2.2.1.2 Phương pháp ước lượng mô hình kinh tế lượng ba biến theo quy tắc Taylor
- Bước 1: Kiểm định tính dừng của các biến.
- Bước 2: Ước lượng mô hình hồi qui theo phương pháp bình phương tối thiểu (OLS) đối với từng biến it (LSCB, TLS, LSTCK, và LSTCV).
- Bước 3: Chọn lựa mô hình ước lượng của it (LSCB, TLS, LSTCK, và
LSTCV) tương thích nhất với quy tắc Taylor thông qua việc xác định LSTN của mô hình phù hợp nhất với LSTN theo số liệu kinh tế vĩ mô của Việt Nam trong giai đoạn nghiên cứu. Do it nhận các giá trị lãi suất khác nhau là LSCB, TLS, LSTCK, LSTCV nên việc chọn lựa mô hình hồi qui tương thích nhất dựa trên các bước đánh giá sau:
(i) Các hệ số hồi qui của biến INF và OGAP phải có ý nghĩa thống kê.
(ii) Các hệ số hồi qui của biến INF và OGAP phải lớn hơn không.
(iii) Tính mức LSTN từ hệ số hồi qui đã ước lượng so sánh với mức LSTN ước tính của Việt Nam, qua đó chọn lựa mức LSTN của mô hình gần nhất với mức LSTN thực tế ở Việt Nam đã ước tính theo phương pháp bình quân các lãi suất thực trong trung hạn.
Giả thiết từ công thức (2.2) với c = r* + (1 - βππ*); βπ là hệ số biến lạm phát INF, βy là hệ số biến độ lệch sản lượng OGAP. Sau khi ước lượng hồi qui mô hình theo công thức (2.2), ta có giá trị c và βπ, từ đó tính được giá trị của r*:
c = r* + (1 – βπ)π* r* = (1 – βπ)π* – c (2.3)
- Bước 4: Tiến hành dự báo lãi suất đã chọn cho năm 2016.
Quy tắc Taylor (2.2) bao gồm ba biến chính là lãi suất, tỉ lệ lạm phát và độ lệch sản lượng, do đó về cơ bản khó có thể bỏ biến hay thêm biến khác ngoài biến chính vào mô hình để đảm bảo không làm mất bản chất của mô hình quy tắc Taylor gốc. Một trong các giải pháp cơ bản là đưa độ trễ của các biến chính vào mô hình được sử dụng rộng rãi trên thế giới theo phương pháp thử và sai (độ trễ từ 1 đến 4) cho đến khi tìm được mô hình có độ trễ thích hợp của biến có các giá trị thống kê AIC, SC nhỏ nhất được xem là mô hình tốt nhất (Hoàng Ngọc Nhậm và ctg 2007).
2.2.2 Các mô hình dự báo tỉ lệ lạm phát và sản lượng
2.2.2.1 Mô hình dự báo tỉ lệ lạm phát
Theo Rudebusch và Svensson (1998) mô hình được biểu diễn dưới dạng sau: πt+1 = θπ1πt + θπ2πt-1 + θπ3πt-2 + θπ4πt-3 + θyyt + єt+1 (2.4) Trong đó:
πt+1 : tỉ lệ lạm phát quý thời kỳ t+1; єt+1: là sốc cầu tại thời kỳ t+1;
yt: độ lệch sản lượng ở thời kỳ t.
Mô hình (2.4) biểu diễn lạm phát ở thời kỳ t+1 trong mối quan hệ với biến trễ độ lệch sản lượng và các biến trễ tỉ lệ lạm phát, có dạng đường cong Phillips.
2.2.2.2 Mô hình dự báo sản lượng
Mô hình dự báo độ lệch sản lượng (yt) theo Svensson (1996) và Rudebusch và Svensson (1998) được biểu diễn dưới dạng sau:
(2.5) Trong đó, ηt+1 là sốc cung tại thời kỳ t+1.
2.3 Phân tích tác động giữa các biến it, INF và OGAP qua mô hình VAR(p)
Mô hình tự hồi qui theo vector (VAR) là một mô hình kinh tế được dùng để khảo sát sự tác động và phụ thuộc lẫn nhau giữa các biến trong mô hình theo thời gian. Trong mô hình VAR, mỗi biến số phụ thuộc tuyến tính vào các giá trị trễ của biến số chính nó và các giá trị trễ của các biến số khác trong mô hình. Hay nói một cách khác, mô hình VAR được sử dụng để phân tích rò hơn sự tác động do bởi thay đổi của một biến lên các biến còn lại. Do các biến kinh tế vĩ mô là lãi suất it, lạm phát (INF), và độ lệch sản lượng (OGAP) có thể có tác động quan hệ nhân quả lẫn nhau, do đó mô hình VAR(p) với hai công cụ phân tích là hàm phản ứng đẩy (impulse response function – IRF) và phân rã phương sai (variance decomposition) được sử dụng để xem xét tác động qua lại giữa các biến.
