cường kiến thức cho người cao tuổi ở 2 huyện trên dựa vào sinh viên cử nhân điều dưỡng, trong đó sinh viên sẽ dựa trên kiến thức còn thiếu của NCT để cung cấp thêm các kiến thức về tăng huyết áp và cách phòng chống. Kết quả cho thấy can thiệp đã cải thiện đáng kể kiến thức của người cao tuổi tại đây, cụ thể là tỷ lệ NCT biết mỡ động vật không tốt tăng từ 6,3% lên 35,8% và tỷ lệ NCT biết hậu quả của THA tăng từ 10,7% lên 53,2%, tỷ lệ ăn giảm muối cũng có cải thiện. Bên cạnh đó tỷ lệ NCT tập thể dục cũng tăng từ 50,3% lên 58,7%. Tuy nhiên nghiên cứu này cũng chưa làm thay đổi thói quen hút thuốc và sử dụng rượu bia ở NCT tại đây [24].
Như vậy có thể thấy rằng tình trạng tuân thủ thuốc huyết áp tại nhiều khu vực trên thế giới, nhất là những nước đang phát triển còn nhiều hạn chế cần đến các can thiệp tích cực. Một số giải pháp can thiệp có thể được tiếp thu và phát triển từ các giải pháp đã được chứng minh là có hiệu quả tại khu vực phát triển hơn như việc đơn giản hóa phác đồ điều trị, tăng cường tư vấn và sự tương tác giữa thầy thuốc và người bệnh. Cần chú trọng giải quyết trực tiếp những rào cản đến việc uống thuốc của từng đối tượng bệnh nhân và lưu ý đến những đặc trưng riêng của người bệnh tại từng khu vực.
Các mô hình và giải pháp can thiệp hiện có tại thực địa Việt Nam mới tập trung vào việc tăng cường sàng lọc chẩn đoán sớm tại cộng đồng do chính các cơ quan y tế chủ động tiếp cận và thực hiện hoặc một tỷ lệ khiêm tốn người dân có ý thức tốt hơn hoặc đã gặp các vấn đề sức khỏe nên đến cơ sở y tế và được phát hiện mà chưa có giải pháp khuyến khích hiệu quả hơn giúp người bệnh quan tâm và nghĩ đến nguy cơ tăng huyết áp của bản thân sớm và tiếp cận cơ sở y tế sớm hơn. Bên cạnh đó, khi người bệnh đã tiếp cận điều trị, ngoài các chương trình truyền thông thuần túy thì việc theo đuổi điều trị lâu dài của người bệnh phần lớn phụ thuộc vào ý thức và hành vi cá nhân của họ, trong khi họ chưa được tư vấn hiệu quả về nguyên tắc điều trị tăng huyết áp cần phải lâu dài, khiến tỷ lệ bỏ trị rất cao. Mặt khác, các chương trình can thiệp về điều trị đang tiếp cận theo hướng hỗ trợ cung cấp thuốc điều trị cho bệnh nhân còn chưa có chương trình nào giảm tình trạng quên thuốc, bỏ thuốc ở bệnh nhân điều trị ngoại trú dẫn đến tình trạng bệnh nhân quên thuốc và khi gặp tác dụng không mong muốn của thuốc hoặc thấy đỡ thì tự ý bỏ thuốc. Tất cả những lý do trên khiến cho hiệu quả điều trị THA không cao.
Vì vậy, nghiên cứu can thiệp của nhóm tập trung giải quyết những khoảng trống chủ yếu trong phòng chống tăng huyết áp đối với người bệnh tăng huyết áp ngoại viện, nâng cao hiểu biết của người bệnh về nguyên tắc dùng thuốc, giúp hạn chế tác dụng không mong muốn của thuốc, cung cấp công cụ ghi nhận và theo dõi huyết áp để sử dụng tương tác với thầy thuốc, hạn chế việc quên thuốc, bỏ thuốc nhằm tăng cường hiệu quả điều trị.
