng viên: Giảng dạy các học phần liên quan đến lĩnh vực du lịch ở một số trường đại học có đào tạo du lịch (Đại học Kinh tế Quốc dân, Đại học Kinh tế Huế, Đại học Kinh tế Đà Nẵng, Đại học Quy Nhơn, Đại học Nha Trang).
+ Các nhà quản trị trong lĩnh vực du lịch: cán bộ quản lý Phòng nghiệp vụ du lịch thuộc Sở văn hóa, thể thao và du lịch Bình Định; cán bộ quản lý tại các khách sạn, nhà hàng và công ty lữ hành.
+ Khách du lịch: Nhận lời tham gia theo lịch hẹn trước thông qua công ty lữ hành (đi theo tour) và người quen giới thiệu (đi tự do) có trình độ học vấn từ đại học trở lên.
- Bước 4: Một mẫu thuận tiện khách du lịch du lịch ở Bình Định (N = 15) được khảo sát thử và các khách du lịch này được khuyến khích đưa ra nhận xét và những góp ý chỉnh sửa cho bất kỳ câu hỏi nào mà họ thấy mơ hồ hoặc khó trả lời. Kết quả kiểm tra đã cho một số ý kiến phản hồi về bản câu hỏi và chỉ một vài thay đổi nhỏ (như dấu câu, lỗi chính tả, từ địa phương) đã được thực hiện trong bản câu hỏi để phục vụ cho nghiên cứu sơ bộ định lượng (Phụ lục 5).
3.1.1.2. Nghiên cứu định lượng
Sau khi đã hình thành được bảng câu hỏi gồm thang đo các khái niệm, nghiên cứu tiến hành điều tra và phân tích định lượng nhằm kiểm định các giả thuyết nghiên cứu. Để tăng độ tin cậy của thang đo khi vận dụng nghiên cứu cho địa phương, tác giả tiến hành đánh giá sơ bộ độ tin cậy và các giá trị của thang đo bằng hệ số tin cậy Cronbach’s alpha và phân tích nhân tố khám phá (EFA) thông qua phần mềm xử lý SPSS 16.0 để sàng lọc, loại bỏ các biến quan sát không đáp ứng tiêu chuẩn (biến rác). Cụ thể:
- Bước 1: Thu thập dữ liệu nghiên cứu lần một với số mẫu nhỏ bằng cách phát phiếu khảo sát cho 200 khách du lịch và được chọn theo phương pháp lấy mẫu thuận tiện (157 khách nội địa và 43 khách quốc tế).
- Bước 2: Sử dụng chương trình phân tích thống kê SPSS 16.0 để xử lý dữ
liệu, đánh giá sơ bộ độ tin cậy và các giá trị của thang đo. Cụ thể:
Đánh giá sơ bộ độ tin cậy và giá trị của thang đo bằng hệ số tin cậy Cronbach’s alpha. Theo Nguyễn Đình Thọ (2012), để tính Cronbach’s alpha cho một thang đo thì thang đo phải có tối thiểu là ba biến đo lường và một thang đo có giá trị tốt khi nó biến thiên trong khoảng từ 0,70 đến 0,80. Tuy nhiên, cũng có nhiều nhà nghiên cứu đề nghị rằng Cronbach’s alpha từ 0,6 trở lên là có thể sử dụng được trong trường hợp khái niệm đang đo lường là mới hoặc mới đối với người trả lời trong bối cảnh nghiên cứu (Nunally, 1978; Peterson, 1994; Slater, 1995 trích trong Hoàng Trọng và Chu Nguyễn Mộng Ngọc, 2008). Trong nghiên cứu này, các biến không phù hợp bị loại khi chúng có tương quan biến tổng (Item-total correlation) nhỏ hơn 0,3 và không vi phạm giá trị nội dung đồng thời tiêu chuẩn chọn thang đo khi có hệ số tin cậy Cronbach’s alpha từ 0,6 trở lên.
