| |
(g) | (h) |
Có thể bạn quan tâm!
-
Ảnh Hưởng Của Loại Axit Và Thời Gian Đến Hàm Lượng Tro Của Tinh Bột Sắn Biến Tính -
Giản Đồ Phân Tích Nhiệt Của Tb Sắn Tự Nhiên (1) Và Tb Biến Tính Với Tỷ Lệ Axit/tinh Bột Lần Lượt Là: 0,04 ( ); 0,06 (3); 0,08 (4) Và 0,10 (5). -
Sự Phụ Thuộc Của Trọng Lượng Phân Tử Trung Bình Vào Thời Gian Phản Ứng Ở Các Nhiệt Độ Khác Nhau -
Ảnh Hưởng Của Thời Gian Polyme Hoá Lên Tc, Gy, Ge Khi Ghép Acrylic Lên Tinh Bột -
Ảnh Hưởng Của Tỷ Lệ Pha Lỏng/tinh Bột Tới Quá Trình Trùng Hợp Ghép -
Ảnh Hưởng Của Hàm Lượng Copolyme Đến Quá Trình Keo Tụ.
Xem toàn bộ 190 trang tài liệu này.
Hình 3. . Ảnh SEM của tinh bột sắn (a,b) và tinh bột oxy hoá với hàm lượng clo hoạt động 1% (c,d), % (e,f) và 4% (g,h)
3.3.5.2. Nhiễu xạ tia X
Giản đồ nhiễu xạ tia X c a tinh bột sắn và tinh bột oxy hoá được trình bày trên hình .2

Hình 3. 3. Giản đồ nhiễu xạ tia X của tinh bột sắn (1) và tinh bột oxy hoá với tỷ lệ clo hoạt động so với tinh bột là 1% ( ), % (3) và 4% (4)
Kết quả trên hình .2 cho thấy các pic kết tinh hầu như không thay đổi sau quá trình oxy hoá. Điều này chứng tỏ trong điều kiện đã khảo sát, phản ứng oxy hoá diễn ra ch yếu ở vùng vô định hình với sự tham gia c a amylozơ còn
amylopectin chưa phản ứng ở điều kiện này.
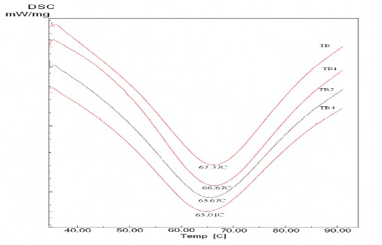
3.3.5.3. Phân tích nhiệt vi sai quét DSC
Giản đồ DSC c a tinh bột thường và tinh bột oxy hoá được biểu diễn trên hình .24. Các dữ liệu được trình bày trong bảng 3.21.
Từ kết quả hình .24 và bảng .21 có thể nhận thấy giản đồ nhiệt c a tinh bột tự nhiên sâu và nhọn nhất. Khi bị oxy hoá bằng natri hypoclorit với hàm lượng 1, 2 và 4%, các khoảng chuyển nhiệt bị mở rộng ra theo hàm lượng chất oxy hoá. Đồng thời nhiệt độ đỉnh (Tp) cũng giảm dần khi tăng hàm lượng chất oxy hoá. Kết quả này có thể được giải thích là do quá trình oxy hoá làm giảm chiều dài mạch tinh bột dẫn tới làm giảm nhiệt độ hồ hoá c a tinh bột. Tuy nhiên, quá trình oxy hoá cũng làm tăng tính không đồng nhất về độ dài các phân tử tinh bột, kết quả này làm khoảng chuyển nhiệt hồ hoá (Te - T0) tăng lên.

