*Ảnh hưởng của các anion
Ngoài sự có mặt của các cation, sự ảnh hưởng của một số anion: Cl-, NO3-
, SO42- đến tín hiệu Hg (II) cũng được khảo sát. Kết quả được thể hiện như trên hình 3.20.
Đối với mẫu nước biển, độ mặn của nước biển thay đổi phụ thuộc vào các yếu tố địa lý của từng vùng biển. Độ mặn trung bình của nước biển là khoảng 3,5 % tương ứng với nồng độ Cl- khoảng 0,6 M. Do đó, khoảng nồng độ Cl- phù hợp cũng được lựa chọn để nghiên cứu. Kết quả cho thấy lượng Hg (II) có trong dung dịch Hg 1 ppb, sự có mặt Cl- ở nồng độ 0,8 M và các anion SO42- và NO3- lên đến 0,2 M thì giá trị ipHg(II) gần như không bị thay đổi.
3.0
NO-
3
2.5
SO2-
4
2.0
1.5
1.0
0.5
0.00 0.05 0.10 0.15 0.20
Nong do anion / M
3.0
IHg2 + / A
2.5
iH g2+ /A
2.0
1.5
1.0
0.5
0.0
0.0 0.2 0.4 0.6 0.8
Nong do Cl- /M
. Sự ảnh hưởng của các anion Cl-(●), SO42- (▼) và NO3- (■) đến tín hiệu ipHg(II)
3.5.3.3. Khảo sát số lần sử dụng điện cực
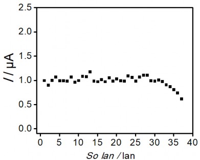
Điện cực sau mỗi lần đo sẽ mất đi một lượng SAM nhất định nên việc nghiên cứu độ bền của điện cực hay thời gian sống của điện cực là rất cần thiết. Độ bền của điện cực đã được nghiên cứu và đánh giá qua giá trị chiều cao píc theo số lần sử dụng phân tích mẫu dung dịch Hg (II) ở nồng độ 1 ppb. Tiến hành ghi đo trong dung dịch
KCl 0,1M + HCl pH=3 bằng cách áp thế -0,4 V trong thời gian 60 giây, sau đó quét hòa tan từ 0,35 V đến 0,67 V bằng kỹ thuật von –ampe xung vi phân DPV.

Hình 3. 21. Sự biến đổi dòng píc Hg (II) ở nồng độ 1 ppb theo số lần sử dụng của điện cực PET-SAM/AuNP
Bảng 3. 5. Giá trị thống kê nghiên cứu độ bền điện cực PET-SAM/AuNP
Giá trị thống kê | |
Số lần đo lặp lại | 30 |
Giá trị dòng píc trung bình | 1,023 |
Độ lệch chuẩn | 0,055 |
Độ lệch chuẩn tương đối | 5,376 % |
Có thể bạn quan tâm!
-
Ảnh Sem Của Aunp Trên Bề Mặt Điện Cực Gce Với Thời Gian Tạo Vàng Khác Nhau: 50 Giây (A), 300 Giây (B), 600 Giây (C) -
Diện Tích Hoạt Động Điện Hóa Của Điện Cực Aunp/gce Và Aunp- Go/gce -
Cơ Sở Lý Thuyết Sử Dụng Sam Biến Tính Điện Cực Phân Tích Hg (Ii) -
Kết Quả Phân Tích Hàm Lượng Hg (Ii) Trong Cùng Một Mẫu Trong Hai Ngày Liên Tiếp -
Đường Dpasv Và Đường Chuẩn Theo Chiều Cao Píc Trên Điện Cực Pet- Aet-Sam/ Aunp-Go Khi Nồng Độ Thủy Ngân Tăng Dần Từ 30 Ppt Đến 3500 Ppt. -
Ảnh Hưởng Của Thế Áp (A); Nồng Độ Kcl (B); Thời Gian Điện Phân (C); Và Thời Gian Khuấy (D) Đến Tín Hiệu Hg (Ii)
Xem toàn bộ 138 trang tài liệu này.
Các kết quả trên hình 3.21 biểu diễn sự biến đổi của giá trị dòng theo số lần sử dụng của điện cực PET-SAM. Kết quả cho thấy dòng ghi đo điện cực PET-SAM lặp lại sau 30 lần ghi đo với độ lặp lại là 5,376 % chứng tỏ điện cực có độ bền tốt.
