MỞ ĐẦU
Exopolysaccharide (EPS) là các polymer sinh học và là một trong những thành phần tham gia cấu tạo vách tế bào. EPS có thể được sản xuất bởi nhiều vi sinh vật khác nhau như tảo, nấm và vi khuẩn, bao gồm vi khuẩn lactic (LAB: Lactic Acid Bacteria). EPS được chia thành hai loại là homopolysaccharide (HoPS) và heteropolysaccharide (HePS) dựa theo thành phần cấu tạo hóa học của nó. HoPS được cấu tạo từ cùng một tiểu đơn vị đường đơn trong cấu trúc đơn vị lặp lại. HePS được tạo thành từ các đơn vị lặp lại bao gồm hai hoặc nhiều loại tiểu đơn vị đường, dẫn xuất của đường, các phân tử hữu cơ và vô cơ khác [1,2]. EPS có thể liên kết chặt chẽ với bề mặt tế bào, được định nghĩa là capsular polysaccharide hoặc liên kết lỏng lẻo với bề mặt tế bào và có thể giải phóng ra môi trường bên ngoài, được mô tả là exo-polysaccharide. Hiện nay ngày càng có nhiều tài liệu mô tả các loại polysaccharide này với thuật ngữ chung là EPS [1].
Với những đặc điểm cấu trúc độc đáo cũng như nhu cầu sử dụng các thành phần tự nhiên đã khiến cho EPS của LAB nhận được sự quan tâm đặc biệt trong các ứng dụng của thực phẩm, dược phẩm và y học. Trong công nghiệp thực phẩm, EPS được sử dụng như là một các chất làm đặc, chất ổn định và chất nhũ hóa [3]. Trong y học, EPS được chứng minh có khả năng chống oxy hoá, kích thích và điều chỉnh hệ thống miễn dịch, hoạt động chống viêm, thậm chí chống ung thư. Một số tuyên bố về sức khỏe còn báo cáo rằng EPS của LAB có thể làm giảm cholesterol trong máu [4].
Trong tự nhiên, EPS có vai trò bảo vệ LAB khỏi sự mất nước, tránh các tác động tiêu cực của môi trường như nhiệt độ, pH, thẩm thấu, kháng sinh, thực bào và sự tấn công của phage. EPS còn liên quan đến sự hình thành màng sinh học (biofilm) và cơ chế bám dính của tế bào [5], cũng như quyết định đặc trưng tương tác giữa tế bào với vật chủ [6]. Trên thực tế, để thích nghi với các thay đổi của môi trường, LAB phản ứng bằng nhiều cách khác nhau, trong đó có liên quan đến quá trình sinh tổng hợp EPS. Do đó, stress môi trường có thể kích thích làm tăng sản xuất EPS ở LAB.
Chức năng sinh học của EPS phụ thuộc vào thành phần monosaccharide tham gia cấu tạo nên nó [7]. Sự khác biệt về tỷ lệ và thành phần monosaccharide dẫn đến những khác nhau trong hoạt tính sinh học của EPS [8]. Đặc biệt, EPS giàu
đường hiếm có hoạt tính sinh học cao hơn so với các EPS chỉ bao gồm các loại đường thông thường [9,10]. Ngoài ra, một số nghiên cứu đã chứng minh thành phần monosaccharide của EPS có liên quan trực tiếp đến khả năng chịu stress của LAB [11]. Ngược lại, những thay đổi trong điều kiện môi trường có thể làm thay đổi thành phần monosaccharide của EPS [12]. Nhưng đối với hầu hết các vi khuẩn, thành phần monosaccharide trong EPS được xác định về mặt di truyền và thay đổi không đáng kể dưới điều kiện nuôi cấy bình thường. Do đó, nghiên cứu tác động của stress môi trường nhằm làm thay đổi quá trình sinh tổng hợp với mục đích tạo ra EPS mới có hoạt tính sinh học cao sẽ là một chiến lược nghiên cứu đầy hứa hẹn.