Phân tích nhân tố khám phá (EFA) để đánh giá giá trị thang đo (tính đơn hướng, giá trị hội tụ và giá trị phân biệt). Dùng phương pháp trích Principal Axis Factoring với phép xoay Promax có phương sai trích bé hơn nhưng phản ánh cấu trúc dữ liệu chính xác hơn (Gerbing và Anderson, 1988 trích trong Nguyễn Đình Thọ, 2012). Bên cạnh đó, theo Nguyễn Khánh Duy (2009), nếu sau phân tích EFA là phân tích hồi quy thì có thể sử dụng phương pháp trích Principal Component với phép xoay Varimax, còn nếu sau EFA là phân tích nhân tố khẳng định (CFA) và mô hình cấu trúc tuyến tính (SEM) thì nên sử dụng phương pháp Principal Axis Factoring với phép xoay Promax. Vì vậy, phương pháp Principal Axis Factoring với phép xoay Promax và điểm dừng khi trích các yếu tố (eigenvalue) ≥ 1 được dùng cho toàn bộ phân tích EFA trong nghiên cứu này. Các biến có hệ số tải (factor loading) nhỏ hơn 0,5 sẽ bị loại nhằm tiếp tục sàng lọc các biến quan sát không giải thích cho khái niệm nghiên cứu qua đó tái cấu trúc các biến quan sát còn lại vào các nhân tố phù hợp để hoàn chỉnh thang đo. Tuy nhiên, nếu biến nào đó có thể có hệ số tải gần bằng 0,5 nhưng được nhìn nhận chủ quan là phù hợp trong việc kết hợp với các biến khác để giải thích cho nhân tố chính và đảm bảo được hệ số Cronbach’s alpha cao thì có thể giữ lại. Các hệ số tải này sau đó được sử dụng để gắn tên cho mỗi nhân tố theo nguyên tắc biến nào có hệ số tải nhân tố cao hơn được xem là quan trọng hơn (về ý nghĩa thống kê) và vì thế có ảnh hưởng hơn đối với tên đặt cho nhân tố đó. Thang đo được chấp nhận khi tổng phương sai trích ≥ 50%. Kiểm định Bartlett có mức ý nghĩa ≤ 0,05 thì có thể xem các biến quan sát có tương quan với nhau trong tổng thể (Gerbing và Anderson, 1988). Hệ số KMO nằm trong khoảng 0,5 ≤ KMO ≤ 1 thì có thể xem phân tích nhân tố là thích hợp.
Mặt khác, theo Nguyễn Đình Thọ (2012), trong nghiên cứu sơ bộ, kích thước mẫu thường nhỏ, vì vậy, nếu xem xét tất cả thang đo cùng một lúc chúng ta sẽ gặp khó khăn về kích thước mẫu. Vì vậy, mặc dù không hoàn chỉnh nhưng chúng ta có thể sử dụng chiến lược dùng EFA cho từng khái niệm đa hướng và dùng EFA cho tất cả các khái niệm đơn hướng. Chúng ta có thể tiếp tục đánh giá khi có mẫu lớn hơn trong nghiên cứu chính thức.
3.1.2. Nghiên cứu chính thức
Giai đoạn nghiên cứu chính thức là nghiên cứu định lượng kết hợp nghiên cứu định tính được thực hiện nhằm khẳng định các yếu tố cũng như các giá trị, độ tin cậy và mức độ phù hợp của các thang đo các yếu tố trong mô hình lựa chọn điểm đến Bình Định; kiểm định mô hình nghiên cứu và các giả thuyết nghiên cứu; kiểm định có hay không sự khác biệt về mối quan hệ giữa các yếu tố trong mô hình lựa chọn điểm đến Bình Định theo đặc điểm nhân khẩu xã hội học và đặc điểm chuyến đi của khách du lịch. Nghiên cứu định lượng chính thức được thực hiện tại địa bàn tỉnh Bình Định qua các giai đoạn:
- Bước 1: Thu thập dữ liệu nghiên cứu chính thức bằng cách phát phiếu khảo sát khách du lịch đến Bình Định với số mẫu lớn theo phương pháp lấy mẫu định mức với hai thuộc tính kiểm soát: (1) loại khách và (2) địa điểm chọn mẫu.
Theo Nguyễn Đình Thọ (2012), xác định kích thước mẫu là một công việc không dễ dàng trong nghiên cứu khoa học. Kích thước mẫu cần cho nghiên cứu phụ thuộc vào nhiều yếu tố như phương pháp xử lý (hồi quy, phân tích nhân tố khám phá EFA...), độ tin cậy cần thiết. Kích thước mẫu càng lớn càng tốt nhưng lại tốn chi phí và thời gian. Tuy vậy, thế nào là một mẫu lớn vẫn chưa được các nhà nghiên cứu khẳng định một cách chính thức. Theo Hair và cộng sự (2010), cỡ mẫu cần phải được xem xét trong sự tương quan với số lượng các thông số ước lượng và nếu sử dụng phương pháp ước lượng hợp lý tối đa (ML - Maximum Likelihood) thì kích thước mẫu tối thiểu phải từ 100 đến 150. Bên cạnh đó, theo Bolen (1989), dẫn trong Nguyễn Đình Thọ (2012), tối thiểu phải có năm quan sát trên mỗi thông số ước lượng (tỷ lệ 5:1). Mặt khác, theo Raykov và Widaman (1995), dẫn trong Nguyễn Đình Thọ và Nguyễn Thị Mai Trang (2008), SEM đòi hỏi kích thước mẫu lớn vì nó dựa vào lý thuyết phân phối mẫu lớn. Kinh nghiệm cho thấy kích thước mẫu 300 là tốt, 500 là rất tốt và 1000 là tuyệt vời (Tabachnick và Fidell, 2001).
Ngoại trừ các biến điều tiết tiềm năng, số biến quan sát được sử dụng trong nghiên cứu chính thức là 56 biến, do đó theo khuyến cáo của Bolen (1989), số mẫu tối thiểu phải là 280. Để đạt được số lượng mẫu tối thiểu, số phiếu phát ra là N bằng 900 bao gồm 600 khách du lịch trong nước và 300 khách du lịch quốc tế. Vì dòng
khách du lịch đến Bình Định một cách ngẫu nhiên và không biết trước nên để đạt được mục tiêu nghiên cứu tác giả sử dụng phương pháp lấy mẫu thuận tiện kết hợp định mức (quota) theo loại khách và địa điểm chọn mẫu (Phụ lục 8A). Tất cả các dữ liệu chính được thu thập thông qua các câu hỏi được thiết kế theo thang đo Likert 5 mức độ với “1” hoàn toàn không đồng ý đến “5” là hoàn toàn đồng ý.
