Bảng 6.1. Cách gọi tên các nucleosid
Ribonucleosid | Deoxyribonucleosid | |
A | Adenosin | Deoxyaenosin |
G | Guanosin | Deoxyguanosin |
C | Cytisin | Deoxycytidin |
U | Uridin | |
T | Deoxythymidin |
Có thể bạn quan tâm!
-
Thoái Hóa Theo Con Đường Pentose Monophosphat (Hexose Monophotphat – Hmp) -
Giáo trình Hóa sinh Dùng cho sinh viên Cao đẳng Dược - Đại học Tây Đô - 7 -
Các Con Đường Thoái Hóa Tiếp Tục Của Acetyl Coa A). Oxy Hóa Ở Chu Trình Krebs -
Giáo trình Hóa sinh Dùng cho sinh viên Cao đẳng Dược - Đại học Tây Đô - 10 -
Các Peptid Thường Gặp Trong Thiên Nhiên -
Sự Thủy Phân Protid Ngoại Sinh (Sự Tiêu Hóa Protid)
Xem toàn bộ 122 trang tài liệu này.
2.2. Sự tạo thành nucleotid
Nucleotid cũng là sản phẩm thuỷ phân không hoàn toàn của nucleic acid, gồm ba thành phần: đường pentose, một base nitơ và acid phosphoric.
- H3PO4 nối với pentose bằng liên kết este, thường là C5’, đôi khi ở C2’ hoặc C3’.
- Nếu liên kết vừa ở C2’ và C3’ hoặc C3’ và C5’ thì phosphodieste ở dạng vòng.
Các phosphodieste là đơn vị cấu tạo của acid nucleic.
- RNA có 4 đơn vị cấu tạo chính: AMP, GMP, CMP, UMP
- DNA có 4 đơn vị cấu tạo chính: dAMP, dGMP, dCMP, dTMP
Bảng 6.2. Cách gọi tên các nucleotid
Ribonucleosid 5’-monophosphat | Deoxyribonucleosid 5’-monophosphat | |
A | Adenosin monophosphat (AMP) | Deoxyadenosinmonophosphat (dAMP) |
G | Guanosin monophosphat (GMP) | Deoxyguanosinmonophosphat (dGMP) |
C | Cytidin monophosphat (CMP) | Deoxycytidinmonophosphat (dCMP) |
U | Uridin monophosphat (UMP) | |
T | Deoxythymidinmonophosphat (dTMP) |
2.3. Acid nucleic
Các nucleotid nối với nhau bằng liên kết phosphodieste nhờ các nhóm OH ở vị trí C’3 và C’5 của đường pentose để tạo thành một chuỗi dài gọi là monophosphat.
Liên kết phosphodieste được tạo thành ở vị trí C’3 và C’5 nên chuỗi monophosphat có tính phân cực: đầu 5’ thường có gốc phosphate và đầu 3’ thường có OH tự do.
Acid nucleic gồm hai loại phân tử có cấu tạo rất giống nhau là ADN (Deoxyribonucleic acid) và ARN (Ribonucleic acid).
3. DNA (Desoxyribonucleic acid)
3.1. Cấu trúc DNA
Là một chuỗi xoắn kép gồm hai chuỗi đơn nucleotid, có thể lên đến hàng triệu nucleotid. Đơn vị cấu thành DNA gồm: dAMP, dGMP, dCMP, dTMP, nối với nhau bằng những liên kết 3’-5’ phosphodieste.
Hai chuỗi xoắn đôi theo hướng ngược nhau quanh một trục chung với chu kỳ 3,4 nm. Một sợi xoắn theo hướng 5’-3’ và sợi kia xoắn theo hướng 3’-5’ và kết hợp với nhau nhờ các liên kết hydro hình thành giữa các base bổ sung nằm trên hai chuỗi: A bổ sung cho T và C bổ sung cho G. Trong đó:
Tổng base purin = Tổng base pyrimidin
Như vậy, thứ tự sợi nucleotid này quyết định thứ tự sợi còn lại, thông tin di truyền nằm trong một sợi gọi là sợi mã hóa.
