“Các cơ chế của hiện tượng di truyền và biến dị” (phụ lục 1.1, 1.7) rất thuận lợi cho việc hệ thống các KN then chốt này.
1.1.1.3. Sự phát triển khái niệm
Trong DH Sinh học, các KN được hình thành và phát triển theo các hình thức sau:
* Cụ thể hóa nội dung khái niệm
Nội dung của một KN phức tạp được phân tích ra nh iều yếu tố, nội dung của sự vật, hiện tượng phản ánh trong KN được khảo sát dần dần dưới nhiều khía cạnh mới. Nội dung của KN được phân tích thành nhiều yếu tố, nhờ đó mà HS nắm KN một cách đầy đủ và chính xác.
Ví dụ: Quá trình nhân đôi ADN được phân tích như sau:
+ Các yếu tố tham gia và vai trò của các yếu tố đó.
+ Diễn biến xảy ra gồm tháo xoắn, tách mạch ADN, tổng hợp mạch mới (tổng hợp mạch liên tục, tổng hợp mạch gián đoạn), nối các đoạn Okazaki, hình thành 2 ADN “con”…
+ Các nguyên tắc chi phối nhân đôi ADN và ý nghĩa của nhân đôi ADN.
Có thể bạn quan tâm!
-
Thiết kế và sử dụng bản đồ khái niệm trong dạy học phần “Di truyền học” góp phần nâng cao chất lượng dạy học Sinh học lớp 12 - 1 -
Thiết kế và sử dụng bản đồ khái niệm trong dạy học phần “Di truyền học” góp phần nâng cao chất lượng dạy học Sinh học lớp 12 - 2 -
Cơ Sở Lý Luận V À Thực Tiễn Của Việc Thiết Kế Và Sử Dụng Bản Đồ Khái Niệm Trong Dạy Học -
Graph Với 6 Đỉnh Và 7 Cạnh [12] -
Cơ S Ở Khoa Học Của Việc Thiết Kế Và S Ử Dụ Ng Bđkn Trong D Ạy Học -
Cơ Sở Tâm Lý Nhận Thức Của Việc Sử Dụng Bđkn Trong Dạy Học
Xem toàn bộ 220 trang tài liệu này.
* Hoàn thiện nội dung khái niệm
Trong một số trường hợp, vốn kiến thức của HS chưa đủ để nắm KN ở mức đầy đủ, GV phải hình thành KN ở dạng chưa đầy đủ (nh ưng không được sai). Khi HS đã tích đủ vốn kiến thức nhất định, thì sẽ được học KN ở mức độ chính xác và đầy đủ hơn.
Ví dụ: Khi học quy luật phân li (bài 8 - SH 12), HS hiểu được mối quan hệ giữa kiểu gen và kiểu hình là một gen quy định một tính trạng, sa u đó đến bài 10 (SH 12) HS hiểu được không phải chỉ có một gen quy định một tính trạng mà một gen có thể quy định nhiều tính trạng (gen đa hiệu), nhiều gen tương tác quy định một tính trạng (tương tác gen). Đến bài 14 (SH 12) HS lại hiểu thêm kiểu gen tươn g tác với môi trường mới cho kiểu hình cụ thể. Như
vậy qua các bài từ bài 5, bài 10 và bài 12 HS hiểu rõ mối quan hệ giữa kiểu gen và kiểu hình trong đó có mối quan hệ giữa gen với gen và giữa gen với môi trường quy định kiểu hình.
* Hình thành khái niệm mới
Trong nghiên cứu khoa học, sự hình thành những lĩnh vực nghiên cứu mới thường đi kèm với sự xuất hiện KN mới. Mỗi lần chuyển sang một mục mới, một bài mới hay một chương mới HS lại được làm quen với những KN mới. Các KN mới này không phủ định KN cũ mà n ó làm sáng tỏ thêm KN cũ bằng cách chỉnh lý lại giới hạn của KN cũ.
Ví dụ: KN kiểu gen mới đầu được xem là tổ hợp gen trên các nhiễm sắc thể trong nhân tế bào. Sau khi học bài 12 (di truyền ngoài nhân), HS hiểu thêm tế bào chất cũng có gen, từ đó hình thàn h KN mới là gen trong tế bào chất phân biệt với KN gen trong nhân hay hình thành KN mới là di truyền qua tế bào chất với KN di truyền qua nhân.
Như vậy, đối với bộ môn SH, kiến thức cơ bản nhất là hệ thống các KN, việc giảng dạy các KN không chỉ để HS nắm vững nội hàm của KN mà còn phải làm cho HS biết cách hệ thống các KN đã có. Việc thiết kế và sử dụng BĐKN là một cách thức giúp cho quá trình hình thành và phát triển KN có hiệu quả.
1.1.2. Bản đồ khái niệm
1.1.2.1. Định nghĩa về BĐKN
Bản đồ khái niệm (Concept map) là công cụ dạng sơ đồ, dùng để sắp xếp và trình bày kiến thức. Chúng bao gồm các KN và các từ (hoặc các cụm từ) liên kết chỉ mối quan hệ giữa các KN [75], [79]. Các KN thường được đóng khung trong các hình tròn hay các hình chữ nhật, mối quan hệ giữa các KN được thể hiện dưới dạng đường nối giữa hai KN. Đường nối đại diện cho mối quan hệ giữa các KN, có gắn nhãn nhằm miêu tả rõ ràng hơn mối quan hệ đó.

