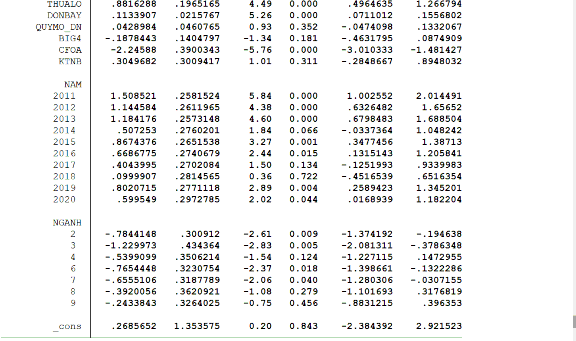
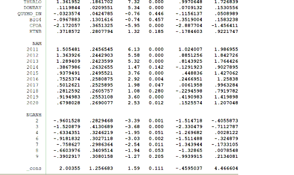
PHỤ LỤC 5: KẾT QUẢ HỒI QUY MÔ HÌNH ĐO LƯỜNG CHẤT LƯỢNG THÔNG TIN KẾ TOÁN THEO SAI SÓT TRÊN BÁO CÁO TÀI CHÍNH



Có thể bạn quan tâm!
-
Ewa, E.u. And Udoayang, J.o., 2012. The Impact Of Internal Control Design On Banks‟ Ability To Investigate Staff Fraud, And Life Style And Fraud Detection In Nigeria. International Journal Of -
Hệ Thống Phân Loại Ngành Theo Chuẩn Icb -
Nghiên cứu tác động của quản trị công ty tới chất lượng thông tin kế toán của các công ty niêm yết trên thị trường chứng khoán Việt Nam - 24
Xem toàn bộ 206 trang tài liệu này.
















