
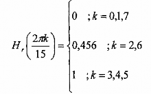
Với bất kỳ sự chọn lựa nào trong các trường hợp trên, ta định nghĩa:
b = 2 sin
⎛M 1 n ⎞
(1.74)
kn k ⎜⎟
Có thể bạn quan tâm!
-
Xử lý tín hiệu số 2 Phần 1 - 2 -
Thiết Kế Bộ Lọc Fir Pha Tuyến Tính Dùng Cửa Sổ -
Đáp Ứng Biên Độ (Db) Của Bộ Lọc Thông Thấp Có Tần Số Cắt Là -
Các Bước Thiết Kế Bộ Lọc Fir Bằng Phương Pháp Lấy Mẫu Tần Số -
Xử lý tín hiệu số 2 Phần 1 - 7 -
Đáp Ứng Biên Độ Của Bộ Lọc Fir Có Độ Gọn Bằng Nhau Với Hiều Dài M=61 Trong Ví Dụ 5.12.
Xem toàn bộ 112 trang tài liệu này.
⎝2 ⎠
Thì các phương trình tuyến tính.(4.71) và (4.76) cho bộ lọc FIR phản đối xứng trở thành:

Tập tần số cho bởi pt(1.70) cũng có thể được đùng trong pt(1.73) và pt(1.74) thay vì dùng tập tần số cho bởi pt(1.61).
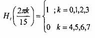
Ví dụ 1.7:
Hãy xác định đáp ứng xung h(n) của bộ lọc FIR pha tuyến tinh, có chiều dài M = 4.
Đáp ứng tần số H() tại = 0 và =
được xác định như sau:
2

Giải:
Đây là bài toán thiết kế mạch lọc khá đơn giản, các thông số chưa biết là h(0) và
h(1). Tập các phương trình tuyến tính là:
a00h(0) + a01h(1) = Hr(0) = 1

Hình 1.20. Đặc tuyến ứng biên độ của bộ lọc FIR pha tuyến tính trong ví dụ 5.7
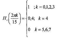
Ví dụ 1.8:
Hãy xác định các hệ số của bộ lọc FIR tuyến tính pha có chiều dài M = 11, đáp ứng xung đối xứng và đáp ứng tần số thỏa mãn điều kiện:

Giải:
Đây là một mạch lọc khá dài, hơn không thể tìm được nếu không có sự hỗ trợ của
máy vi tính trong việc giải hệ phương trình tuyến tính. Lập trình trên máy tính để giải hệ phương trình này, ta có thể thu được các nghiệm như sau:
h(0) = h(14) = 0,04 981188 h(1) = h(13) = 0,04120224 h(2) = h(12) = 0,06666674 h(3) = h(11) = - 0,03648787 h(4) = h(10) = - 0,1078689 h(1) = h(9) = 0,03407801 h(6) = h(8) = 0,3188924 h(7) = 0,4666666
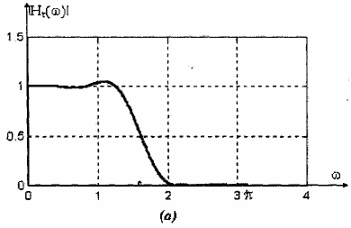
Đáp ứng tần số của mạch lọc thu được trong hình 1.21. Ta thấy, bộ lọc này có một vọt lố (overshoot) ở cạnh dải thông ở phía trước dải quá độ. Nó cũng có các múi bên (sidelobe) khá lớn trong dải chặn, múi bên lớn nhất là - 11 dB.


Hình 1.21: Đặc tuyến đáp ứng biên độ của bộ lọc FIR pha tuyến tính chiều dài M = 15. trong ví dụ 5.8
Nhận xét:
Trong ví dụ trên, ta đã minh họa bài toán thiết kế bộ lọc FIR pha tuyến tính với đáp ứng tần số thay đổi đột ngột từ dải thông (Hr(r) = 1) sang dải chặn, trong dải chặn Hr() được xác định bằng 0 ở các tần số rời rạc. Ta thấy bộ lọc có các múi bên khá lớn, đây là điều không mong muốn.
Trong ví dụ sau đây, thay cho sự thay đổi đột ngột, ta xác định một giá trị trung gian của Hr() trong dải quá độ. Đáp ứng tần số sẽ có các múi bên nhỏ hơn nhiều trong dải chặn.
Ví dụ 1.9:
Thực hiện lại bài toán thiết kế trong ví dụ 4.11 với các chỉ tiêu của đáp ứng tần số
là:

Giải:
Trong trường hợp này, các hệ số của bộ lọc thu được từ việc giải các phương trình
tuyến tính là:
h(0) = h(14) = - 0,01412893 h(1) = h(13) = - 0,001941309 h(2) = h(12) = 0,04000004 h(3) = h(11) = 0,01223414 h(4) = h(10) = - 0,09138802 h(1) = h(9) = - 0,01808986 h(6) = h(8) = 0,3133176 h(7) = 0,12
Nhận xét:
Mạch lọc thu được có đáp ứng tần sổ được vẽ trong hình 1.22. Ta thấy các múi bên bây giờ thấp hơn trong ví dụ trước, múi bên lớn nhất là -41 dB.
Trong ví dụ này, ta đã mở rộng dải quá độ đó là một sự bất lợi, nhưng ta đã thu được một lợi ích lớn hơn, đó là giảm được các múi bên một cách đáng kể. Như vậy, có hai hiệu ứng ngược nhau, nếu ta đưa thêm vào các chỉ tiêu của đáp ứng tần số trong dải quá độ thì biên độ của các múi bên sẽ giảm, trong khi đó bề rộng dải quá độ lại tăng. Tất nhiên ta cần có sự cân nhắc cho hợp lý.


Hình 1.22. Đặc tuyến đáp úng biên độ của bộ lọc FIR pha tuyến tính chiều dài M = 15, trong ví dụ 5.9.
Ví dụ 1.10:
Hãy xác định các hệ số của mạch lọc FIR pha tuyến tính M = 16 mà đáp ứng xung của nó đối xứng và đáp ứng tần số thỏa mãn điều kiện;

Giải:
Giải hệ thống các phương trình tuyến tính, ta thu được đáp ứng xung h(n): h(0) = h(11) = 0,01011716 h(1) = h(14) = 0,02774791
h(2) = h(13) = 0,04067173 h(3) = h(12) = - 0,02017317 h(4) = h(11) = 0,04840164 h(1) = h(10) = - 0,111712 h(6) = h(9) = - 0,266221 h(7) = h(8) = 0,3362424
Đây là mạch lọc thông dải, có đáp ứng tần số được vẽ tro ình 4.23 múi bên lớn nhất
trong dải chặn giảm xuống còn -34dB.
Cuối cùng, việc chọn các tần số k để xác định các chỉ tiêu của đáp ứng xung của bộ lọc cần dựa trên tần số cắt hay tần số cạnh dải thông p và cạnh dải chặn s. Ta có thể chọn chiều dài M của bộ lọc sao cho trong các tần số{r} có tần số trùng hoặc gần trùng với p, s.
Người thiết kế cũng có thể chọn 1 tập tần số{r} tùy ý không cần phải cách đều, sao
cho nó phù hợp nhất với các chỉ tiêu của đáp ứng cho trước.