Trong số các LAB, Lactobacillus là nhóm được sử dụng rộng rãi trong các sản phẩm thực phẩm như đồ uống lên men, sữa chua và pho mát [13]. Lactobacillus plantarum(theo hệ thống phân loại mới được đặt tên là Lactiplantibacillus plantarum [14]) là vi khuẩn phổ biến trong các sản phẩm thực phẩm lên men bởi vì khả khả năng thích nghi cao với các thay đổi của môi trường. Ngoài ra, L. plantarum được biết đến với khả năng sản xuất EPS có các tính chất sinh học nổi bật được ứng dụng trong nhiều lĩnh vực khác nhau [15]. Tuy nhiên, hiện nay việc phân lập chủng vi khuẩn L. plantarum bản địa có khả năng sản xuất EPS cao và việc nghiên cứu sử dụng stress môi trường để làm tăng sản xuất EPS ở vi khuẩn này vẫn còn hạn chế. Do đó, đề tài “Nghiên cứu các điều kiện stress môi trường đến khả năng tổng hợp exopolysaccharides của vi khuẩn L. plantarum” nhằm mục đích xác định được điều kiện stress thích hợp kích thích khả năng sinh tổng hợp mạnh EPS của L. plantarum.
Đề tài tập trung nghiên cứu khả năng tích lũy EPS từ việc nuôi cấy L. plantarum có bổ sung các các điều kiện stress môi trường với những nội dung sau:
- Phân lập chủng L. plantarum có khả năng sinh tổng hợp EPS cao.
- Khảo sát ảnh hưởng của stress nhiệt, pH, NaCl và sự tăng nồng độ CO2 đến năng suất và hoạt tính sinh học của EPS.
- Xác định sự thay đổi thành phần monosaccharide của EPS được sản xuất bởi L. plantarum dưới các điều kiện stress môi trường.
- Xác định ảnh hưởng của stress môi trường lên sự biểu hiện mRNA của các gen liên quan đến tổng hợp EPS.
CHƯƠNG 1. TỔNG QUAN
1.1. Giới thiệu về L. plantarum
LAB là một nhóm đa dạng các vi khuẩn Gram dương, sống trong điều kiện hiếu khí hoặc kỵ khí bắt buộc, có khả năng sản xuất L-acid lactic. Lactobacillus được sử dụng nhiều nhất trong lĩnh vực probiotic và là chi chiếm ưu thế nhất trong nhóm LAB [16]. Trong số các loài thuộc Lactobacillus, L. plantarum là chủng có các đặc tính hữu ích và thường được sử dụng nhiều trong các sản phẩm thực phẩm lên men truyền thống [17]. Ngoài ra, L. plantarum còn được sử dụng rộng rãi trong lên men công nghiệp và được công nhận là an toàn [18].
Đầu tiên, L. plantarum được gọi tên là Streptobacterium plantarum bởi Orla- Jensen. Trước khi áp dụng phương pháp nhận dạng loài bằng kỹ thuật sinh học phân tử, dựa trên nhận dạng sinh hóa trước những năm 1980 thì L. pentosus, L. arabinosus, L. rudensis và L. plantarum var. mobilis được xem như cùng một loài vì chúng có các đặc điểm kiểu hình giống nhau. L. plantarum là trực khuẩn Gram dương, tế bào có hình que đầu tròn, thẳng, thường rộng 0,9-1,2 μm và dài 3-8 μm, xuất hiện đơn lẻ, theo cặp hoặc theo chuỗi ngắn [19].
L. plantarum là vi khuẩn không gây bệnh, không có khả năng di động, không sinh bào tử, khuẩn lạc tròn và trơn, màu trắng sữa, lên men kỵ khí tùy tiện và thường được sử dụng trong bảo quản các loại thực phẩm lên men. L. plantarum lên men glucose qua con đường chuyển hóa Emden-Meyerhof-Parnas. Quá trình lên men hexose qua con đường chuyển hóa Emden-Meyerhof-Parnas dẫn đến sự hình thành các acid D-lactic và L-lactic. Mặt khác, pentose cũng được lên men để tạo thành acid lactic và acid axetic dưới sự hiện diện của phosphoacetolase [20].
L. plantarum thường chiếm ưu thế trong các sản phẩn thực phẩm lên men acid lactic có pH thấp hơn 4 và có thể sống sót trong điều kiện acid của dạ dày, điều này cho thấy nó có khả năng kháng acid cao. L. plantarum là chủng ưa nhiệt trung bình có khả năng tăng trưởng ở nhiệt độ từ 15 đến 45 °C. Sự tăng trưởng tốt được ghi nhận dưới sự hiện diện của 4 đến 6% NaCl và ở các giá trị pH trong khoảng từ 4 đến 9 [21].
