………………………………………………………………………………………
………………………………………………………………………………………
Khó khăn:
………………………………………………………………………………………
……………………………………………………………………………………… Anh chị có kiến nghị gì với Chính quyền và cơ quan Nhà nước để phát triển tốt hơn hoạt động kinh doanh của mình?
……………………………………………………………………………………….
Tỉ lệ (n=250, %) | |||||
STT | Biến quan sát | Mã hóa | Đồng ý/ rất đồng ý | Trung lập | Không đồng ý/ rất không đồng ý |
1 | Sự đa dạng về chủng loại lưu trú (khách sạn, nhà nghỉ, homestay, phòng trọ…) | LT20 | 89.2% | 8.4% | 2.4% |
2 | Giá cả hợp lý | LT21 | 88.0% | 8.8% | 3.2% |
3 | Đầy đủ tiện nghi | LT22 | 86.4% | 12.% | 1.8% |
4 | Chất lượng phục vụ tốt | LT23 | 91.6% | 6.4% | 2% |
5 | Dịch vụ hỗ trợ khách hàng tốt (kết nối tour nội vùng, dịch vụ vận chuyển, thông tin…) | LT24 | 86.8% | 10.8% | 2.4% |
6 | Hài lòng về dịch vụ lưu trú | LT25 | 90.4% | 7.2% | 2.4% |
Có thể bạn quan tâm!
-
Occcupation: Government Official Civil Servant Enterprise Manager -
Mức Độ Cảm Nhận Của Khách Du Lịch Về Chất Lượng Dịch Vụ Dldsvh Tại Các Điểm Di Sản -
Ước Lượng Hệ Số Beta Của Mô Hình Bằng Phương Pháp Enter - Coefficientsa -
Kinh doanh du lịch di sản văn hóa ở Việt Nam - 18
Xem toàn bộ 152 trang tài liệu này.
….…………………………………………………………………………………… Phụ lục 3.28. Thống kê thang đo dịch vụ lưu trú tại di sản Hội An
Nguồn: Kết quả phân tích số liệu điều tra khảo sát trên SPSS 20 (Descriptive Statistic), 2019
Phụ lục 3.29. Thống kê thang đo dịch vụ ẩm thực tại di sản Hội An
Tỉ lệ (n=250, %) | |||||
STT | Biến quan sát | Mã hóa | Đồng ý/ rất đồng ý | Trung lập | Không đồng ý/ rất không đồng ý |
1 | Sự đa dạng về chủng loại ẩm thực | AT8 | 80.8% | 16.4% | 2.8% |
2 | Giá cả hợp lý | AT9 | 75.6% | 17.2% | 7.2% |
3 | Món ăn hấp dẫn, cuốn hút | AT10 | 88% | 9.2% | 2.8% |
4 | Chất lượng phục vụ tốt | AT11 | 83.6% | 13.6% | 2.8% |
5 | Thực phẩm an toàn | AT12 | 71.6% | 24.8% | 3.6% |
6 | Hài lòng về dịch vụ ẩm thực | AT13 | 87.6% | 9.2% | 3.2% |
Nguồn: Kết quả phân tích số liệu điều tra khảo sát trên SPSS 20 (Descriptive Statistic), 2019
Phụ lục 3.30. Thống kê thang đo dịch vụ giải trí tại di sản Hội An
Tỉ lệ (n=250, %) | |||||
STT | Biến quan sát | Mã hóa | Đồng ý/ rất đồng ý | Trung lập | Không đồng ý/ rất không đồng ý |
1 | Sự đa dạng về chủng loại giải trí | GT14 | 59.4% | 36.4% | 4.0% |
2 | Giá cả hợp lý | GT15 | 58.0% | 36.0% | 6.0% |