Hình 3. 4. Giản đồ DSC của tinh bột và tinh bột oxy hoá
Bảng 3. 1. Nhiệt độ hồ hoá (T0, Tp và Te) của tinh bột tự nhiên và biến tính
T0, C | Tp, C | Te, C | Te - T0, C | |
0 | 57,92 | 67,37 | 76,21 | 18,29 |
1 | 57,84 | 66,67 | 84,88 | 27,04 |
2 | 57,52 | 65,67 | 87,28 | 29,76 |
4 | 53,35 | 65,01 | 88,53 | 35,18 |
3.3.5.4. Phân tích nhiệt trọng lượng TGA
Giản đồ TGA c a tinh bột thường và tinh bột oxy hoá cho thấy có vùng khác nhau:
- Vùng đặc trưng cho quá trình bay hơi nước và các vật liệu dễ bay hơi khác ở dưới 150C.
- Vùng phân huỷ chính.
- Vùng phản ứng mạch.
Giản đồ phân tích nhiệt được chỉ ra trên hình .25.
TB TB1


TB2 TB4
Hình 3. 5. Giản đồ phân tích nhiệt của tinh bột sắn (TB) và tinh bột oxy hoá với tỷ lệ clo hoạt động so với tinh bột là 1% (TB1), % (TB ) và 4% (TB4)
Bảng 3.22 thống kê các mốc nhiệt độ c a quá trình phân huỷ nhiệt (vùng phân huỷ chính), trong đó T1, T2 và T3 tương ứng là nhiệt độ bắt đầu phân huỷ, nhiệt độ phân huỷ cực đại và nhiệt độ kết thúc phân huỷ.
Bảng 3. . Phân tích nhiệt trọng lượng của tinh bột và tinh bột oxy hoá
Nhiệt độ phân huỷ nhiệt (C) | Tổn hao trọng lượng (%) | |||||
T1 | T2 | T3 | 250C | 350C | 450C | |
TB0 | 257 | 307 | 350 | 12,6 | 69,8 | 76,0 |
TB1 | 218 | 305 | 350 | 14,2 | 63,8 | 71,9 |
TB2 | 195 | 303 | 350 | 14,0 | 62,2 | 71,0 |
TB4 | 190 | 294 | 350 | 19,0 | 55,8 | 58,6 |
Kết quả cho thấy tinh bột thường có nhiệt độ bắt đầu phân huỷ và nhiệt độ phân huỷ cực đại lớn hơn so với tinh bột oxy hoá ở các hàm lượng clo hoạt động khác nhau. Tổn hao trọng lượng c a tinh bột oxy hoá với hàm lượng clo hoạt động 4% ở 250C lớn hơn so với tinh bột oxy hoá với hàm lượng clo hoạt động 2 và 1% và tinh bột thường. Các kết quả này cũng phù hợp với kết quả đã công bố c a một số tác giả [151].
3.3.5.4. Phân bố kích thước hạt
Giản đồ phân bố kích thước hạt c a mẫu tinh bột sắn và tinh bột oxy hoá với hàm lượng clo hoạt động khác nhau được biểu diễn trên hình .26.
| |
TB | TB1 |
|
|
TB2 | TB4 |
Hình 3. 6. Phân bố kích thước hạt của tinh bột sắn (TB) và tinh bột oxy hoá với tỷ lệ clo hoạt động so với tinh bột là 1% (TB1), % (TB ) và 4% (TB4)
Hình .26 cho thấy sự phân bố kích thước hạt c a các mẫu tinh bột tự nhiên và oxy hoá là khá giống nhau với đường kính hạt trung bình lần lượt là 1 ,17 ± 4,1; 1 ,11 ± , ; 1 ,02 ± , và 12,7 ± ,8 μm. Đường kính hạt trung bình giảm dần, tuy không nhiều, khi kéo dài thời gian oxy hoá. Kết quả này có thể được giải thích là do trong điều kiện thí nghiệm quá trình oxy hoá ch yếu diễn ra ở lớp vỏ ngoài cùng c a hạt tinh bột, quá trình oxy hoá sẽ làm cho lớp vỏ này bị bào mòn, làm giảm nhẹ kích thước hạt tinh bột.
3.3.6. Hồ sợi
Tinh bột oxi hóa có trọng lượng phân tử khoảng 1,7.10-4 được thử nghiệm
cho quá trình hồ sợi với những tính chất được nghiên cứu được thể hiện qua bảng 3.23.