Nhãn thường là từ nối hay các cụm từ nối, định rõ mối quan hệ giữa hai KN [60], [75], [73]. Ví dụ BĐKN “Cơ chế nhân đôi của ADN” (hình 1.2) có các KN như: enzim, Prôtêin, nguyên tắc bổ sung, nguyên tắc khuôn mẫu, tổng hợp mạch mới…; có các từ nối như: thực hiện cơ chế, có sự tham gia, gồm,... .
Hình 1.2. BĐKN “Cơ chế nhân đôi của ADN”
Về cấu trúc, BĐKN bao gồm các “nút” tượng trưng cho các KN, các từ nối cùng các đường liên kết tượng trưng cho mối quan hệ giữa các KN tạo nên một phát biểu có ý nghĩa (mệnh đề). Những KN được sắp xếp theo trật tự logic, mỗi KN là một nhánh của bản đồ.
BĐKN thường có cấu trúc thứ bậc, KN chung nhất, tổng quát nhất được
xếp ở đỉnh của bản đồ, các KN cụ thể hơn được xếp ở bên dưới. Cấu trúc thứ bậc cho một lĩnh vực kiến thức riêng biệt còn phụ thuộc vào ngữ cảnh trong đó nội dung kiến thức đang được áp dụng hay xem xét [65], [75].
BĐKN thường có các đường liên kết chéo. Đường liên kết này thể hiện mối quan hệ giữa các KN trong những lĩnh vực khác nhau của bản đồ. Đường liên kết chéo giúp chúng ta thấy một số lĩnh vực kiến thức trên bản đồ liên quan với nhau như thế nào.
Phần cốt lõi của BĐKN là mệnh đề. Mệnh đề là sự phát biểu về sự vật
hay sự kiện nào đó diễn ra một cách tự nhiên hoặc nhân tạo. Mệnh đề gồm hai KN (hoặc nhiều hơn) nối với nhau bởi một đường nối có nhãn nhằm tạo nên lời phát biểu có ý nghĩa. Đôi khi mệnh đề còn được gọi là những đơn vị ngữ nghĩa [75]. Những mệnh đề là nhân tố làm cho BĐKN khác với những tổ chức sơ đồ tương tự khác [7], [11].
Ngoài ra trong BĐKN có thể có các ví dụ ở cuối KN, chúng có vai trò trợ giúp để làm rõ ý nghĩa của KN đó. Các ví dụ cũng được bao quanh bởi hình tròn, elip hoặc hình chữ nhật nhưng nét vẽ đứt [60], [75].
1.1.2.2. Các dạng BĐKN
* Phân loại dựa theo thành phần
Dựa theo thành phần, có các dạng BĐKN sau [46]:
- BĐKN hoàn chỉnh: là bản đồ có đầy đủ KN, các từ nối, các mệnh đề (hình 1.3).
- BĐKN khuyết: tùy vào khuyết KN, khuyết từ nối mà BĐKN khuyết có ba dạng chính là BĐKN khuyết chỉ có KN (hình 1.4), bản đồ khuyết chỉ có đường nối (hình 1.5), bản đồ khuyết dạng hỗn hợp (bản đồ khuyết một số KN và khuyết một số từ nối - hình 1.6).
- BĐKN câm: là bản đồ không có KN và mệnh đề quan hệ, chỉ có cấu
trúc bản đồ đã cho sẵn, người học phải điền thêm các KN và mệnh đề quan hệ vào đúng vị trí của nó (hình 1.7).

