
Biến PTTC – FIS

Biến PTTC – FMD
250
Có thể bạn quan tâm!
-
Kết Quả Kiểm Định Mô Hình Pardl Đa Thức Bậc Hai Biến Pttc – Fd -
Phát triển tài chính, cấu trúc tài chính và tăng trưởng kinh tế - 30 -
Phát triển tài chính, cấu trúc tài chính và tăng trưởng kinh tế - 31 -
Kết Quả Kiểm Định Sự Phụ Thuộc Chéo Tại Các Thang Thời Gian Khác Nhau Tại Nhóm Các Quốc Gia Đã Phát Triển (Ae) -
Kết Quả Kiểm Định Nghiệm Đơn Vị (Cadf) Tại Các Thang Thời Gian Tại Các Nhóm Quốc Gia Đang Phát Triển & Mới Nổi (De) -
Kết Quả Kiểm Định Nghiệm Đơn Vị (Ips) Tại Các Thang Thời Gian Tại Các Nhóm Quốc Gia Đang Phát Triển & Mới Nổi (De)
Xem toàn bộ 328 trang tài liệu này.

Biến PTTC – FME

251
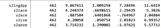
Phụ lục 12: Thống kê mô tả các biến sử dụng trong mô hình tác động của CTTC lên TTKT khi có ảnh hưởng mức độ PTTC

252
Phụ lục 13: Kết quả kiểm định tác động của CTTC lên TTKT khi có ảnh hưởng của mức độ PTTC
Biến CTTC – ZFI, biến tương tác theo cách đo lường của Ergungor (2008) và Chu (2020)

Biến CTTC – ZFI, biến tương tác theo cách đo lường chỉ số PTTC mới
253

Biến CTTC – AFI, biến tương tác theo cách đo lường của Ergungor (2008) và Chu (2020)

Biến CTTC – AFI, biến tương tác theo cách đo lường chỉ số PTTC mới
254

Biến CTTC – EFI, biến tương tác theo cách đo lường của Ergungor (2008) và Chu (2020)

255
Biến CTTC – EFI, biến tương tác theo cách đo lường chỉ số PTTC mới

Phụ lục 14: Thống kê mô tả các biến theo các thang thời gian khác nhau
256


Phụ lục 15: Kết quả kiểm định sự phụ thuộc chéo tại các thang thời gian khác nhau tại nhóm các quốc gia đang phát triển & mới nổi (DE)
D1: Biến LnGDPP

257