Các dạng cấu trúc DNA
- Xoắn đơn: một số virus.
- Xoắn đôi: phổ biến nhất ở các phân tử DNA.
- Xoắn đơn vòng: DNA ty thể và một số virus.
- Xoắn đôi vòng: dạng nhân đôi của virus hay DNA của virus.
3.2. Vai trò của DNA
Thông tin di truyền tích trữ trong DNA được dùng làm: nguồn thông tin cho sự tổng hợp các phân tử protein của tế bào và cơ thể, cung cấp thông tin mà các tế bào sau kế thừa từ tế bào mẹ.
DNA được dùng làm khuôn để chuyển mã thông tin di truyền cho RNA, cao chép thông tin vào phân tử DNA con.
Như vậy, vai trò chính của DNA là:
- Tích trữ thông tin di truyền.
- Làm khuôn cho chuyển mã và sao chép.
4. RNA (Ribonucleic acid)
4.1. Cấu trúc RNA
Phân tử RNA có cấu tạo tương tự DNA với ba điểm khác biệt:
- Phân tử RNA là chuỗi đơn.
- Đường pentose của phân tử RNA là ribose.
- Base thymin được thay thế bằng uracil trong phân tử RNA.
Cấu trúc và chức năng của RNA có sự biến đổi rò rệt so với DNA. Về cơ bản RNA chỉ là chất mang thông tin di truyền ở virus, sau đó người ta chứng minh rằng
nó không những đóng vai trò cơ bản ở việc chuyển thông tin di truyền mà còn có vai trò cấu trúc khi tạo nên phức hệ RNA-protein.
Có 3 loại RNA chính, có các chức năng khác nhau:
a) RNA thông tin (mRNA)
Là bản sao của những trình tự nhất định trên phân tử DNA, có vai trò chuyển thông tin mã hóa từ DNA đến bộ máy giải mã thành phân tử protein tương ứng.
Các RNA có cấu trúc đa dạng, kích thước nhỏ hơn so với DNA vì chỉ chứa thông tin mã hóa cho một hoặc vài protein và chỉ chiếm khoảng 2-5% tổng số RNA trong tế bào.
Quá trình chuyển thông tin được thể hiện như sau:
Phiên mã Dịch mã
DNA RNA Protein
b) tRNA (vận chuyển)
tRNA vận chuyển các acid amin hoạt hóa đến ribosom để tổng hợp protein từ các mRNA tương ứng. Có ít nhất một loại tRNA cho một loại acid amin.
tRNA là phân tử RNA nhỏ nhất, chứa khoảng 75 nucleotid (trọng lượng khoảng 25 kDa). Các tRNA có cấu trúc dạng cỏ ba lá, ổn định nhờ các liên kết bổ sung hiện diện ở nhiều vùng của phân tử tRNA.
c) rRNA (ribosom)
rRNA là thành phần cơ bản của ribosom, đóng vai trò xúc tác và cấu trúc trong sự tổng hợp protein. rRNA chiếm nhiều nhất trong ba loại RNA (80% tổng số RNA tế bào), tiếp đến là tRNA và mRNA chỉ chiếm 5%.
Ribosom của mọi tế bào đều gồm một tiểu đơn vị nhỏ và một tiểu đơn vị lớn. Mỗi tiểu đơn vị có mang nhiều protein và rRNA có kích thước khác nhau.
d) Một số loại RNA khác.
Ngoài ra, còn một số RNA khác, có vai trò nhất định trong bộ máy tổng hợp protein.
- snRNA (small nuclear): Tham gia vào việc ghép nối các exon.
- hnRNA (heterogenous nuclear) là RNA không đồng nhất ở nhân tế bào.
- scRNA (small cytoplasmic) là RNA nhỏ của tế bào chất.
4.2. Vai trò sinh học của RNA
Sự tổng hợp ARN đảm bảo cho gen cấu trúc thực hiện chính xác quá trình dịch mãở tế bào chất, cung cấp các protein cần thiết.