Các biến lãi suất (it), lạm phát (INF) và độ lệch sản lượng (OGAP) có quan hệ tác động qua lại lẫn nhau. Khi sản lượng thực tế lớn hơn sản lượng tiềm năng (OGAP > 0) sẽ gây áp lực lên tổng mức giá cả gia tăng và do đó có thể dẫn đến lạm
phát. Khi đó, NHTW sẽ buộc phải điều chỉnh mức lãi suất chính sách để giảm bớt nhiệt tăng trưởng của nền kinh tế. Ngược lại khi nền kinh tế chậm tăng trưởng, NHTW sẽ giảm mức LSCS để kích thích sản xuất, gia tăng mức sản lượng thực tế. Khi lạm phát giảm, tiêu dùng có xu hướng tăng, và cầu tăng có thể kích thích sản xuất hàng hóa và cung ứng dịch vụ tăng làm thay đổi độ lệch sản lượng.
Mô hình tổng quát của VAR có độ trễ p (ký hiệu là VAR(p)):
Đối với một chuỗi dữ liệu n biến thời gian dạng Yt = (y1t, y2t, …ynt), mô hình VAR theo thứ tự p (VAR(p)) được biểu diễn dưới dạng:
; với p < t (2.6)
Trong đó:
yt = (y1t, y2t, …ynt)‟ là các biến số của mô hình VAR(p); Ai là ma trận hệ số (m x m);
ut = (u1t, u2t, …, umt)‟ là số dư ngẫu nhiên phân bố độc lập có trung bình bằng 0 không quan sát được (unobservable independent identically-distributed (i.i.d.) zero mean error term) nghĩa là
∑ và E(utu‟t) = Ʃu, i ϵ (1,m) Các ma trận được biểu diễn như sau:
Ma trận Yt:
| y2t | 
| … | 
| Ymt | 
Có thể bạn quan tâm!
-   Vận dụng quy tắc Taylor trong cơ chế điều hành lãi suất của ngân hàng Nhà nước Việt Nam - 11 Vận dụng quy tắc Taylor trong cơ chế điều hành lãi suất của ngân hàng Nhà nước Việt Nam - 11
-   Vận dụng quy tắc Taylor trong cơ chế điều hành lãi suất của ngân hàng Nhà nước Việt Nam - 12 Vận dụng quy tắc Taylor trong cơ chế điều hành lãi suất của ngân hàng Nhà nước Việt Nam - 12
-   Điều Kiện Vận Dụng Quy Tắc Taylor Trong Cơ Chế Điều Hành Lãi Suất Của Ngân Hàng Trung Ương Điều Kiện Vận Dụng Quy Tắc Taylor Trong Cơ Chế Điều Hành Lãi Suất Của Ngân Hàng Trung Ương
-   Chính Sách Tiền Tệ Tối Ưu: Tối Thiểu Hóa Hàm Tổn Thất Chính Sách Tiền Tệ Tối Ưu: Tối Thiểu Hóa Hàm Tổn Thất
-   Thực Trạng Cơ Chế Điều Hành Lãi Suất Của Ngân Hàng Nhà Nước Việt Nam Qua Phân Tích Bằng Quy Tắc Taylor Thực Trạng Cơ Chế Điều Hành Lãi Suất Của Ngân Hàng Nhà Nước Việt Nam Qua Phân Tích Bằng Quy Tắc Taylor
-   Tiến Trình Cơ Chế Điều Hành Lãi Suất Của Ngân Hàng Nhà Nước Việt Nam Tiến Trình Cơ Chế Điều Hành Lãi Suất Của Ngân Hàng Nhà Nước Việt Nam
Xem toàn bộ 260 trang tài liệu này.