1.4. Khái quát chung về địa bàn nghiên cứu
Tiền Hải là huyện ven biển, nằm ở phía Đông Nam tỉnh Thái Bình. Phía Bắc giáp huyện Thái Thụy tỉnh Thái Bình, ranh giới là sông Trà Lý; Phía Nam giáp huyện Giao Thủy tỉnh Nam Định, ranh giới là sông Hồng; Phía Tây giáp huyện Kiến Xương tỉnh Thái Bình; Phía Đông giáp biển Đông, với chiều dài bờ biển là 23km, từ cửa Trà Lý đến cửa Ba Lạt.
Tiền Hải có diện tích tự nhiên 225,8 km2; Dân số 212,561 người, phần lớn là
người Kinh. Trong đó người cao tuổi ước tính khoảng 16,000 người, lao động chủ yếu là làm nông nghiệp và cán bộ hưu trí. Toàn huyện có Thị trấn Tiền Hải và 34 xã gồm: An Ninh, Bắc Hải, Đông Cơ, Nam Cường, Nam Hà, Phương Công, Tây An, Tây Giang,Tây Lương...., được chia thành 4 khu gồm: Đông, Tây, Bắc và Nam, trung tâm là thị trấn Tiền Hải.
Hưng Yên là một tỉnh nằm trong khu vực đồng bằng sông Hồng, có vị trí trung tâm khu vực đồng bằng Bắc bộ của nước ta. Phía Đông giáp tỉnh Hải Dương, phía Nam giáp tỉnh Thái Bình, phía Tây và phía nam giáp tỉnh Hà Nam, phía Bắc gần thủ đô Hà Nội và Bắc Ninh. Tỉnh có diện tích 926 km 2, được phân chia thành
10 đơn vị hành chính bao gồm Thành phố Hưng Yên và 9 huyện, gồm 145 xã, 7 phường và 9 thị trấn. Dân số của tỉnh khoảng 1,5 triệu người cũng chủ yếu là dân tộc Kinh [48]. Với vị trí địa lý thuận lợi và địa hình bằng phẳng, khí hậu thổ nhưỡng phù hợp cho phát triển nông nghiệp. Là nơi có sản lượng lúa gạo lớn cũng như những loại trái cây. Trong nhiều năm gần đây, Hưng Yên thu hút đầu tư các khu công nghiệp và sử dụng một lượng lớn lao động thanh niên tại địa phương và tạm trú. Đây là những đặc trưng về kinh tế xã hội giống với tỉnh Thái Bình nên thích hợp để chọn nhóm chứng cho nghiên cứu can thiệp.
Là hai tỉnh đã triển khai phòng khám tăng huyết áp và đái tháo đường tại một số huyện và hỗ trợ điều trị, đồng thời cũng là hai tỉnh có tốc độ phát triển ở mức độ trung bình, có sự tương đồng về văn hóa và đặc điểm người trung và cao tuổi cũng như mô hình bệnh tật, vì thế nghiên cứu sinh lựa chọn 2 tỉnh trên làm địa bàn triển khai nghiên cứu.

Hình 1.2: Bản đồ Huyện Tiền Hải – Tỉnh Thái Bình

Hình 1.3: Bản đồ hành chính tỉnh Hưng Yên
Tăng cường tuân thủ điều trị thuốc
Yếu tố tăng cường tuân thủ điều trị Kiến thức:
- Biết cần phải dùng thuốc lâu dài, nếu ngừng thuốc HA tăng trở lại
- Phát hiện được các mức huyết áp nguy cơ tai biến
Thái độ
- Được người thân, bạn bè quan tâm
- Tin vào loại thuốc đang dùng
Thực hành dùng thuốc
- Chọn được thuốc ít tác dụng phụ
- Phù hợp chi trả
- Khắc phục được tình trạng quên thuốc/bỏ điều trị
Hoạt động can thiệp
- Tư vấn về sự cần thiết của việc theo dõi HA thường xuyên và nguyên tắc điều trị THA
- Tập huấn cách đo HA
- Được CBYT tư vấn tốt, chú ý đến đặc điểm cá nhân
- Tương tác giữa thầy thuốc và bệnh nhân gắn kết.