- Bước 2: Đánh giá sơ bộ độ tin cậy và các giá trị của thang đo bằng hệ số tin cậy Cronbach’s alpha và phân tích nhân tố khám phá (EFA) thông qua phần mềm xử lý SPSS 16.0 để tiếp tục sàng lọc, loại bỏ các biến quan sát không đáp ứng tiêu chuẩn. Cách thức thực hiện tương tự như phần nghiên cứu sơ bộ định lượng.
- Bước 3: Phân tích nhân tố khẳng định (CFA) để kiểm định lại độ phù hợp của các thang đo với dữ liệu thị trường. Phân tích nhân tố khẳng định giúp làm sáng tỏ một số phương diện sau:
(1) Tính đơn hướng
Theo Hair và cộng sự (2010), mức độ phù hợp của mô hình với dữ liệu thị trường cho chúng ta điều kiện cần và đủ để cho tập biến quan sát đạt được tính đơn hướng, trừ trường hợp các sai số của các biến quan sát có tương quan với nhau. Để đo lường mức độ phù hợp với thông tin thị trường, người ta thường sử dụng: Chi- square (CMIN), Chi-square điều chỉnh theo bậc tự do (CMIN/df); chỉ số thích hợp tốt (GFI - Good of Fitness Index); chỉ số thích hợp so sánh (CFI - Comparative Fit Index); chỉ số Tucker và Lewis (TLI -Tucker và Lewis Index); chỉ số RMSEA (Root Mean Square Error Approximation).
Mô hình được xem là thích hợp với dữ liệu thị trường nếu kiểm định Chisquare có P-value > 0,05; CMIN/df ≤ 2, một số trường hợp CMIN/df có thể ≤ 3; GFI, TLI, CFI ≥ 0,9; và RMSEA ≤ 0,08. Tuy nhiên, theo quan điểm gần đây của các nhà nghiên cứu thì GFI vẫn có thể chấp nhận được khi nhỏ hơn 0,9 (Hair và cộng sự, 2010).
(2) Độ tin cậy của thang đo
Ngoài việc đo lường độ tin cậy của tập hợp các biến quan sát đo lường một khái niệm (nhân tố) thông qua hệ số Cronbach’s alpha, độ tin cậy của thang đo được đánh giá thông qua: (1) Độ tin cậy tổng hợp (composite reliability); (2) Phương sai
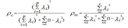
trích (variance extracted). Độ tin cậy tổng hợp (ρc) và tổng phương sai trích (ρvc) được tính theo công thức:

p: số biến quan sát,
λi : hệ số chuẩn hóa của biến quan sát thứ i
1 - λi2: phương sai của sai số đo lường biến quan sát thứ i.
Độ tin cậy tổng hợp: Trong phân tích nhân tố khẳng định (CFA), độ tin cậy tổng hợp là chỉ số đánh giá tốt hơn Cronbach’s alpha bởi vì nó không phạm sai lầm giả định độ tin cậy của các biến là bằng nhau (Gerbing và Anderson, 1988). Theo Hair và cộng sự (2010), thang đo đảm bảo tin cậy khi độ tin cậy tổng hợp >0,6.
Phương sai trích: Phương sai trích phản ánh lượng biến thiên chung của các biến quan sát được tính toán bởi biến tiềm ẩn. Thang đo có giá trị nếu phương sai trích được từ đó phải lớn hơn 0,5; nếu nhỏ hơn có nghĩa là phương sai do sai số đo lường lớn hơn phương sai được giải thích bởi khái niệm cần đo, do đó thang đo không đạt giá trị.
(3) Giá trị hội tụ
Giá trị hội tụ được đánh giá dựa vào hệ số hồi quy nhân tố của từng biến của khái niệm tiềm ẩn nếu nó là đơn hướng. Nếu khái niệm tiềm ẩn là đa hướng thì giá trị hội tụ của khái niệm tiềm ẩn sẽ đạt yêu cầu khi giá trị hội tụ cho từng thành phần đều đạt. Thang đo đạt được giá trị hội tụ khi các trọng số chuẩn hóa của các thang đo đều cao (>0,5) và có nghĩa thống kê (p < 0,05) (Gerbing và Anderson, 1988).
(4) Giá trị phân biệt
Giá trị phân biệt thể hiện cấp độ phân biệt của các khái niệm đo lường (Steenkamp và Van Trijp, 1991). Có hai cấp độ kiểm định giá trị phân biệt bao gồm kiểm định giá trị phân biệt giữa các thành phần trong cùng một khái niệm nghiên cứu thuộc mô hình (within - construct discriminant validity) và kiểm định giá trị phân biệt giữa các khái niệm nghiên cứu (across - construct discriminant validity)