Lactobacillus là một nhóm không đồng nhất, một nghiên cứu lai tạo DNA- DNA chỉ ra rằng chúng có chứa nhiều kiểu gen và nhóm di truyền. Vị trí phát sinh
loài của L. plantarum trong sự liên quan với một số loài Lactobacillus khác được mô tả ở hình 1.1.
L. acidophilus
L. fermentum
L. fermentum
L. fermentum
L. fermentum
L. paracasei
L. paracasei
L. rhamnosus
L. sakei
L. pentosus
L. plantarum
L. plantarum
L. plantarum
L. plantarum
Lactobacillus sp
L. brevis
L. sanfrancisco
L. sanfrancisco
Hình 1.1. Vị trí phát sinh loài của L. plantarum so với một số LAB liên quan khác dựa trên trình tự 16S rRNA [22]
1.2. Cấu trúc vách tế bào của Lactobacillus
Vách tế bào của Lactobacillus bao gồm khối peptidoglycan (PG) dày (có nhiều lớp) được gắn thêm các acid teichoic, polyphosphate, protein và polysaccharide (Hình 1.2). Đây cũng là đặc điểm chung của LAB và những thành phần này chi phối tương tác của LAB với môi trường.
Mỗi đại phân tử trên bề mặt tế bào đều có ảnh hưởng đến hoạt động probiotic của LAB vì nó có liên quan đến tương tác giữa vi khuẩn và vật chủ. Lớp PG là
Peptidoglycan
thành phần thiết yếu có chức năng bảo vệ tính toàn vẹn của tế bào và chống lại sự ly giải [23,24]. Ngoài ra, các thành phần khác của vách tế bào như acid teichoic, acid lipoteichoic, protein và polysaccharide được liên kết cộng hóa trị hoặc không cộng hóa trị với PG, nơi làm khung cố định cho các thành phần này [23]. Cấu trúc hóa học của PG bao gồm các chuỗi glycan xen kẽ N-acetylglucosamine và acid N- acetylmuramic được liên kết thông qua nối β-1,4. Chuỗi peptide được liên kết cộng hóa trị qua đầu N-xác định với nhóm lactyl của N-acetylmuramic. Các polymer có điện tích âm liên kết cộng hóa trị với PG được xác định là acid teichoic, hoặc gắn trực tiếp vào màng tế bào chất được xác định là acid lipoteichoic [25]. Cấu trúc cơ bản của acid teichoic bao gồm các đơn vị lặp lại của polyglycerol phosphate hoặc polyribitol phosphate nhưng tùy thuộc vào các điều kiện khác nhau như loài, giai đoạn hoặc tốc độ tăng trưởng, pH của môi trường, nguồn carbon, sự hiện diện của phosphate…mà cấu trúc và sự phong phú của polymer này có thể khác nhau [26,27].
Màng plasma
Hình 1.2. Cấu trúc vách tế bào của vi khuẩn Gram dương [26]
Một thành phần quan trọng khác trong vách tế bào của vi khuẩn Gram dương là các protein bề mặt, chúng có thể lớn hoặc nhỏ và bao gồm các domain lặp lại hoặc các domain riêng rẽ [24]. Một trong những protein bề mặt quan trọng được gọi tên là S-layer gắn chặt vào PG. Có ý kiến cho rằng S-layer có thể liên quan đến tính chất bám dính của LAB với biểu mô ruột và các thành phần phức hợp ngoại bào khác. Cuối cùng, trên bề mặt vách tế bào của LAB có chứa các polysaccharide [24]. Các polysaccharide này có thể liên kết cộng hóa trị với PG được gọi là capsule
polysaccharide hoặc phóng thích trực tiếp ra môi trường bên ngoài gọi là exopolysaccharide. Đối với LAB nói chung, thuật ngữ EPS bao gồm cả hai loại polysaccharide này [24] và nghiên cứu này sử dụng thuật ngữ EPS để mô tả các polysaccharide liên quan đến bề mặt tế bào. Vai trò của EPS đối với LAB chịu sự ảnh hưởng của cấu trúc, mức độ tích lũy và tương tác của nó với các phân tử bề mặt khác.
