
Hình 4.17. Thiết kế mô hình vệ tinh NanoDragon tại Trung tâm Vũ trụ Việt Nam

Hình 4.18a. Mô hình vệ tinh được sử dụng trong mô phỏng

Hình 4.18b. Mô hình vệ tinh được đặt vào hệ mô phỏng chân không
Luận án lựa chọn phương pháp quản lý nhiệt cho vệ tinh trong mô hình nghiên cứu là phương pháp chất lỏng tuần hoàn dùng bơm (PFL): một bơm nhỏ sẽ được sử dụng để tạo dòng tuần hoàn của chất lỏng để lấy nhiệt từ một nguồn nhiệt giả định trong vệ tinh, sau đó tỏa ra môi trường không gian bên ngoài của vệ tinh hoặc để sưởi ấm cho một bộ phận nào đó của vệ tinh. Chất lỏng đặc chủng Coolanol-20 chứa CNTs với hàm lượng từ 0,2 – 1,0% sẽ được đưa vào hệ thống của vệ tinh để thử nghiệm quá trình quản lý nhiệt ứng với một số tình huống giả định.
4.4.2. Tình huống giả định tản nhiệt cho linh kiện công suất vệ tinh ra vỏ vệ tinh
Trong tình huống này, luận án giả định có sự cân bằng giữa bức xạ nhiệt đến và bức xạ nhiệt ra khỏi vệ tinh, tương ứng với nhiệt độ cân bằng của lớp vỏ vệ tinh là 25oC. Nhiệt lượng từ linh kiện công suất P = 10 W sẽ được tỏa ra lớp vỏ của vệ tinh để ra môi trường. Kết quả thử nghiệm mô phỏng như trên bảng 4.1 cho thấy sau thời gian khoảng 43 phút, nhiệt độ của linh kiện đạt đến giá trị bão hòa, và giá trị này giảm xuống lớn nhất là 4,2oC khi sử dụng chất lỏng tản nhiệt chứa CNTs với hàm lượng 1,0% về thể tích.

Hình 4.19. Sơ đồ hệ truyền nhiệt trong tình huống giả định 1
Bảng 4.1. Kết quả khảo sát trong tình huống giả định thứ nhất
Hàm lượng CNTs (% vol) | Thời gian bão hòa | Nhiệt độ bão hòa khi dùng Coolanol/CNTs | |
1 | 0,0 | 43,0 phút | 62,6oC |
2 | 0,2 | 43,0 phút | 61,8oC |
3 | 0,4 | 43,5 phút | 60,9oC |
4 | 0,6 | 44,0 phút | 60,0oC |
5 | 0,8 | 44,0 phút | 59,1oC |
6 | 1,0 | 44,5 phút | 58,4oC |
Có thể bạn quan tâm!
-
Thế Zeta Của Cnts Phân Tán Trong Các Nền Chất Lỏng -
Thiết Bị Transient Hot Bridge Thb-100 Và Brookfield Dv2Tha -
Bản Vẽ 3D Mặt Sau Của Buồng Chân Không Mô Phỏng Quá Trình Quản Lý Nhiệt Cho Vệ Tinh -
Nghiên cứu chế tạo và ứng dụng chất lỏng tản nhiệt chứa thành phần ống nanô cácbon trong quản lý nhiệt cho vệ tinh - 16 -
Nghiên cứu chế tạo và ứng dụng chất lỏng tản nhiệt chứa thành phần ống nanô cácbon trong quản lý nhiệt cho vệ tinh - 17 -
Nghiên cứu chế tạo và ứng dụng chất lỏng tản nhiệt chứa thành phần ống nanô cácbon trong quản lý nhiệt cho vệ tinh - 18
Xem toàn bộ 149 trang tài liệu này.
4.4.3. Tình huống giả định lấy nhiệt linh kiện công suất để sưởi ấm linh kiện lạnh
Trong tình huống này, luận án giả định vệ tinh hoạt động ở điều kiện không có bức xạ mặt trời và không gian ở nhiệt độ thấp khoảng -75oC. Nhiệt lượng từ linh kiện công suất thay vì tỏa ra vỏ thì sẽ được sử dụng để sưởi ấm cho khối camera giả định vốn cần có nhiệt độ hoạt động ổn định.