3.5.3.4. Xây dựng đường chuẩn
Tiến hành xây dựng đường chuẩn với các mẫu nước thủy ngân có nồng độ khác nhau đã được sử dụng để đo sự thay đổi chiều cao píc thủy ngân sử dụng phương pháp DPASV. Kết quả đo được thể hiện trên hình 3.22.
Đường DPASV và đường chuẩn theo chiều cao píc trên điện cực PET- SAM/AuNP khi nồng độ thủy ngân tăng dần từ 100 ppt đến 1000 ppt
Phổ đồ DPASV cho thấy các mẫu đo đều xuất hiện một píc rất rò ở thế 0,52
V. Trên đường đo có thể quan sát được chiều cao píc thủy ngân tăng tương ứng với sự tăng của nồng độ và có sự tương quan tuyến tính tốt, với khoảng nồng độ tuyến tính 100 ppt – 1000 ppt. Hệ số tương quan tuyến tính R = 0,997.
Từ kết quả phân tích trên phần mềm origin, phương trình sự phụ thuộc của cường độ dòng (chiều cao píc) vào nồng độ thủy ngân là:
y = (0,001 ± 2,13.10-6).C + (0,004 ± 0,0122) (3.25)
Vậy với thể tích mẫu là 40 ml thì tuyến tính của đường trong khoảng 50 ppt đến 2000 ppt.
3.5.3.5. Đánh giá giới hạn phát hiện của phương pháp
Giới hạn phát hiện là nồng độ thấp nhất có thể phát hiện được, nồng độ này lớn hơn mẫu trắng với độ tin cậy 99%.
Trong nghiên cứu này, giới hạn phát hiện được xác định bằng cách đo độ lặp lại 7 lần mẫu dung dịch chuẩn Hg (II) ở nồng độ 100 ppt đối với điện cực PET- SAM/AuNP các điều kiện đo được xác lập như lập đường chuẩn, chấp nhận sự sai khác giữa độ lệch chuẩn của dung dịch và độ lệch chuẩn của mẫu trắng là không đáng kể: Sb = Sy. Bậc tự do (n-1): 6. Giá trị t tra bảng với bậc tự do 6, độ tin cậy 99%: 3,143. Kết quả được thể hiện ở bảng 3.6.
Bảng 3. 6. Giới hạn phát hiện và độ thu hồi thủy ngân trên điện cực PET- SAM/AuNP
PET-SAM/AuNP | ||
Hàm lượng Hg (ppt) | Độ thu hồi | |
1 | 91,982 | 91,982 |
2 | 119,002 | 119,002 |
3 | 89,875 | 89,875 |
4 | 104,543 | 104,543 |
5 | 83,506 | 83,506 |
6 | 108,002 | 108,002 |
7 | 95,506 | 95,506 |
Trung bình | 98,917 | 98,917 |
Độ lệch chuẩn | 12,224 | |
LOD | 38,420 |
Kết quả thu được ở bảng cho thấy phương pháp Von – Ampe xung vi phân sử dụng điện cực PET-SAM/AuNP có giới hạn phát hiện thấp và hoàn toàn có thể sử dụng để phân tích hàm lượng vết thủy ngân.
3.5.4. PET-AET-SAM/AuNP phân tích Hg (II)
3.5.4.1. Khảo sát điều kiện chế tạo PET-AET-SAM
Ngoài việc sử dụng PET-SAM trong phân tích thủy ngân, việc sử dụng đồng thời cả hai cấu tử PET và AET biến tính AuNP trong phân tích thủy ngân cũng được nghiên cứu bởi cả hai cấu tử PET và AET đều có khả năng liên kết với Hg (II) như đã trình bày ở mục 3.5.1.2. Do đặc tính về cấu trúc và khả năng liên kết, PET-SAM được lựa chọn là SAM chính và AET được lựa chọn là cấu tử thứ hai đưa vào PET- SAM để lấp đầy những vị trí còn trống trên bề mặt AuNP giữa các phân tử PET liền kề nhằm tạo PET-AET-SAM trên bề mặt AuNP. Việc đưa cấu tử thứ hai, AET, sẽ làm cấu trúc nano của vật liệu biến tính thay đổi do thay đổi khả năng tương tác giữa các phân tử liền kề. Do đó, sẽ ảnh hưởng đến khả năng liên kết với Hg (II) ở pha dung dịch. Vì vậy, các thông số thay đổi về thời gian và nồng độ ngâm AET trong quá trình
tạo SAM hai cấu tử đều được đánh giá dựa vào chiều cao píc Hg(II) trong phổ Vol- Ampe xung vi phân.