1.3. EPS của LAB
1.3.1. Phân loại EPS của LAB
LAB là vi khuẩn Gram dương được tìm thấy nhiều trong môi trường sống, bao gồm cả đường tiêu hóa của người và động vật. LAB đóng vai trò quan trọng trong đời sống của con người. Không chỉ tham gia làm cân bằng hệ vi khuẩn đường ruột, ngăn chặn rối loại tiêu hóa, một số vi khuẩn lactic còn có khả năng tổng hợp bacteriocin ức chế vi khuẩn gây bệnh [28]. Ngoài ra, LAB được chứng nhận an toàn GRAS (Generally Recognized as Safe) nên chúng được sử dụng nhiều trong thực phẩm. Hiện nay, hầu hết các chế phẩm probiotic thương mại là các chủng thành viên của LAB.
EPS có nguồn gốc từ LAB được sử dụng trong công nghiệp thực phẩm như chất làm đặc, chất ổn định, chất nhũ hóa, thay thế chất béo và cho các mục đích quan trọng khác. LAB có khả năng tổng hợp cả hai loại HoPS và HePS [29]. HoPS của LAB có thành phần cấu tạo bao gồm chỉ một loại đường là glucose (chẳng hạn như glucan và dextran), hoặc fructose (chẳng hạn như fructan và levan). Sự đa dạng của các liên kết glycoside, trọng lượng phân tử, cấu trúc và vị trí phân nhánh dẫn đến sự khác biệt giữa các HoPS ở các loài LAB khác nhau. HoPS của một số loài LAB được giới thiệu ở bảng 1.1.
HePS của LAB thường khác nhau trong thành phần các đường monosaccharide, nhưng nhìn chung chúng bao gồm các loại đường chủ yếu như galactose, glucose, mannose và rhamnose. Trong một vài trường hợp, N- acetylyglucosamine, N-acetylgalactosamine hoặc acid glucuronic cũng tham gia vào cấu tạo HePS. Đôi khi các nhóm thế phi carbohydrate như phosphate, acetyl và glycerol cũng xuất hiện trong thành phần HePS. Những sự thay đổi về thành phần, số lượng monosaccharide, đặc điểm liên kết giữa các monosaccharide cũng như sự
hiện diện của các thành phần phi carbohydrate trong cấu trúc đơn vị lặp lại của HePS dẫn đến sự khác nhau trong EPS của LAB [30].
Bảng 1.1. HoPS được sản xuất bởi LAB [31]
Dòng vi khuẩn | ||
α-D-glucans | Dextran | Leuconostocmesenteroides subsp. mesenteroides |
Leuconostocmesenteroides subsp. dextranicum | ||
Mutan | Streptococcus mutans | |
S. sobrinus | ||
Alternan | Leuconostocmesenteroides | |
Reuteran | L. reuteri | |
β-glucans | Pediococcus spp. | |
Streptococcus spp. | ||
Fructans | Levan | S. salivarus |
Inulin-type | S. mutans | |
Leuconostoccitreum | ||
L. reuteri | ||
Polygalactan | Lactococcus lactis subsp. lactis H414 | |
L. delbrueckii subsp. bulgaricus (CRL 406 và 142) |
Có thể bạn quan tâm!
-
Nghiên cứu các điều kiện stress môi trường đến khả năng tổng hợp exopolysaccharides của vi khuẩn Lactobacillus plantarum - 1 -
Nghiên cứu các điều kiện stress môi trường đến khả năng tổng hợp exopolysaccharides của vi khuẩn Lactobacillus plantarum - 2 -
Cấu Trúc Đơn Vị Lặp Lại Của Eps Ở Một Số Lab -
Sơ Đồ Chi Tiết Về Sản Xuất Eps Của Lab Thông Qua Việc Chuyển Đổi Đường Lactose, Galactose Và Glucose Trong Tế Bào Chất [93] -
Sơ Đồ Tổ Chức Di Truyền Của Cụm Gen Eps Trong L. Plantarum. Pb: Sinh Tổng Hợp Tiền Chất, Of: Chức Năng Khác Liên Quan Đến Eps, Dec: Nhóm Khác, Otr: Điều
Xem toàn bộ 169 trang tài liệu này.