3 | Hấp dẫn về nội dung giải trí | GT16 | 53.6% | 42.8% | 3.6% |
4 | Nghệ thuật dân gian đặc sắc | GT17 | 56.0% | 40.4% | 3.6% |
5 | Chất lượng phục vụ tốt | GT18 | 62.8% | 33.6% | 3.6% |
6 | Hài lòng về dịch vụ giải trí | GT19 | 66.4% | 30.8% | 2.8% |
Nguồn: Kết quả phân tích số liệu điều tra khảo sát trên SPSS 20 (Descriptive Statistic), 2019
Phụ lục 3.31. Thống kê Thang đo Vận chuyển tại di sản Hội An
Tỉ lệ (n=250, %) | |||||
STT | Biến quan sát | Mã hóa | Đồng ý/ rất đồng ý | Trung lập | Không đồng ý/ rất không đồng ý |
1 | Thuận lợi | VT26 | 66.8% | 27.6% | 5.6% |
2 | Giá cả hợp lý | VT27 | 73.2% | 25.6% | 6.4% |
3 | Phong phú chủng loại phương tiện | VT28 | 68.0% | 25.6% | 6.4% |
4 | Tài xế không chèo kéo | VT29 | 56.4% | 32.4% | 11.2% |
5 | An toàn | VT30 | 53.2% | 32.8% | 14.0% |
6 | Hài lòng về giao thông, vận tải | VT31 | 66.0% | 27.6% | 6.4% |
Nguồn: Kết quả phân tích số liệu điều tra khảo sát trên SPSS 20 (Descriptive Statistic), 2019
Phụ lục 3.32. Đặc điểm khách du lịch tham gia khảo sát ở Hội An
Biến thông tin | N | (%) |
Giới tính | ||
Nam | 125 | 50 |
Nữ | 123 | 49.2 |
Khác | 2 | 0.8 |
Tuổi | ||
<25 | 66 | 26.4 |
25 - 35 | 117 | 46.8 |
36 - 55 | 40 | 16.0 |
>55 | 27 | 10.8 |
Nhóm quốc gia (phân theo chỉ số HDI) | ||
Rất cao | 170 | 68 |
Cao | 45 | 18 |
Trung bình | 35 | 14 |
Thấp | 0 | 0 |
Nghề nghiệp | ||
Công chức, viên chức | 25 | 10 |
Quản lý doanh nghiệp | 48 | 19.2 |
Nhân viên | 72 | 28.8 |
Học sinh, sinh viên | 46 | 18.4 |
Thất nghiệp | 11 | 4.4 |
Nghỉ hưu | 12 | 4.8 |
Khác | 36 | 14.4 |
Đi du lịch cùng | ||
Gia đình | 113 | 45.2 |
Bạn bè | 109 | 43.6 |
Đồng nghiệp | 4 | 1.6 |
Một mình | 24 | 9.6 |
Tìm kiếm thông tin di sản qua | ||
Bạn bè, người thân trong nước | 95 | 38 |
Bạn bè, người thân ở nước ngoài | 64 | 25.6 |
Các công ty du lịch | 46 | 18.4 |
Báo chí, truyền hình, internet… | 103 | 41.2 |
Công việc hiện tại | 3 | 1.2 |
Khác | 30 | 12 |
Dễ dàng tìm kiếm thông tin về di sản | ||
Có | 231 | 92.4 |
Không | 19 | 7.6 |
Đến di sản Việt Nam | ||
Lần thứ nhất | 222 | 88.8 |
Lần thứ hai | 17 | 6.8 |
nhiều hơn hai lần | 11 | 4.4 |
Thời gian lưu trú tại các di sản | ||
1-2 | 59 | 23.6 |
3-5 | 141 | 56.4 |
5-7 | 29 | 11.6 |
>7 | 21 | 8.4 |
Đi du lịch di sản với mục đích | ||
Tìm hiểu, nghiên cứu về di sản | 115 | 46 |
Khám phá, chiêm ngưỡng di sản | 216 | 86.4 |
Nghỉ ngơi, giải trí | 89 | 35.6 |
Tìm kiếm cơ hội kinh doanh | 2 | 0.8 |