Bảng 3. 3. Ảnh hưởng của các vật liệu hồ hóa lên các tính chất của sợi
Hằng số tăng kích thước, % | Sức bền sợi, kg | Độ dãn dài khi đứt, % | Khả năng chống mài mòn, chu kì | |
- | 360 | 3.8 | 42.0 | |
Tinh bột chưa biến tính (Mtb = 86x10-4) | 4.1 | 380 | 3.6 | 43.4 |
Tinh bột bị oxi hóa, Mtb = 2.10x10-4 Mtb = 1.70x10-4 Mtb = 1.59x10-4 Mtb = 1.36x10-4 | 5.0 6.0 6.6 7.1 | 429 446 418 410 | 4.5 4.8 4.3 4.1 | 43 48 46 43 |
Bảng 3.23 cho thấy các tính chất c a các sợi cotton được tăng kích thước với tinh bột bị oxi hóa. Các tính chất tương ứng cho các sợi chưa được xử lý và tinh bột chưa biến tính tăng kích thước sợi được đưa vào trong cùng một bảng để so sánh. Cuối cùng cho biết rằng sự cải tiến trong sức bền sợi và khả năng chống mài mòn được mang lại bằng việc tăng kích thước sợi với tinh bột bị oxi hóa là cao hơn so với tinh bột chưa biến tính.
Việc tăng kích thước với tinh bột chưa biến tính cũng dẫn đến việc tăng độ dãn dài khi đứt, một khuyết điểm mà được khắc phục bằng cách sử dụng tinh bột bị oxi hóa. Tuy nhiên, sự cải tiến trong sức bền sợi, khả năng chống mài mòn và độ dãn dài khi đứt cũng như phần trăm tăng (hằng số tăng kích thước) phụ thuộc vào trọng lượng phân tử trung bình c a tinh bột bị oxi hóa. Các tính chất được mong muốn c a các sợi cotton đã thu được bằng cách sử dụng tinh bột bị
oxi hóa với Mtb=1.7 x 10-4 g/mol cho kết quả tốt.
Tó tắt kết quả mục 3.3
- Điều kiện tối ưu cho quá trình nhiệt độ ở 35C, thời gian 160 phút, nồng độ tinh bột 700g/l, pH = 7, tỷ lệ mol hypoclorit/tinh bột = 0,05:1.
- Quá trình oxy hoá làm giảm nhiệt độ hồ hoá và độ bền nhiệt c a tinh bột. Tinh bột oxy hoá vẫn duy trì được cấu trúc dạng hạt với kích thước giảm không nhiều mặc dù hình thái học bề mặt đã bị biến dạng và bào mòn.
- Tinh bột oxy hóa đã được thử nghiệm cho hồ sợi đạt kết quả tốt.
- Các kết quả nghiên cứu là cơ sở cho việc xây dựng công nghệ sản xuất tinh bột oxi hóa, làm sản phẩm trung gian cho nhiều sản phẩm thí dụ như sản xuất polyme siêu hấp thụ nước.
3.4. Biến tính bằng axit acrylic và acrylamit
Quá trình biến tính tinh bột bằng phương pháp trùng hợp ghép monome lên tinh bột sắn đã được đặc biệt quan tâm, nghiên cứu trong những năm gần đây. Trong nghiên cứu này chúng tôi đã khảo sát các yếu tố ảnh hưởng c a quá trình ghép monome acrylic và acrylamit lên tinh bột sắn.
3.4.1. Biến tính bằng axit acrylic
Để nghiên cứu quá trình trùng hợp ghép, chúng tôi đã khảo sát ảnh hưởng c a các yếu tố khác nhau như thời gian, nhiệt độ, nồng độ chất khơi mào, nồng độ monome, nồng độ tinh bột tới các thông số ghép là hiệu suất ghép và phần trăm chuyển hoá tổng số.
3.4.1.1. Ảnh hư ng của th i gian
Ảnh hưởng c a thời gian lên sự chuyển hoá tổng số (TC), phần trăm ghép (GY), hiệu quả ghép (GE) được thể hiện trên bảng 3.24.