Hình 4.20. Sơ đồ hệ truyền nhiệt trong tình huống giả định 2
Bảng 4.2. Kết quả khảo sát trong tình huống giả định thứ hai
Hàm lượng CNTs | Thời gian bão hòa | Nhiệt độ bão hòa vi xử lý | Nhiệt độ bão hòa camera | |
1 | 0,0 % | 32,0 phút | 49,4oC | 20,5oC |
2 | 0,2 % | 32,0 phút | 48,8oC | 21,5oC |
3 | 0,4 % | 32,5 phút | 48,2oC | 23,0oC |
4 | 0,6 % | 32,5 phút | 47,4oC | 23,7oC |
5 | 0,8 % | 33,0 phút | 46,6oC | 24,3oC |
6 | 1,0 % | 33,0 phút | 45,9oC | 24,5oC |
Kết quả thử nghiệm mô phỏng như trên bảng 4.2 cho thấy trong tình huống này, sau thời gian khoảng 32 phút thì nhiệt độ của linh kiện công suất và camera đạt đến giá trị bão hòa. Chất lỏng tản nhiệt đạt hiệu quả tản nhiệt cho linh kiện điện tử và sưởi ấm cho camera tốt nhất khi chứa CNTs với làm lượng 1,0% về thể tích, làm tăng nhiệt độ của camera lên thêm được 4,0oC.
Những kết quả thử nghiệm trên đã cho thấy chất lỏng đặc chủng Coolanol-20 chứa CNTs có hiệu quả cao và tiềm năng ứng dụng lớn trong quá trình quản lý nhiệt cho vệ tinh, từ đó giúp nâng cao hiệu quả, sự ổn định, độ bền và tuổi thọ của vệ tinh trong quá trình hoạt động.
4.4.4. Tính toán mô phỏng độ dẫn nhiệt của chất lỏng tản nhiệt chứa CNTs
a) Phương pháp mô phỏng
Để đánh giá độ dẫn nhiệt và hiệu quả tản nhiệt của chất lỏng tản nhiệt chứa CNTs cho vệ tinh, luận án sử dụng phương pháp mô phỏng để dự đoán độ dẫn nhiệt của chất lỏng tản nhiệt với nồng độ CNTs khác nhau ở các nhiệt độ khác nhau. Hình
4.21 là sơ đồ mạch của hệ mô phỏng hệ thống quản lý nhiệt cho mô hình vệ tinh ở
tình huống giả định 1.

Hình 4.21. Sơ đồ mạch hệ thống quản lý nhiệt bằng chất lỏng cho tình huống giả định 1
![]()
![]()
Trong mô hình này:
![]()
![]()
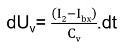
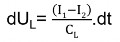
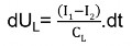
P: là công suất tỏa nhiệt từ linh kiện của vệ tinh C1: nhiệt dung của linh kiện
![]()
CL: nhiệt dung của chất lỏng tản nhiệt
![]()
R1: nhiệt trở giữa linh kiện và chất lỏng tản nhiệt
![]()
R2: nhiệt trở giữa chất lỏng tản nhiệt và lớp vỏ vệ tinh CV: nhiệt dung của lớp vỏ
U: nhiệt độ của lớp vỏ


![]()
Từ mô hình trên, luận án xác định được hệ phương trình vi phân mô tả quá trình tản nhiệt trong tình huống này như sau:
![]()

Trong đó:
![]()
![]()
![]()
I1: dòng nhiệt từ linh kiện điện tử đến chất lỏng tản nhiệt I2: dòng nhiệt từ chất lỏng tản nhiệt đến lớp vỏ vệ tinh Ibx: dòng nhiệt bức xạ ra ngoài môi trường
Theo như trường hợp giả định đầu tiên, công suất phát xạ của linh kiện là P=10 W, và nhiệt dung của linh kiện là khoảng 156,4 J/K. Luận án cũng có được thông số nhiệt dung của chất lỏng tản nhiệt (CL) vào khoảng 1.750 J/K (thông số của nhà sản xuất). Ngoài ra, nhiệt trở giữa linh kiện và chất lỏng là khoảng 20 K/W, trong khi đó nhiệt trở giữa chất lỏng và môi trường là khoảng 23,7 K/W. Quá trình mô phỏng được thực hiện với thời gian và nồng độ CNTs thay đổi.
Tương tự, sơ đồ mạch mô phỏng cho tình huống giả định 2 được thiết lập như sau:

Hình 4.22. Sơ đồ mạch hệ thống quản lý nhiệt bằng chất lỏng cho tình huống giả định 2


![]()
![]()
Từ mô hình trên, luận án xác định được hệ phương trình vi phân mô tả quá trình tản nhiệt trong tình huống này như sau:
b) Kết quả mô phỏng
- Tình huống giả định 1
Hình 4.23. Kết quả mô phỏng của tình huống giả định 1 (hình là số liệu thực
nghiệm)
Hình 4.23 là kết quả mô phỏng ở tình huống giả định 1, khi nhiệt lượng từ linh kiện sẽ được tỏa ra vỏ. Ở đây có thể thấy rằng độ tăng nhiệt độ diễn ra rất nhanh trong khoảng 25 phút đầu tiên, sau đó dần tiến tới giá trị bão hòa (là giá trị mà khi thời gian tiếp tục tăng lên, thì nhiệt độ của lớp vỏ vệ tinh vẫn giữ ở mức ổn định).
Khi không pha CNTs vào chất lỏng tản nhiệt, nhiệt độ bão hòa của lớp vỏ ổn định ở mức khoảng 62,5oC. Khi tăng dần lượng CNTs cho vào chất lỏng tản nhiệt, thì nhiệt độ bão hòa giảm dần đi. Với hàm lượng CNTs lớn nhất được đo trong luận án này, giá trị nhiệt độ bão hòa giảm xuống còn 58,3oC. Như vậy, nhiệt độ bão hòa của vỏ vệ tinh đã giảm được khoảng 4,2oC.
Ngoài ra, một số giá trị thực nghiệm (hình tam giác) cũng được đưa vào để kiểm chứng độ chính xác của mô hình tính toán. Hình 4.23 cho thấy rằng các kết quả đo đạc khá khớp với tính toán lý thuyết, từ đó khẳng định tính đúng đắn của mô hình lý thuyết mà luận án đề ra.
- Tình huống giả định 2
Hình 4.24. Kết quả mô phỏng của tình huống giả định 2 (hình là số liệu thực
nghiệm)
Hình 4.24 là kết quả mô phỏng ở tình huống giả định 2, khi nhiệt lượng từ linh kiện sẽ được dùng để sưởi ấm camera, vốn cần hoạt động ở nhiệt độ ổn định để đảm bảo rằng tiêu cự của hệ thấu kính không bị thay đổi. Ở đây có thể thấy rằng độ tăng nhiệt độ diễn ra rất nhanh trong khoảng 15 phút đầu tiên, sau đó dần tiến tới giá trị bão hòa (là giá trị mà khi thời gian tiếp tục tăng lên, thì nhiệt độ của lớp vỏ vệ tinh vẫn giữ ở mức ổn định).
Khi không pha CNTs vào chất lỏng tản nhiệt, nhiệt độ bão hòa của camera ở mức khoảng 20,5oC. Khi tăng dần lượng CNTs cho vào chất lỏng tản nhiệt, thì nhiệt độ bão hòa tăng dần lên. Với hàm lượng CNTs lớn nhất được đo trong luận án này, giá trị nhiệt độ bão hòa tăng lên đến 24,5oC. Như vậy, nhiệt độ bão hòa của camera đã tăng được khoảng 4,0oC.
Ngoài ra, một số giá trị thực nghiệm (hình tam giác) cũng được đưa vào để kiểm chứng độ chính xác của mô hình tính toán. Hình 4.24 cho thấy rằng các kết quả đo đạc khá khớp với tính toán lý thuyết, từ đó khẳng định tính đúng đắn của mô hình lý thuyết mà luận án đề ra.
4.5. Kết luận chương 4
Chương này đã hoàn thành việc thiết kế và chế tạo thiết bị mô phỏng quá trình quản lý nhiệt cho vệ tinh bao gồm: Thiết kế sơ đồ nguyên lý của buồng chân không