PHẦN 2. CHUYỂN HÓA NUCLEOTID
1. QUÁ TRÌNH THOÁI HÓA
Acid nucleic trong thức ăn không bị phá hủy bởi môi trường acid ở dạ dày và chỉ
bị thoái hóa chủ yếu ở tá tràng dưới tác dụng của enzym nuclease của tụy và các enzym phosphodiesterase của ruột non. Các sản phẩm tạo thành không qua được màng tế bào mà tiếp tục bị thủy phân thành các nucleosid dưới xúc tác của enzym nucleotidase đặc hiệu nhóm và phosphatase. Các nucleosid có thể được hấp thu tự do qua thành ruột hoặc tiếp tục thoái hóa tạo các base tự do, ribose hoặc ribose-1-phosphat dưới tác dụng của các enzym nucleosidase và nucleoside phosphorylase:
Nucleosid + H3PO4 base + ribose
Nucleosid + H3PO4
Nucleoside phosphorylase
base + ribose-1-P
Các acid nucleic thường xuyên thoái hóa và quá trình đó nằm trong sự biến đổi liên tục của tất cả các bộ phận cấu thành tế bào.
Sơ đồ thoái hóa acid nucleic
Acid nucleic (AND, ARN) H2O Nuclease
Nucleotid
Pvc Nucleotidase
Nucleosid
Nucleosidase
Base N + Pentose
Purin Pyrimidin
Acid uric NH3, CO2
Ure
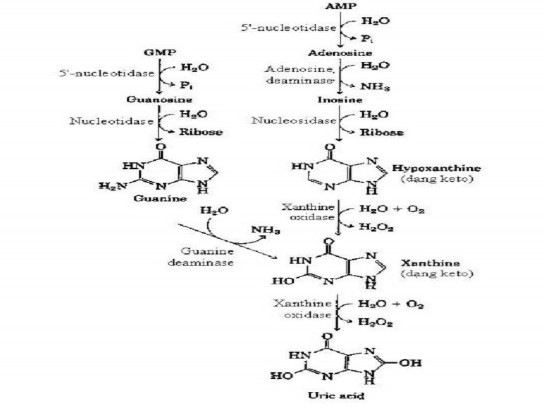
1.1. Thoái hóa của purin nucleotid
Khởi đầu quá trình thoái hóa là phản ứng thủy phân gốc phosphat của adenylat (adenosin nucleotid) dưới sự xúc tác của enzym 5-nucleotidase tạo thành adenosin. Adenosin tiếp tục bị khử amin tạo thành inosin với sự xúc tác của enzym adenosin deaminase
Inosin bị thủy phân giải phóng hypoxanthin và ribose-1-P dưới tác dụng xúc tác của enzym nucleosidase.
Hypoxanthin bị oxy hóa thành xanthin rồi thành acid uric với sự xúc tác của xanthin oxidase.
xanthin oxidase
Acid uric
xanthin
hypoxanthin
5-nucleotidase
Adenosin
Adenylat
Adenosin
deaminase
nucleosidase.
Inosin
Guanylat (guanosin nucleotid)
Với sự xúc tác của enzym 5-nucleotidase, guanylat bị thủy phân tạo thành guanosin. Guanosin bị thủy phân giải phóng guanin tự do và ribose-1-P với sự xúc tác của enzym nucleosidase
Guanin bị khử amin tạo thành xanthin nhờ enzym xanthin deaminase. Xanthin bị oxy hóa thành acid uric nhờ enzym xanthin oxidase.
5-nucleotidase
Guanylat
Guanosin
nucleosidase.
xanthin oxidase
Acid uric
Xanthin deaminase
xanthin Guanosin

Ở người, sản phẩm thoái hóa cuối cùng của base purin là acid uric. Nồng độ acid uric trong máu người bình thường là 2.2 - 8.1 mg/dl (130 - 480 µmol/l). Lượng acid trong nước tiểu khoảng 0.3 - 0.8 g/24h và thay đổi theo chế độ ăn. Trong bệnh Gout (thống phong) lượng acid uric máu có thể tăng tới 7-8 g/dl.