Ma trận hằng số:
| a20 | 
| … | 
| am0 | 
Ma trận Ai(m x m):
| ai12 | … | ai1m | |
| ai21 | ai22 | … | ai2m | 
| … | … | … | … | 
| aim1 | am2 | … | aimm | 
Ma trận Yt-p với p < t:
| y1,t-2 | … | y1,t-p | ||||
| y2,t-1 | y2,t-2 | … | y2,t-p | |||
| … | , | … | , | … | , | … | 
| ym,t-1 | Ym,t-2 | … | Ym,t-p | 
Ma trận Ut:
| u2t | 
| … | 
| unt | 
Công thức VAR(p) theo ma trận: (2.7)
| a10 | a111 | a112 | … | a11m | y1,t-1 | |||||
| y2t | = | a20 | + | a121 | a122 | … | a12m | x | y2,t-1 | + | 
| … | … | … | … | … | … | … | ||||
| ymt | am0 | a1m1 | a1m2 | … | a1mm | ym,t-1 | 
| ap11 | ap12 | … | ap1m | y1,t-p | u1t | |||||
| + | … | + | ap21 | ap22 | … | ap2m | x | y2,t-p | + | u2t | 
| … | … | … | … | … | … | |||||
| apm1 | apm2 | … | apmm | ym,t-p | umt | 
2.3.1 Lựa chọn độ trễ tối ưu của mô hình VAR
Để lựa chọn độ trễ tối ưu, việc chọn lựa mô hình tối ưu dựa trên các tiêu chuẩn thông tin là LR, FPE, AIC, SC và HQ
+ Tiêu chuẩn LR (likelihood ratio test): LR là tiêu chuẩn kiểm định được tính bởi công thức sau:
∑̅ ̅ ∑̅ ̅ (2.8)
Trong đó:
N: kích thước mẫu; i = 1,…, ̅ .
∑̅là ước lượng xấp xỉ ML (maximum likelihood) của ma trận hiệp phương sai đổi mới (innovative covariance matrix ∑).
Kết quả kiểm định được biểu thị bằng LR1 (dành cho mức kiểm tra 1%) và LR5 (dành cho mức kiểm tra 5%).
+ Tiêu chuẩn FPE (final prediction error): là tiêu chuẩn thông tin về sai số dự báo cuối cùng được tính theo công thức sau:
∑̅
(2.9)
+ Tiêu chuẩn thông tin AIC (Akaike information criterion) được tính theo công thức sau:
∑̅
(2.10)
Trong đó p là bậc của VAR, K là số thành phần tương ứng với k phương trình của mỗi vector u (hay K là chiều qui chiếu của chuỗi dữ liệu thời gian).
+ Tiêu chuẩn thông tin SC (Schwarz information criterion) được tính theo công thức sau:
∑̅(2.11)
+ Tiêu chuẩn thông tin Hannan-Quinn (Hannan-Quinn information criterion) được tính theo công thức sau:
∑̅(2.12)
Gọi ̂ là độ trễ ước lượng được chọn để tối thiểu hóa giá trị của các tiêu chuẩn đánh giá. Lutkepohl (2005) so sánh các tiêu chuẩn thông tin giữa AIC, HQ và SC đối với cỡ mẫu nhỏ như sau:
̂(SC) ≤ ̂(AIC) nếu N ≥ 8;
̂(SC) ≤ ̂(HQ) đối với mọi N;
̂(HQ) ≤ ̂(AIC) nếu N ≥ 16.
Canova (2007) cho rằng về tổng quát với cỡ mẫu N ≥ 20, tiêu chuẩn SC và HQ luôn chọn các mô hình có bậc nhỏ hơn so với AIC. AIC không ổn định do bởi nó ước lượng quá lên bậc thực tế của mô hình VAR với xác suất dương trong khi đó HQ và SC luôn ổn định.
Khi nghiên cứu về chọn lựa bậc của độ trễ thích hợp trong mô hình VAR đối với phân tích phản ứng đẩy (IR – Impulse Response) (việc phân tích phản ứng đẩy trên cơ sở mô hình VAR đóng vai trò quan trọng trong kinh tế học vĩ mô thực nghiệm hiện đại) và sử dụng phương pháp thực nghiệm Monte Carlo trên thước đo trung bình sai số bình phương (MSE – Mean Squared Error), Ivanov và Kilian (2005) đã đi đến kết luận rằng với mô hình VAR theo tháng, tiêu chuẩn AIC hướng đến việc ước lượng phản ứng đẩy chính xác nhất đối với các kích thước mẫu thực tế của mô hình VAR bán cấu trúc và cấu trúc. Đối với mô hình VAR theo quý chọn tiêu chuẩn HQ hay SC là tùy thuộc vào cỡ mẫu. Với kích thước mẫu nhỏ hơn 120, tiêu chuẩn SC được chọn là tốt nhất và cỡ mẫu lớn hơn 120 thì tiêu chuẩn HQ là tối ưu.