٭ Khảo sát thời gian ngâm AET
Ảnh hưởng của thời gian ngâm AET đến tín hiệu Hg được thể hiện trên hình 3.23.
(a)
2.0
1.6
1.2
0.8
0.4
0 5 10 15 20 25 30
timmer / min
AET 1 min
AET 10 min
AET 20 min
AET 30 min
IpHg / µA
6
I / µA
4
2
0
0.40 0.45 0.50 0.55 0.60 0.65
E / V
Hình 3. 23. Đường DPASV phát hiện thủy ngân ở nồng độ 1ppb sử dụng PET- AET-SAM/Au-NP/GCE được chuẩn bị bằng cách ngâm PET- SAM trong 0,1 mM AET với thời gian khác nhau (Hình nhỏ: Sự phụ thuộc của tín hiệu dòng thủy ngân vào thời gian ngâm trong dung dịch AET ở nồng độ 0,1 mM)
Kết quả phổ đồ thu được cho thấy, xuất hiện một píc oxi hóa biến đổi Hg (0) thành Hg (II) tại giá trị thế 0,52 V và sự biến đổi tín hiệu dòng thủy ngân chia thành ba khu vực: tín hiệu tăng dần từ 1 đến 10 phút và đạt giá trị 1,49 A, sau đó đạt giá trị cực đại 1,8 A tại 20 phút và giảm dần khi kéo dài thời gian ngâm. Sự thay đổi này cho thấy sự kết hợp của Hg (II) với nhóm chức của SAM hai cấu tử bị ảnh hưởng bởi quá trình hình thành PET-AET-SAM. Thời gian đầu 1-10 phút là khoảng thời gian cần thiết để ổn định các phân tử AET hấp phụ vào các khoảng trống của phân tử PET trên vàng nano. Khoảng thời gian này khá phù hợp với báo cáo hấp phụ hoàn toàn ankanthiol trên bề mặt vàng từ 10–100 phút của một số nghiên cứu đã công bố [184]. Do đó ở khoảng thời gian này Hg (II) chủ yếu liên kết với N-pyridin của PET.
Khi thời gian đủ dài, khoảng 10 – 20 phút AET có thể tiếp cận trong hệ ổn định SAM hai cấu tử, khi đó Hg (II) kết hợp với cả nhóm N-pyridin và –NH2 dẫn đến sự gia tăng đáng kể tín hiệu dòng thủy ngân. Tuy nhiên, khi kéo dài hơn thời gian
ngâm gây ra sự hình thành liên kết hidro trên bề mặt SAM dẫn đến giảm mật độ electron trên nguyên tử N trong vòng pyridin, có thể làm giảm sự kết hợp với Hg (II). Sự hình thành liên kết hidro trên bề mặt SAM tương tự như kết quả công bố của các tác giả khác [81,185]. Do đó, thời gian ngâm AET 20 phút được lựa chọn tối ưu cho sự hình thành PET-AET-SAM.
٭Khảo sát nồng độ ngâm AET
Như đã trình bày, việc sử dụng cấu tử thứ hai, AET, đóng vai trò quan trọng trong việc làm tăng giá trị dòng píc Hg (II). Không chỉ riêng thời gian ngâm PET- SAM/AuNP trong dung dịch AET mà nồng độ AET trong dung dịch cũng làm thay đổi cấu trúc của PET-AET-SAM và kết quả là thay đổi khả năng liên kết với Hg (II) trong dung dịch. Do đó, trong nghiên cứu này dòng Hg (II) cũng bị ảnh hưởng bởi nồng độ của AET trong dung dịch. Để chứng minh cho lập luận này, nồng độ AET đã được khảo sát cùng với các nồng độ AET khác nhau như trong hình 3.24.
AET 0.05 mM AET 0.1mM AET 0.2 mM
AET 0.3 mM
AET 0.5 mM
(b)
2.0
1.5
1.0
AET 0.8 mM
AET 1 mM
0.5
0.0
0.0 0.2 0.4 0.6 0.8 1.0
CAET / mM
IpHg / µA
8
6
I / µA
4
2
0
-2
0.40 0.45 0.50 0.55 0.60 0.65
E / V
Hình 3. 24. Đường DPASV phát hiện thủy ngân ở nồng độ 1ppb sử dụng PET-AET- SAM/Au-NP/GCE được chuẩn bị bằng cách ngâm PET- SAM trong dung dịch AET 20 phút với nồng độ ngâm khác nhau. (Hình nhỏ: Sự phụ thuộc của tín hiệu dòng thủy ngân vào nồng độ ngâm trong dung dịch AET với thời gian ngâm 20 phút).