Khác (Other) | 4 | 1.6 |
Ghi chú: N là số mẫu hợp lệ điều tra được trên thực tế trong tổng mẫu 250. (Nguồn: Kết quả phân tích dữ liệu điều tra khảo sát tại Hội An trên SPSS). | ||
Phụ lục 3.33. Mức độ cảm nhận của khách du lịch về chất lượng dịch vụ DLDSVH tại điểm di sản Phố cổ Hội An
Mã hóa (Code) | N (cỡ mẫu) | Giá trị nhỏ nhất (Minimum) | Giá trị lớn nhất (Maximum) | Giá trị trung bình (Mean) | Độ lệch chuẩn (Std. Deviation) |
DDS1 | 250 | 1 | 5 | 4.1920 | .81350 |
DDS2 | 250 | 1 | 5 | 4.2720 | .73223 |
DDS3 | 250 | 1 | 5 | 3.9160 | .85314 |
DDS4 | 250 | 1 | 5 | 4.4040 | .77147 |
DDS5 | 250 | 1 | 5 | 4.2400 | .86335 |
TT1 | 250 | 1 | 5 | 3.5726 | .85056 |
TT2 | 250 | 1 | 5 | 3.4360 | .85371 |
TT3 | 250 | 1 | 5 | 3.3680 | .78168 |
TT4 | 250 | 1 | 5 | 3.6920 | .81473 |
TT5 | 250 | 1 | 5 | 3.5600 | .81551 |
DVAT1 | 250 | 1 | 5 | 4.1840 | .83000 |
DVAT2 | 250 | 1 | 5 | 4.1400 | .76599 |
DVAT3 | 250 | 1 | 5 | 4.3120 | .78044 |
DVAT4 | 250 | 1 | 5 | 4.1800 | .79380 |
DVAT5 | 250 | 1 | 5 | 3.9320 | .84036 |
DVGT1 | 250 | 1 | 5 | 3.6960 | .75223 |
DVGT2 | 250 | 1 | 5 | 3.6960 | .86636 |
DVGT3 | 250 | 1 | 5 | 3.6400 | .75941 |
DVGT4 | 250 | 1 | 5 | 3.7040 | .79682 |
DVGT5 | 250 | 1 | 5 | 3.7720 | .78708 |
DVLT1 | 250 | 1 | 5 | 4.4280 | .78950 |
DVLT2 | 250 | 1 | 5 | 4.3200 | .82238 |
DVLT3 | 250 | 1 | 5 | 4.3160 | .75527 |
DVLT4 | 250 | 1 | 5 | 4.4040 | .71191 |
DVLT5 | 250 | 1 | 5 | 4.3800 | .79884 |
DVVC1 | 250 | 1 | 5 | 3.8640 | .89482 |
DVVC2 | 250 | 1 | 5 | 3.9400 | .95291 |
DVVC3 | 250 | 1 | 5 | 3.9480 | .95338 |
DVVC4 | 250 | 1 | 5 | 3.6440 | .96384 |
DVVC5 | 250 | 1 | 5 | 3.8440 | .78366 |
HL1 | 250 | 1 | 5 | 4.2440 | .77645 |
HL2 | 250 | 1 | 5 | 3.8240 | .78708 |
HL3 | 250 | 1 | 5 | 4.4240 | .75797 |
HL4 | 250 | 1 | 5 | 3.8080 | .87991 |
HL5 | 250 | 1 | 5 | 4.2400 | .59313 |
HL6 | 250 | 1 | 5 | 3.4520 | .89605 |
HL | 250 | 1 | 5 | 3.8000 | .78643 |
Nguồn: Kết quả phân tích dữ liệu điều tra khảo sát trên SPSS 20.
Phụ lục 3.34. Kiểm định độ tin cậy của thang đo | ||
Thang đo/ Biến quan sát | Kết quả đánh giá độ tin cậy | |
Hệ số tương quan biến - tổng (>=0.3) | Cronbach's Alpha nếu xóa biến (>=0.6) | |
Thang đo Dịch vụ ẩm thực | 0.815 | |
DVAT1 | 0.596 | 0.782 |
DVAT2 | 0.535 | 0.799 |
DVAT3 | 0.714 | 0.747 |
DVAT4 | 0.597 | 0.782 |
DVAT5 | 0.589 | 0.785 |
Thang đo Dịch vụ giải trí | 0.820 | |
DVGT1 | 0.669 | 0.769 |