2.3.2 Kiểm định tính ổn định của mô hình VAR(p)
Xét mô hình VAR(p) biểu diễn theo độ trễ p như sau:
(2.13) Trong đó:
yt = (y1t, …,yKt)‟ là vector ngẫu nhiên (K x 1);
Ai là ma trận hệ số cố định (K x K);
v = (v1, …,vk)‟ là vector của (K x 1) hệ số chặn cho phép khả năng trung bình khác không (nonzero mean) của E(yt).
ut = (u1t, …,uKt)‟ là nhiễu trắng K chiều qui chiếu (K-dimension white noise), nghĩa là E(ui) = 0, E(ut, us‟) là ma trận hiệp phương sai bằng 0 khi s ≠ t. E(ut, us‟) được giả sử là ma trận không suy biến (nonsingular matrix) trừ khi nói khác đi.
Theo Lutkepohl (1991) điều kiện để VAR(p) bền vững là các giá trị đặc trưng của ma trận Ai có giá trị tuyệt đối nhỏ hơn 1. Điều này tương đương với điều kiện sau:
det(IKp – Az) = det(IK – A1z - …- Apzp) ≠ 0, |z| ≤ 1 (2.14)
det(IKp – Az) được gọi là đa thức đặc trưng nghịch đảo (reverse characteristic polynomial) của VAR(p). Đa thức (2.14) được xác định bởi các yếu tố quyết định của nhân tố tự hồi qui (AR) không có nghiệm đơn vị và thuộc trên vòng tròn đơn vị phức hợp. Nếu đa thức (2.14) có nghiệm đơn vị, nghĩa là các yếu tố quyết định bằng 0 khi z=1, lúc đó tất cả hoặc vài biến có hiện tượng đồng liên kết.
2.3.3 Kiểm định quan hệ nhân quả (causality test) trong mô hình VAR(p)
Để biết được mối quan hệ nhân quả giữa các biến trong mô hình VAR, áp dụng phương pháp kiểm định quan hệ nhân quả Granger (Granger Causality/Block Exogeneity Wald test – GCBEW). Kiểm định này cho biết có hay không các biến trễ của một biến ảnh hưởng đến các biến khác trong mô hình VAR. Giả thiết không (H0) là tất cả các biến trễ của một biến không có ảnh hưởng đến một biến (mục tiêu) khác. Giả thiết đối (H1) là tất cả các biến trễ của một biến ảnh hưởng đến một biến (mục tiêu) khác. Kiểm định được thực hiện theo công thức của Enders (1995):
∑ ∑ (2.15) Trong đó:
T: số lượng các quan sát;
Ʃn là các ma trận phương sai/hiệp phương sai của mô hình VAR không giới hạn (unrestricted VAR);
Ʃr là các ma trận phương sai/hiệp phương sai của mô hình VAR giới hạn (restricted) khi độ trễ của một biến bị loại khỏi mô hình VAR;
c = 3p + 1;
p là số độ trễ của một biến bị loại khỏi mô hình VAR.
2.3.4 Hàm phản ứng đẩy (IRF)
Hàm phản ứng đẩy đo lường mức độ ảnh hưởng của cú sốc của phần dư (hay còn gọi cú kích – innovation) của mỗi phương trình trong mô hình VAR tại một
thời điểm có ảnh hưởng đến các biến nội sinh ở hiện tại và tương lai. Trong mô hình VAR, một cú sốc của biến i không chỉ có tác động đến biến i mà còn có tác động đến các biến nội sinh khác thông qua cấu trúc động (dynamic) của mô hình VAR.
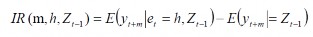
Hang (2011) đã trình bày khái quát hàm phản ứng đẩy cũng như hai phương pháp xác định hàm phản ứng đẩy trên cơ sở kết quả nghiên cứu của Shin và Perasan (1998) cũng như Sims (1980), cụ thể hàm phản ứng đẩy được biểu diễn như sau:

(2.16)
Trong đó:
m: thời kỳ;
h = (h1, h2, …, hm) là vector n x 1 biểu thị kích thước của cú sốc;
Zt-1 biểu thị thông tin tích lũy về nền kinh tế từ quá khứ đến tới thời kỳ t-1.
Việc chọn lựa h có tầm quan trọng trong các mối quan hệ về đặc tính của hàm phản ứng đẩy.
Có hai phương cách xác định hàm phản ứng đẩy:
i. Phản ứng đẩy tổng quát (Generalized impulse response – GIR) GIR được xác định qua hàm số

(2.17)
Trong đó, hj =(gij)1/2.
GIR không thay đổi khi thay đổi thứ tự của các biến nội sinh.
ii. Phản ứng đẩy trực giao (Orthogonalized impulse response – OIR) OIR được xác định qua hàm số

(2.18)
Trong đó:
εt là vector được chọn (n x 1) trong đó yếu tố jth là 1 đơn vị và các yếu tố khác là 0.
Qm được xác định bởi:







