
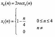
Hình 3.6.5.3
Từ hình 3.6.5.2 và 3.6.5.3 ta có cấu trúc tương đương của bank lọc số 4 kênh phân tích và tổng hợp như trên hình 3.6.5.4.

Hình 3.6.5.4
c) Cấu trúc dạng cây đa phân giải (multiresolution)
Cấu trúc dạng cây đa phân giải được dùng trong trường hợp chúng ta phân tín hiệu thành các tín hiệu dải con có bề rộng phổ không băng nhau, vì vậy ta gọi là đa phân giải.
Hình 3.6.5.5 sẽ cho ta cấu trúc dạng cây đa phân giải của bank lọc số phân tích 2 tầng (hình (a)) và đồ thị tần số giải thích đáp ứng tần số của các bộ lọc số có trong bank lọc số phân tích 2 tầng này (hình (b)).
Có thể bạn quan tâm!
-
Xử lý tín hiệu số 2 Phần 2 - 11 -
Xử lý tín hiệu số 2 Phần 2 - 12 -
Hệ Thống Khôi Phục Hoàn Hảo (Perfect Reconstruction) -
Xử lý tín hiệu số 2 Phần 2 - 15 -
Xử lý tín hiệu số 2 Phần 2 - 16 -
Xử lý tín hiệu số 2 Phần 2 - 17
Xem toàn bộ 140 trang tài liệu này.

Hình 3.6.5.5
Cấu trúc dạng cây đa phân giải của bank lọc số tổng hợp 2 tầng được minh hoạ trên hình 3.6.5.5.
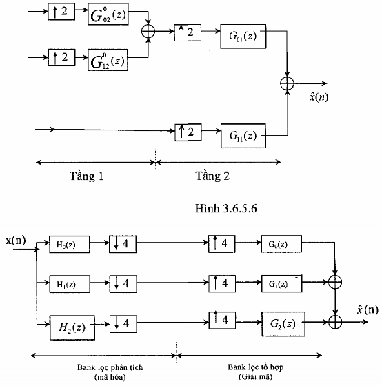
Kết hợp 3.6.5.5 (a) với hình 3.6.5.6 ta suy ra cấu trúc tương dương của bank lọc số 2 tầng phân tích và tổng hợp được minh hoạ trên hình 3.6.5.7.

Hình 3.6.5.7
3.6.6. KỸ THUẬT GHÉP KÊNH
a) Ghép kênh phân thời gian (time division multiplex: TDM)
Để mô tả kỹ thuật ghép kênh phân thời gian chúng ta giả sử có L tín hiệu x0(n), x1(n),.. , xL-1 (n) cần ghép kênh với nhau theo kiểu ghép kênh phân thời gian. Để ghép được kênh phân thời gian, chúng ta cần phải cho các tín hiệu này qua các bộ tăng tần số lấy mẫu (bộ nội suy), sau đó qua các bộ trễ rồi cộng lại chúng ta sẽ được một dãy tín hiệu ghép kênh phân thời gian.
Sơ đồ hình 3.6.6.1 sẽ mô tả bộ ghép kênh phân thời gian.

Hình 3.6.6.1
Chúng ta sẽ giải thích nguyên lý hoạt động của bộ ghép kênh phân thời gian thông qua ví dụ cụ thể 3.6.6.1.
Ví dụ 3.6.6.1
Giả sử ta có hai tín hiệu xong và x0(n) như sau:

Giải
Hai tín hiệu này cần ghép kênh theo kiểu TDM.
+ Hãy vẽ sơ đồ ghép kênh TDM.
+Hãy giải thích nguyên lý ghép kênh TDM bằng đồ thị thời gian.
Theo hình 3.6.6.1 thay L=2 ta có bộ ghép kênh TDM để ghép hai tín hiệu x0(n) và
x1(n), sơ đồ của bộ ghép kênh được minh hoạ trên hình 3.6.6.2.

Hình 3.6.6.2
Đồ thị thời gian giải thích nguyên lý ghép kênh TDM của sơ đồ trên hình 3.6.6.2
được ninh hoạ trên hình 3.6.6.3.

Hình 3.6.6.3
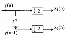
b) Tách kênh phân thời gian
Ngược lại với kỹ thuật ghép kênh phân thời gian. Giả sử ta có tín hiệu ghép L kênh phân thời gian là y(n), chúng ta cần tách thành L kênh phân thời gian là x0(n), x1(n),... ,
xL-1 (n). Để tách được kênh theo kiểu phân thời gian, chúng ta phải cho tín hiệu y(n) qua bộ trễ sau đó cho các bộ phân chia. Sơ đổ tổng quát của bộ tách kênh phân thời gian được mô tả trên hình 3.6.6.4.

Hình 3.6.6.4
Sau đây chúng ta sẽ giải thích nguyên lý hoạt động của bộ tách kênh phân thời gian thong qua ví dụ đơn giản với L=2.
Ví dụ 3.6.6.2
Chúng ta quay lại ví dụ 3.6.6.1, chúng ta có tín hiệu y(n) là tín hiệu ghép kênh phân thời gian của hai tín hiệu x0(n) và x1(n) (xem hình 3.6.6.3), bây giờ chúng ta cần tách tín hiệu y(n) thành hai tín hiệu x0(n) và x1(n).
+ Hãy vẽ sơ đồ tách kênh
+ Hãy giải thích nguyên lý tách kênh bằng sơ đồ thời gian
Giải:
Theo sơ đồ nguyên lý tổng quát của bộ tách kênh phân thời gian cho trên hình
3.6.6.4, thay L=2 ta có bộ tách tín hiệu y(n) thành hai tín hiệu x0(n) và x1(n). Sơ đồ của bộ tách kênh được mô tả trên hình 3.6.6.5.

Hình 3.6.6.5
Đồ thị thời gian để giải thích nguyên lý làm việc của bộ tách kênh phân thời gian trên hình 3.6.6.5 được minh hoạ trên hình 3.6.6.6.

Hình 3.6.6.6
c) Ghép kênh phân tần số (Frequency division multiplex: FDM)
Giả sử chúng ta có L tín hiệu là x0(n), x1(n),... , xL-1 (n) có phổ tương tự là X0(ej), X1(ej),..., xL-1(ej). Các tín hiệu này cần ghép kênh theo tần số. Để thực hiện ghép kênh theo tần số chúng ta có thể dung các bộ lọc nội suy với hệ số nội suy L, còn gọi là bánh lọc tổng hợp. Hình 3.6.6.7 sẽ mô tả cấu trúc của bộ ghép

Hình 3.6.6.7
Nguyên lý hoạt động của bộ ghép kênnh phân tần số được giải thích thông qua ví dụ 3.6.6.3.
Ví dụ 3.6.6.3:
Giả sử cho hai tín hiệu x0(n) và x1(n) có phổ tương ứng là X0(ej) và X1(ej) có dạng trên hình 3.6.6.8 sau đây:

Giải:
Hình 3.6.6.8
Hai tín hiệu này cần ghép kênh theo kiểu FDM.
+ Hãy vẽ sơ đồ bộ ghép kênh
+ Hãy giải thích nguyên ký ghép kênh FDM bằng đồ thị tần số.
Theo sơ đồ tổng quát trên hình 3.6.6.7 thay L=2-ta có bộ ghép kênh FDM để ghép
hai tín hiệu x0(n) và x1(n). Sơ đồ của bộ ghép kênh FDM này được minh hoạ trên hình 3.6.6.9.