Kết quả thu được cho thấy, tín hiệu dòng tăng dần và đạt giá trị cực đại tại 0,1mM sau đó giảm dần khi tăng nồng độ AET. Ở nồng độ thấp các phân tử AET hấp phụ dần vào các chỗ trống trên bề mặt vàng nano. Ở nồng độ cao hơn, số lượng các phân tử AET di chuyển đến bề mặt nhiều hơn và đạt giá trị cực đại tại 0,1 mM.
Tuy nhiên, lượng AET hấp phụ quá nhiều khi tăng nồng độ AET có thể hình thành nhiều liên kết hidro trên bề mặt SAM. Do đó, sự giảm dòng thủy ngân bởi nồng độ ngày càng tăng của AET là tương tự với sự tăng thời gian ngâm trong dung dịch này.
3.5.4.2. So sánh tín hiệu dòng thủy ngân trên điện cực SAM/AuNP
Tín hiệu thủy ngân ở cùng nồng độ 1 ppb khi sử dụng các điện cực PET-SAM, AET-SAM, PET-AET-SAM được thể hiện trên hình 3.25. Kết quả thu được cho thấy cả ba đường đo đều xuất hiện một píc oxi hóa của Hg (0) thành Hg (II) tại thế 0,52 V và có chiều cao píc tương ứng với AuNP biến tính với AET-SAM, PET-SAM và PET-AET-SAM là 0,3 µA; 1,07 µA và 1,8 µA.
Khi sử dụng riêng rẽ PET-SAM và AET-SAM, kết quả cho thấy việc sử dụng PET-SAM cho chiều cao lớn hơn hẳn (gấp 3,56 lần) so với sử dụng AET–SAM. Kết quả này phù hợp với kết quả khảo sát sự hấp phụ các SAM bằng phản ứng khử hấp phụ trong KOH 0,5 M (được trình bày phần 3.3.3).

Hình 3. 25. Đường DPASV phát hiện Hg (II) sử dụng điện cực AET-SAM(▲), PET-SAM (●), PET-AET-SAM (■) trong dung dịch Hg (II) nồng độ 1 ppb với thời gian làm giàu 30 phút
Kết quả hình 3.25 phản ánh sự sắp xếp các phân tử PET có khả năng hấp phụ tạo đơn lớp lớn hơn so với AET với mật độ phân tử PET lớn hơn AET, được thể hiện qua vai trò của nhóm chức pyridine và nhóm amino ở các SAM. Ở đây, liên kết giữa
Hg (II) với NH2 của AET hình thành do cơ chế giữa axit Lewis yếu với một bazo yếu, sự hình thành này yếu hơn so với cơ chế tạo liên kết cho nhận giữa Hg (II) với N- pyridine của PET-SAM.
Khi sử dụng điện cực biến tính với hai cấu tử PET và AET đã ghi nhận được sự tăng tín hiệu dòng đáng kể, đạt 1,8 µA, tăng 80% so với hệ PET-SAM. Kết quả cho thấy sự có mặt của AET trên bề mặt SAM cũng liên kết với Hg (II). Bên cạnh đó, khi hình thành SAM hai cấu tử cấu trúc SAM sẽ thay đổi so với SAM một cấu tử do các tương tác giữa các phân tử liền kề như: liên kết Van der Walls giữa các chuỗi metylen trong phân tử hay liên kết hydro giữa các nhóm chức của PET và AET tạo ra. Trong quá trình sắp xếp các phân tử AET sẽ tạo ra những thay đổi hình dạng liên kết trong phân tử PET, điều này có thể làm ảnh hưởng đến khả năng liên kết của các ion Hg (II) trong dung dịch.
3.5.4.3. Khảo sát độ lặp lại của điện cực
Để đánh giá độ lặp lại của phép đo, tiến hành chuẩn bị Hg(II) ở nồng độ 1 ppb. Ghi dòng hòa tan bằng kỹ thuật Von-Ampe anot xung vi phân, tiến hành đo lặp lại 7 lần mỗi loại điện cực. Kết quả đo lặp lại trên hình cho thấy các điện cực PET- SAM/AuNP có độ lặp lại tốt với RSD là 2,190 %.

Hình 3. 26. Sự phụ thuộc giưa tín hiệu dòng và số lần đo lặp lại (7 lần) trên điện cực AuNP tại cùng nồng độ Hg(II) 1 ppb trong dung dịch KCl 0,1 M + HCl pH = 3