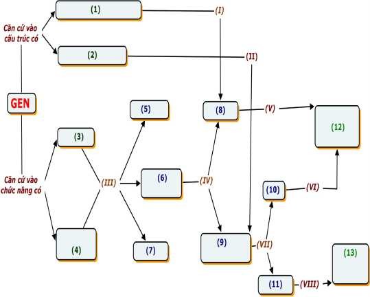
Hình 1.3. BĐKN hoàn chỉnh về “Gen”

Hình 1.4. BĐKN khuyết từ nối về “ Gen” (khuyết 11 từ nối)

Hình 1.5. BĐKN khuyết KN về “Gen” (khuyết 13 KN)

Hình 1.6. BĐKN khuyết dạng hỗn hợp về “Gen” (khuyết 2 từ nối, 4 KN)

Hình 1.7. BĐKN câm về “Gen”
* Phân loại dựa theo hình dạng bản đồ
Dựa vào hình dạng bản đồ có các loại BĐKN sau (hình 1.8):
- BĐKN hình nhện: là BĐKN có một KN trung tâm, xung quanh là những KN bổ sung.
- BĐKN phân cấp: là BĐKN trình bày thông tin theo thứ tự quan trọng giảm dần. Thông tin quan trọng nhất, tổng quát nhất được đặt lên đỉn h, dưới nó là các KN cụ thể hơn.
- BĐKN tiến trình: là BĐKN tổ chức thông tin theo dạng tuyến tính.
- BĐKN hệ thống: là BĐKN tổ chức thông tin theo dạng tương tự bản đồ tiến trình nhưng thêm vào “đầu vào” và “đầu ra”.
Trong thực tiễn tùy vào mức độ phức tạp của nội dung kiến thức mà một BĐKN được thiết kế có thể vừa có dạng hình nhện, vừa có dạng phân cấp…


BĐKN hình nhện BĐKN phân cấp


BĐKN tiến trình BĐKN hệ thống
Hình 1.8. Sự phân chia các loại bản đồ theo hình dạng [75]
1.1.2.3. So sánh BĐKN với một số tổ chức sơ đồ tương tự khác: Bản đồ tư duy (Mind maps), Graph
* So sánh BĐKN với bản đồ tư duy (BĐTD)
- Khái quát về BĐTD: BĐTD là một hình thức ghi chép sử dụng màu sắc và hình ảnh, để mở rộng và đào sâu các ý tưởng . Trong đó, tư duy của con người được thể hiện dưới dạng sơ đồ, bản đồ (hình 1.9) [7] .

Hình 1.9. Cấu trúc của bản đồ tư duy [7]




![Graph Với 6 Đỉnh Và 7 Cạnh [12]](https://tailieuthamkhao.com/uploads/2022/05/09/thiet-ke-va-su-dung-ban-do-khai-niem-trong-day-hoc-phan-di-truyen-5-120x90.jpg)