- Tin tưởng vào tác dụng của thuốc/ít tác dụng phụ
- Thuốc sẵn có, dễ mua
- Chi trả hợp lý
Yếu tố tăng cường khả năng tự theo dõi bệnh tật
- Biết tự đo HA đúng cách
- Phát hiện sớm mức HA nguy cơ và dấu hiệu biến chứng
- Liên hệ hiệu quả với bác sỹ và đến cơ sở y tế kịp thời
KHUNG LÝ THUYẾT: CÁC NHÓM YẾU TỐ ẢNH HƯỞNG ĐẾN TUÂN THỦ ĐIỀU TRỊ TĂNG HUYẾT ÁP
Yếu tố rào cản
- Không biết cần theo dõi HA thường xuyên và dùng thuốc dài ngày
- Gặp tác dụng phụ không mong muốn, thuốc khó mua…
- Quên thuốc, bỏ thuốc do thấy đỡ
- Không được nhắc nhở, động viên khích lệ
Đạt huyết áp mục tiêu
Phát triển từ khung của Gascón J J et al. Family Practice 2004;21:125-130
và từ tổng quan tài liệu
Chương 2
PHƯƠNG PHÁP NGHIÊN CỨU
2.1. Thiết kế nghiên cứu
Là loại nghiên cứu can thiệp phỏng thực nghiệm với thiết kế chi tiết được trình bày theo sơ đồ dưới đây:
Thiết kế can thiệp phỏng thực nghiệm: Can thiệp cộng đồng, đánh giá trước sau có nhóm chứng, không phân bổ ngẫu nhiên.
Nghiên cứu gồm 3 giai đoạn:
Nhóm can thiệp 5 xã huyện Tiền Hải | |
Có thể bạn quan tâm!
-
Gánh Nặng Bệnh Tật Và Tử Vong Do Tăng Huyết Áp Gây Ra -
Tự Theo Dõi Huyết Áp Và Tuân Thủ Điều Trị Trong Điều Trị Tăng Huyết Áp -
Một Số Cách Tiếp Cận Mới Trong Phòng Chống Tăng Huyết Áp Tại Việt Nam -
Tiêu Chí Để Đánh Giá Thực Hành Tự Theo Dõi Huyết Áp Của Bệnh Nhân -
Tiêu Chí Và Nguyên Tắc Xây Dựng Hoạt Động Can Thiệp -
Thời Gian Phát Hiện Tăng Huyết Áp Của Bệnh Nhân
Xem toàn bộ 185 trang tài liệu này.
TRƯỚC CAN THIỆP SAU CAN THIỆP
Nhóm can thiệp
5 xã huyện Tiền Hải
(2) Can thiệp
Nhóm chứng
4 xã Hưng Yên, 1 xã Nam Tiền Hải
(1) Đánh giá trước (3) Đánh giá sau CT
Nhóm chứng 4 xã Hưng Yên, 1 xã Nam Tiền Hải |
Hình 2.1: Sơ đồ thiết kế nghiên cứu
Thiết kế nghiên cứu can thiệp phỏng thực nghiệm bao gồm 3 giai đoạn chính, giai đoạn đầu tiên là điều tra ban đầu được thực hiện trên toàn bộ nhóm chứng và nhóm can thiệp, với số mẫu được tính toán đảm bảo chỉ số cần so sánh trước và sau can thiệp, nhóm can thiệp và nhóm chứng và mức ý nghĩa mong muốn. Giai đoạn 2 bao gồm việc xây dựng mô hình can thiệp, sau đó chọn nhóm can thiệp và nhóm chứng chủ đích (không phân bổ ngẫu nhiên) khá tương đồng về một số đặc điểm văn hóa, xã hội, địa bàn can thiệp và chứng cách tối thiểu 10 km để tránh những sai số của nghiên cứu. Cụ thể trong nghiên cứu này, nhóm can thiệp được chọn là bệnh nhân ở 5 xã thuộc huyện Tiền Hải, tỉnh Thái Bình và nhóm chứng là bệnh nhân xã Nam Hải thuộc khu nam Tiền Hải, cách các xã khác từ 15 km trở lên
và 4 xã thuộc tỉnh Hưng Yên để đảm bảo khoảng cách giữa các xã can thiệp và xã chứng. Tiến hành can thiệp trên nhóm can thiệp trong khi nhóm chứng không được thụ hưởng những giải pháp nào của mô hình. Giai đoạn 3 của nghiên cứu là đánh giá sau can thiệp, được thực hiện trên cả 2 nhóm can thiệp và nhóm chứng với kỹ thuật tương tự điều tra ban đầu.