DVGT2 | 0.540 | 0.808 |
DVGT3 | 0.669 | 0.768 |
DVGT4 | 0.548 | 0.803 |
DVGT5 | 0.649 | 0.773 |
Thang đo Dịch vụ vận chuyển | 0.835 | |
DVVC1 | 0.704 | 0.783 |
DVVC2 | 0.687 | 0.788 |
DVVC3 | 0.629 | 0.805 |
DVVC4 | 0.565 | 0.823 |
DVVC5 | 0.611 | 0.811 |
Thang đo Dịch vụ lưu trú | 0.895 | |
DVLT1 | 0.722 | 0.877 |
DVLT2 | 0.741 | 0.873 |
DVLT3 | 0.761 | 0.868 |
DVLT4 | 0.802 | 0.861 |
DVLT5 | 0.695 | 0.883 |
Thang đo Đặc điểm di sản | 0.804 | |
DDS1 | 0.687 | 0.735 |
DDS2 | 0.734 | 0.726 |
DDS3 | 0.514 | 0.791 |
DDS4 | 0.563 | 0.774 |
DDS5 | 0.476 | 0.802 |
Thang đo Dịch vụ cung cấp kiến thức DSVH | 0.825 | |
TT1 | 0.348 | 0.866 |
TT2 | 0.695 | 0.767 |
TT3 | 0.755 | 0.752 |
TT4 | 0.668 | 0.775 |
TT5 | 0.669 | 0.775 |
Sự hài lòng chung | 0.760 | |
HL1 | 0.514 | 0.722 |
HL2 | 0.608 | 0.697 |
HL3 | 0.579 | 0.705 |
HL4 | 0.498 | 0.728 |
HL5 | 0.459 | 0.739 |
HL6 | 0.394 | 0.759 |
Nguồn: Phân tích dữ liệu điều tra khảo sát tại Hội An trên SPSS 20
Phụ lục 3.35. Kết quả kiểm định KMO and Bartlett's Test
KMO and Bartlett's Test | ||
Kaiser-Meyer-Olkin Measure of Sampling Adequacy. | .897 | |
Bartlett's Test of Sphericity | Approx. Chi-Square | 4166.17 2 |
df | 435 | |
Sig. | .000 | |
Nguồn: Kết quả phân tích dữ liệu điều tra khảo sát tại Hội An trên SPSS 20.
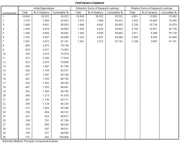
Phụ lục 3.36. Total Variance Explained

Phụ lục 3.37. Ma trận nhân tố đã xoay - Rotated Component Matrixa
Rotated Component Matrixa
Component | |||||||
1 | 2 | 3 | 4 | 5 | 6 | 7 | |
DVLT3 | .799 | .347 | .305 | ||||
DVLT4 | .793 | ||||||
DVLT2 | .782 | ||||||
DVLT1 | .750 | ||||||
DVLT5 | .720 | ||||||
DDS5 | .442 | ||||||
DVGT3 | .781 | ||||||
DVGT1 | .727 | ||||||
DVGT5 | .670 | ||||||
DVGT2 | .650 | ||||||
DVGT4 | .615 | ||||||
DVVT5 | .368 | .779 | |||||
DVVT2 | .722 | ||||||
DVVT4 | .720 | ||||||
DVVT1 | .711 | ||||||
DVVT3 | .673 | ||||||
TT3 | .858 | ||||||
TT2 | .802 | ||||||
TT4 | .796 | ||||||
TT5 | .699 | ||||||
DVAT5 | .750 | ||||||
DVAT3 | .738 | -.333 | |||||
DVAT1 | .670 | ||||||
DVAT4 | .330 | .642 | |||||
DDS2 | .814 | ||||||
DDS1 | .802 | ||||||
DDS4 | .565 | ||||||
DDS3 | .416 | .417 | |||||
TT1 | .571 | ||||||
DVAT2 | .318 | .433 | -.467 |
Extraction Method: Principal Component Analysis. Rotation Method: Varimax with Kaiser Normalization.
a. Rotation converged in 6 iterations.
Nguồn: Kết quả phân tích dữ liệu trên SPSS 20.