Ở chim, bò sát, côn trùng sản phẩm thoái hóa cuối cùng của base purin cũng là acid uric. Tuy nhiên, ở một số loài động vật có xương sống khác, acid uric tiếp tục thoái hóa tạo thành allantoin dưới sự xúc tác của enzym urat oxidase. Ở loài cá có xương sống, sản phẩm cuối cùng là allantoat (do allantoin gắn thêm một phân tử nước). Ở những loài động vật biển không có xương sống, sản phẩm cuối cùng là NH4+ (do urê bị thủy phân thành CO2 và NH4+).
1.2. Thoái hóa pyrimidin nucleotid
Trong các tế bào động vật, pyrimidin nucleotid thoái hóa thành các đơn vị cấu tạo. Giống như quá trình thoái hóa các purin nucleotid, các sản phẩm thoái hóa pyrimidin lần lượt là: khử phosphoryl hóa, khử amin hóa và cắt đứt liên kết glycosid. Uracil và thymin tiếp tục bị thoái hóa ở gan qua quá trình khử thay vì quá trình oxy hóa như quá trình chuyển hóa purin nucleotid.
Các pyrimidin nucleotid bị thủy phân tạo thành base pyrimidin dưới tác dụng xúc tác của enzym nucleotidase và nucleosidase. Sản phẩm chuyển hóa cuối cùng của pyrimidin nuleotid là amino acid: β - alanin và aminoisobutyrat, qua quá trình trao đổi amin tạo thành manonyl-CoA và methylmaloyl-CoA tiếp tục tham gia chuyển hóa.
2. QUÁ TRÌNH TỔNG HỢP
2.1. Tổng hợp purin ribonucleotid
Quá trình tổng hợp purin nucleotid có thể chia thành bốn giai đoạn chính:
- Giai đoạn 1: Tạo glycinamid ribosyl-5’-phosphat (glycinamid ribonucleotid).
- Giai đoạn 2: Tạo nhân enzym63le của purin.
- Giai đoạn 3: Tạo nhân pyrimidin của purin và sự hình thành acid inosinic
- Giai đoạn 4: Chuyển inosinat (IMP) thành adenylat (AMP) và guanylat (GMP).
Điều hòa tổng hợp: sự tổng hợp các purin nucleotid được điều hòa bởi cơ chế điều hòa ngược, trong đó nồng độ purin nucleotid được tạo thành ức chế lại các enzyme tham gia phản ứng tổng hợp.
2.2. Tổng hợp pyrimidin ribonucleotid
Được tạo thành từ aspartat, carbamoyl phosphat và PRPP (5’-phosphoribosyl-1- pyrophosphat). Khác với tổng hợp purin nucleotid, quá trình tổng hợp pyrimidin nucleotid đơn giản hơn, nhân pyrimidin được hình thành trước dưới dạng orotat, sau đó orotat gắn với PRPP. Quá trình tổng hợp pyrimidin nucleotid gồm hai giai đoạn:
- Giai đoạn 1: Sự tạo thành orotat.
- Giai đoạn 2: Tạo thành pyrimidin nucleotid: uridylat (UMP), cytidylat (CTP).
PHẦN 3. CHUYỂN HÓA ACID NUCLEIC
Tất cả các tế bào của cơ thể sống đều có khả năng tự tổng hợp acid nucleic cần thiết cho mình và không yêu cầu bổ sung acid nucleic trong thức ăn. Vì vậy, hàm lượng acid nucleic trong thức ăn không có ý nghĩa quan trọng đối với cơ thể.
Trong tế bào, sự đổi mới của ADN chậm hơn nhiều so với ARN. Sự đổi mới của ARN xảy ra ở những tế bào đang phân chia và phát triển. Còn lượng ARN thì lại phụ thuộc vào tốc độ sinh tổng hợp protein.
1. THOÁI HÓA ACID NUCLEIC
1.1. Thoái hóa ADN
Các enzym nuclease thủy phân liên kết phosphodieste trong ADN (deoxyribonuclease) có hai loại:
- Exonuclease: thủy phân không chọn lọc, cắt một nucleotid ở đầu 5 hoặc đầu 3 tạo thành oligonucleotid ngắn hơn.