Bảng 2.1: Các giai đoạn của nghiên cứu
Nhóm can thiệp | Nhóm chứng | |
Đánh giá ban đầu | x | x |
Can thiệp: Áp dụng mô hình can thiệp gồm 3 nhóm giải pháp: - Tư vấn dùng thuốc - Khuyến khích người bệnh tự theo dõi và phản hồi cho thầy thuốc - Mô hình nhắc nhau theo nhóm hỗ trợ giảm quên thuốc, bỏ thuốc Theo dõi quá trình can thiệp | Áp dụng Áp dụng | Không áp dụng Không áp dụng |
Đánh giá giữa kỳ | x | x |
Đánh giá sau can thiệp | x | x |
2.2. Mẫu nghiên cứu và phương pháp chọn mẫu
2.2.1. Công thức tính cỡ mẫu [5]
- Người tăng huyết áp ngoại viện
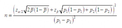
Cỡ mẫu được tính theo công thức so sánh 2 tỷ lệ (kiểm định 1 phía) cho nhóm can thiệp:

Trong đó, tỷ lệ thực hành tuân thủ điều trị ở người tăng huyết áp tại cộng đồng p1 = 40% (tham khảo theo nghiên cứu tại 4 quận nội thành Hà Nội năm 2011 của Vũ Xuân Phú); tỷ lệ bệnh nhân tuân thủ điều trị kỳ vọng sau can thiệp p2 = 55%. Với độ tin cậy 95%; lực mẫu 80%, ta có số người bệnh cần lấy vào can thiệp là 150 bệnh nhân. Dự trù bỏ cuộc trong nghiên cứu ban đầu khoảng 2% và bị mất sau quá trình theo dõi là 5%. Do vậy cỡ mẫu cần thiết ban đầu là 160 bệnh nhân. Thực tế có 151 bệnh nhân tham gia đánh giá ban đầu và cuối đợt theo dõi đánh giá được là 151 bệnh nhân. Lấy tỷ số can thiệp : chứng là 1: 1, cỡ mẫu nhóm chứng là 151 bệnh nhân.
- Cán bộ y tế: 5 bác sỹ trạm trưởng các xã địa bàn can thiệp và chứng; 4 bác sỹ trung tâm y tế huyện; 16 cán bộ y tế thuộc các trạm y tế địa bàn can thiệp; 30 bác sỹ tham gia trong đề tại nhánh xây dựng Bảng phiên giải và hỗ trợ tự theo dõi huyết áp dành cho người bệnh (là một công cụ can thiệp mới được xây dựng và sử dụng trong nghiên cứu) bằng phương pháp Delphi.
2.2.3. Chiến lược chọn mẫu
2.2.3.1 Tiêu chí lựa chọn
Tiêu chuẩn lựa chọn đối tượng trong nghiên cứu can thiệp:
Chọn bệnh nhân trong nghiên cứu cần đạt các tiêu chuẩn sau:
- Cư trú trên địa bàn nghiên cứu
- Người tuổi từ 51 – 80.
- Từng được chẩn đoán tăng huyết áp bởi bác sỹ tại BV đa khoa huyện thuộc địa bàn nghiên cứu.
- Đồng ý tham gia nghiên cứu.
- Có khả năng trả lời phỏng vấn và tham gia các hoạt động của nghiên cứu
- Riêng nhóm can thiệp phải có mặt tại địa bàn nghiên cứu và không đi đâu xa quá 1 tuần.
Tiêu chí loại bỏ đối tượng nghiên cứu:
- Người bệnh có biến chứng rất nặng như: liệt toàn thân, biến chứng tâm thần, ...
- Không ở một nơi cố định
- Từ chối tham gia nghiên cứu.