1.3.2. Thành phần và cấu trúc EPS của LAB
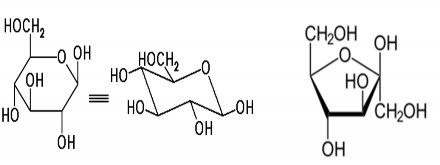
Sự đa dạng về cấu trúc của EPS do LAB sản xuất là rất lớn. Như đã mô tả, các polymer này bao gồm một loại đường duy nhất hoặc hai hay nhiều loại đường, có thể không phân nhánh hoặc phân nhánh, trung tính hoặc tích điện. Phạm vi các đặc điểm cấu trúc này phụ thuộc sự biến đổi của các monomer đường, các liên kết glycoside, sự hiện diện của các nhánh và các nhóm với thành phần phi carbohydrate. Các monosaccharide trong EPS có thể khác nhau về bản chất, cấu hình anomer (dạng α hoặc β), lập thể hóa học (dạng L hoặc D) và cấu trúc vòng (pyranose hoặc furanose) (Hình 1.3). Trong đó, dạng vòng 6 cạnh (pyranose) là phổ biến nhất, vòng 5 cạnh (furanose) ít phổ biến hơn (Bảng 1.2).
Trọng lượng phân tử của EPS được sản xuất bởi LAB dao động từ 4×104 đến 6×106 Da, trừ một số trường hợp trọng lượng phân tử có thể thấp hơn [32]. Nhìn
chung, các đơn phân trong đơn vị lặp lại của HoPS chủ yếu là α-D-Glcρ và β-D- Glcρ. Các loại liên kết glucose glycoside chủ yếu là liên kết glycoside α-(1→3), α- (1→6) và β-(1→3). Các cấu trúc của HePS thì phức tạp hơn bao gồm các đơn vị lặp lại với mức độ trùng hợp khác nhau [33].

Hình 1.3. Cấu trúc dạng vòng 6 cạnh (pyranose) của glucose và 5 cạnh (furanose) của fructose
Ngoài ra, EPS có nguồn gốc từ LAB cho thấy có sự tương đồng lớn trong loại liên kết glycoside. Glucose trong chuỗi chính chủ yếu là các liên kết glycoside α/β-D-(1→ 3) và α/β-D-(1→4) với tỷ lệ nhỏ của các liên kết α-D-(1→2), β-D- (1→5) và β-D-(1→6), và trong các chuỗi bên và các điểm phân nhánh là α/β-D- (1→3), α/β-D-(1→6) và β-D-(1→4) tồn tại ở các tỷ lệ khác nhau. Tương tự, trong các loại liên kết của galactose, các liên kết α/β-D-(1→3) chiếm phần lớn, α/β-D- (1→4) và α/β-D-(1→6) chiếm tỷ lệ nhỏ trong chuỗi chính. Ngược lại, trong chuỗi bên, mannose chỉ chiếm tỷ lệ nhỏ trong tổng số monosaccharide, nhưng tất cả các loại liên kết là β-D-(2→6). Rhamnose chủ yếu được liên kết bởi α-L-(1→2) và α-L- (1→3). Liên kết β-D-(1→3) và α-D-(1→3) là các loại liên kết chính của N-acetyl- glucosamine và N-acetyl-galactosamine.
Ở cấu trúc dạng vòng thì galactose và glucose hiện diện trong cả hai dạng pyranose và furanose, trong khi rhamnose thường ở dạng pyranose (Bảng 1.2). Sự phổ biến trong các liên kết này có thể định hướng tìm thấy các phân tử EPS phức tạp mới với các liên kết monosaccharide đặc biệt.




![Sơ Đồ Chi Tiết Về Sản Xuất Eps Của Lab Thông Qua Việc Chuyển Đổi Đường Lactose, Galactose Và Glucose Trong Tế Bào Chất [93]](https://tailieuthamkhao.com/uploads/2023/02/19/nghien-cuu-cac-dieu-kien-stress-moi-truong-den-kha-nang-tong-hop-5-1-120x90.jpg)