Phụ lục 3.38. KMO and Bartlett's Test | ||
Kaiser-Meyer-Olkin Measure of Sampling Adequacy. | .832 | |
Bartlett's Test of Sphericity | Approx. Chi-Square | 316.345 |
df | 15 | |
Sig. | .000 | |
Ma trận nhân tố - Component Matrixa
Component | |
1 | |
HL2 | .770 |
HL3 | .746 |
HL1 | .696 |
HL4 | .667 |
HL5 | .639 |
HL6 | .553 |
Extraction Method: Principal Component Analysis. |
a. 1 components extracted. |
Rotated Component Matrixa |
a. Only one component was extracted. The solution cannot be rotated. (Chỉ có một nhân tố được trích xuất. Giải pháp không thể xoay). |
Phụ lục 3.39. Hệ số tương quan Pearson giữa các khái niệm - Correlations
Correlations
Y | X1 | X2 | X3 | X4 | X5 | X6 | ||
Pearson Correlation | 1 | .232** | .339** | .284** | .339** | .207** | .647** | |
Y | Sig. (2-tailed) | .000 | .000 | .000 | .000 | .001 | .000 | |
N | 250 | 250 | 250 | 250 | 250 | 250 | 250 | |
Pearson Correlation | .232** | 1 | .458** | .431** | .339** | .343** | .233** | |
X1 | Sig. (2-tailed) | .000 | .000 | .000 | .000 | .000 | .000 | |
N | 250 | 250 | 250 | 250 | 250 | 250 | 250 | |
Pearson Correlation | .339** | .458** | 1 | .469** | .363** | .418** | .369** | |
X2 | Sig. (2-tailed) | .000 | .000 | .000 | .000 | .000 | .000 | |
N | 250 | 250 | 250 | 250 | 250 | 250 | 250 | |
Pearson Correlation | .284** | .431** | .469** | 1 | .424** | .362** | .296** | |
X3 | Sig. (2-tailed) | .000 | .000 | .000 | .000 | .000 | .000 | |
N | 250 | 250 | 250 | 250 | 250 | 250 | 250 | |
Pearson Correlation | .339** | .339** | .363** | .424** | 1 | .312** | .299** | |
X4 | Sig. (2-tailed) | .000 | .000 | .000 | .000 | .000 | .000 | |
N | 250 | 250 | 250 | 250 | 250 | 250 | 250 | |
Pearson Correlation | .207** | .343** | .418** | .362** | .312** | 1 | .196** | |
X5 | Sig. (2-tailed) | .001 | .000 | .000 | .000 | .000 | .002 | |
N | 250 | 250 | 250 | 250 | 250 | 250 | 250 | |
Pearson Correlation | .647** | .233** | .369** | .296** | .299** | .196** | 1 | |
X6 | Sig. (2-tailed) | .000 | .000 | .000 | .000 | .000 | .002 | |
N | 250 | 250 | 250 | 250 | 250 | 250 | 250 | |
**. Correlation is significant at the 0.01 level (2-tailed).
Nguồn: kết quả phân tích dữ liệu trên SPSS.
Phụ lục 3.40. Hệ số R bình phương và Durbin-Watson Model Summaryb
Model Summaryb
Mode l | R | R Square | Adjusted R Square | Std. Error of the Estimate | Durbin- Watson |
1 | .797a | .636 | .627 | .42417 | 1.791 |
a. Predictors: (Constant), X6, X5, X1, X4, X3, X2
b. Dependent Variable: Y
Nguồn: Kết quả phân tích dữ liệu khảo sát trên SPSS.
Phụ lục 3.41. Phân tích phương sai ANOVAa
ANOVAa
Model | Sum of Squares | df | Mean Square | F | Sig. | |
1 | Regressio n | 76.344 | 6 | 12.724 | 70.722 | .000b |
Residual | 43.720 | 243 | .180 | |||
Total | 120.064 | 249 | ||||
a. Dependent Variable: Y
b. Predictors: (Constant), X6, X5, X1, X4, X3, X2 Nguồn: kết quả phân tích dữ liệu khảo sát tại Hội An trên SPSS.
Phụ lục 3.42. Ước lượng hệ số Beta của mô hình bằng phương pháp Enter -
Coefficientsa
Model | Unstandardized Coefficients | Standardized Coefficients | t | Sig. | Collinearity Statistics | ||
B | Std. Error | Beta | Tolerance | VIF | |||
(Constant) | .057 | .228 | .251 | .802 | |||
X1 | .418 | .040 | .467 | 10.339 | .000 | .734 | 1.362 |
X2 | .188 | .043 | .213 | 4.330 | .000 | .620 | 1.612 |
X3 | .166 | .044 | .182 | 3.779 | .000 | .649 | 1.540 |
X4 | .119 | .035 | .151 | 3.372 | .001 | .748 | 1.337 |
X5 | .020 | .052 | .017 | .379 | .705 | .767 | 1.303 |
X6 | .260 | .033 | .034 | .802 | .423 | .824 | 1.213 |
a. Dependent Variable: Y
Nguồn: kết quả phân tích dữ liệu khảo sát tại Hội An trên SPSS.
Phụ lục 3.43. Biểu đồ tần số phần dư chuẩn hóa Histogram

Phụ lục 3.44: Biểu đồ phần dư chuẩn hóa Normal P-Plot