- Endonuclease: thủy phân liên kết phosphodieste giữa chuỗi polynucleotid.
1.2. Thoái hóa ARN
Các nuclease thủy phân liên kết phosphodieste trong ARN gồm hai loại:
- Exonuclease: có nhiều loại ARN exonuclease được tinh chế.
Ví dụ: ARN exonuclease II thủy phân chuỗi đơn ARN theo chiều 3’-5’ và sản phẩm thủy phân là các ribonucleotid-5-phosphat. Trong khi ARN exonuclease V thủy phân chuỗi đơn ARN theo chiều 5’-3’, sản phẩm tạo thành cũng là ribonucleotid-5- phosphat.
- Endonuclease tạo sản phẩm 5-phosphat.
Với sự phối hợp của các exonuclease và endonuclease, các acid nucleic sẽ bị thủy phân tạo thành sản phẩm là các oligonucleotid ngắn và các mononucleotid. Các mononucleotid này hoặc được tận dụng để tổng hợp các polynucleotid hoặc được thoái hóa tiếp tục để tạo thành các sản phẩm cuối cùng.
2. TỔNG HỢP ACID NUCLEIC
2.1. Tổng hợp DNA
Quá trình tổng hợp ADN còn được gọi là quá trình tái bản, đây là quá trình bảo tồn thông tin di truyền cho thế hệ sau.
Theo giả thuyết của Watson và Crick, chuỗi ADN được sử dụng như một khuôn để tổng hợp chuỗi ADN mới theo nguyên tắc bổ sung. Sự tái bản trước hết được khu trú ở một vùng, sau đó di chuyển dọc theo chiều dài của chuỗi ADN song song với sự mở xoắn kép. Vùng này có cấu trúc hình chữ Y nên được gọi là chạc ba tái bản của ADN. Tại vị trí này, hai sợi ADN mới được tổng hợp với sự xúc tác của hệ thống đa enzym. Trong đó, một sợi được tổng hợp liên tục (chuỗi nhanh) còn sợi kia được tổng hợp ngắt quãng (chuỗi chậm) trên khuôn mẫu của ADN mẹ. Quá trình tổng hợp chuỗi chậm tạo
nên các đoạn Okazaki. Kết thúc quá trình tổng hợp, các đoạn Okazaki này được nối với nhau nhờ sự xúc tác của enzym ADN ligase.
Các enzym tham gia quá trình tổng hợp ADN:
- ADN helicase: là enzym mở xoắn kép.
- ADN gyrase (topoisomerase): có tác dụng ngăn không cho ADN mở xoắn kép trở lại chạc ba tái bản, có vai trò quan trọng trong quá trình tái bản ở vi khuẩn.
- ARN primase (ADNG protein): thuộc nhóm enzym ARN polymerase, là enzym xúc tác quá trình tổng hợp sợi ARN mồi ngắn.
- ADN polymerase I (Pol I): là enzym xúc tác sự tổng hợp ADN từ các deoxynucleosid triphosphat với sự có mặt của ADN làm khuôn.
- ADN polymerase II (Pol II): tác dụng chưa rò, nó cũng có hoạt tính exonuclease theo chiều 3-5 nhưng không có hoạt tính exonuclease theo chiều 5-3
- ADN polymerase III (Pol III): vai trò chủ yếu trong quá trình kéo dài chuỗi ADN mới theo chiều 5-3 ở Escherichia coli, có hoạt tính exonuclease theo chiều 3-5
- ADN ligase: xúc tác việc nối các mẩu ADN sợi đơn (các đoạn Okazaki) thông qua việc tạo thành liên kết phosphodieste giữa đầu 3 hydroxyl của mẩu ADN này với đầu 5 phosphat của mẩu ADN khác. ADN ligase có thể tham gia quá trình nối hai sợi ADN bị đứt hoặc nối kín để tạo ADN vòng