Hình 1.23: Đặc tuyến đáp ứng biên độ của bộ lớn FIR pha tuyến tính chiều dài M = 16, trong ví dụ 5.10.
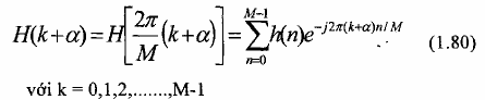
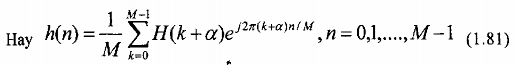
1.2.2.4. Công thức tính h(n)
- Mục đích của ta là tìm đáp ứng xung h(n) của bộ lọc có đáp ứng tần số mong muốn, từ đó xác định hàm truyền đạt (hay phương trình sai phân) và xây dựng cấu trúc của bộ lọc. Trong mục 1.2.2.3. ta đã tính hận bằng cách giải các hệ phương trình tuyến tính (1.70), (1.71) hoặc (1.75), (176), tổng quát hơn là phương trình ma trận (1.77). Theo đó, ta phải xác định ma trận các hệ số akn (ma trận [A]) hay ma trận các hệ số bkn (ma trận [B]), và sau đó, để giải phương trình ma trận (1.77) (trường hợp chọn đáp ứng xung phản đối xứng ta thay ma trận [A] bằng ma trận [B]), ta phải tính ma trận nghịch đảo. Việc làm này rõ ràng là tốn nhiều thời gian và công sức. Vì vậy, ta muốn thiết lập một công thức sao cho có thể tính trực tiếp h(n)).
Trước tiên, ta xác định đáp ứng tần số mong muốn ở một tập tần số rời rạc cách đều nhau {wk}:
k = 2
M
(k + ) với = 0 hoặc = -
1(1.7 8)
2
Và k = 0, 1, 2
M 1 khi M lẻ, k = 0, 1, 2,... M khi M chẵn.
2 2
Sau đó tìm đáp ứng xung h(n) của bộ lọc FIR từ các mẫu trong miền tần số đã chọn. Theo định nghĩa, đáp ứng tần số của bộ lọc FIR có chiều dài M là:

Giá trị của đáp ứng tần số tại các tần số {r}là:

Do H(k+) có tính đối xứng, nên các tần số chỉ định có thể giảm xuống còn
M 1
2
nếu M lẻ,
M nếu M chẵn. Tuy nhiên, ở đây ta muốn khảo sát đặc tính tần số ở M điểm
2
như đã chỉ định ở pt(1.80).
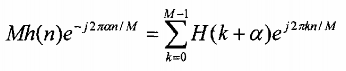
Để xác định được h(n) từ H(k+), ta nhân hai vế của pt(1.80) với
e j2π2 m , trong đó m
M
= 0, 1,...,M-1, rồi lấy tổng trên k = 0, 1,..., M- 1. Vế phải của pt(1.77) sẽ rút gọn về Mh(n)
ej2π2 m
M
và ta thu được:


Ta thấy trong trường hợp = 0 thì H(k) = DFT[h(n)] và h(n) = IDFT[H(k)].
Đề tìm công thức tính h(n), ta sẽ dựa vào tính chất đối xứng của hơn và giá trị của a.
Ta chia thành các trường hợp cụ thể như sau:
- = 0, hơn đối xứng.
- = 1/2, hơn đối xứng.
- = 0, h(n) phản đối xứng.
- = 1/2, h(n) phản đối xứng.
Cũng cần chú ý rằng, trong các điều kiện đối xứng và phản đối xứng đã xét, h(n) luôn luôn có giá trị thực.
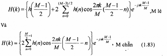
Xét trường họp = 0, hơn đối xứng: h(n) = h (M-1-n)
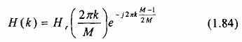
Vì h(n) thực, nên từ pt(1.77) ta dễ dàng suy ra được H(k) = H*(M-k), và vì hơn đối xứng nên từ pt(1.77) ta thu được: (1.82)

Ta thấy các số hạng trong dấu ngoặc { } chính là các mẫu của Hr() tại các tần số
k =2k/M. Vì vậy biểu thức của Hoá có dạng:

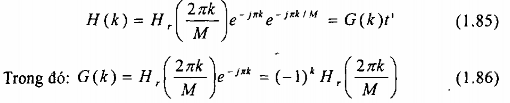
Để thuận tiện, ta viết lại:

Vì Hr(2k/M) có giá trị thực, nên G(k) cũng là dãy thực. Hơn nữa, từ điều kiện H(k)
= H*(M-k) dẫn đến kết quả là:
G(k) = - G(M-k) (1.87)
Khi M chẳn, thì pt(1.84) đòi hỏi rằng: G(M/2) = 0, mặt khác, mẫu của đáp ứng tần số tại = phải là 0.
Từ tính chất đối xứng của các mẫu tần số có giá trị thực G(k) trong pt(1.84), ta có thể thành lập công thức tính đáp ứng xung h(n) của bộ lọc FIR.
Ta bắt đầu từpt(1.81) với = 0







