b. Gầu ngoạm một dây
Gầu ngoạm một dây được treo trên một cáp duy nhất 1 có vòng treo móc với móc treo của máy nâng. Gầu được thả xuống đống vật liệu ở trạng thái mở (Trưòng hợp II hình 1.16), lúc đó đầu di động 8 tỳ lên đầu đỡ trên 2. Dưới tác dụng của trọng lượng gầu, lưỡi gầu 4 cắm sâu vào đống vật liệu. Cáp 1 tiếp tục đi xuống và dưới tác dụng của trọng lượng đầu di động 8 mà móc 9 liên kết với đầu đỡ dưới 6 (Trưòng hợp II hình 1.16). Khi kéo cáp 1 lên, má gầu đóng lại thực hiện quá trình bốc vật liệu. Gầu có vật liệu được đóng kín và tiếp tục được nâng lên đến vị trí cần dỡ vật liệu.

Hình 1.16: Gầu ngoạm một dây
Khi cần dỡ vật liệu, phải cho cần lẫy 10 gạt vào thanh chặn 7 đặt cố định ở độ cao cần dỡ vật liệu. Như vậy Gầu ngoạm một dây có thể lắp trên bất cứ loại máy nâng nào miễn là có một tang quấn cáp và không thể dỡ vật liệu ở độ cao bất kỳ được.
1.4. Dây trong cơ cấu nâng
Dây được hiểu là những phần tử có tiết diện mặt cắt ngang rất nhỏ so với chiều dài. Mềm được hiểu là dễ bị uốn theo tất cả các hướng chứ không phải là mềm và cứng (Có đơn vị đo là HB) như trong Vật liệu học. Dây mềm được hiểu là phần tử mềm và có độ cứng nhất định.
a. Khái niệm
Trong máy nâng dây mềm được dùng để: Liên kết vật nâng với cơ cấu nâng hạ; Liên kết vật này với vật kia và dùng để chằng buộc.
b. Phân loại
- Cáp tổng hợp: Nguồn nguyên liệu vô tận, độ bền kéo cao, ít chịu tác dụng của môi trường. Co dãn tốt, không cần phải chống ẩm, nhưng giá thành cao và mau già theo thời gian.
- Cáp thép: Độ bền kéo lớn, chịu ma sát, trọng lượng riêng tương đối nhỏ, dễ bị ăn mòn...
- Cáp thực vật: Mềm, nhẹ, dai, độ bền kéo nhỏ, nhưng chịu cọ xát kém, hút ẩm cao, nở to khi ngâm nước, lâu khô.
- Xích hàn: Trọng lượng riêng lớn nhạy cảm với các va chạm
- Xích bản lề: Thường dùng trong truyền động
Trong máy nâng thường sử dụng cáp thép và xích hàn làm phần tử kéo và buộc
vật

Sơ đồ phân loại dây
1.4.1. Cáp thép bện
a. Cấu tạo
Cáp thép được cấu tạo từ những sợi dây thép con có độ bền kéo lên đến 1800N/mm2 và có đường kính từ (0,2 ÷ 1) mm. Để chế tạo cáp thép người ta bện các sợi dây thép con lại thành “tao”, và từ các “tao” bện lại thành cáp. Ngoài ra trong cáp thép còn bố trí một lòi làm bằng xơ sợi tổng hợp hoặc thực vật có tẩm dầu bôi trơn để làm mềm cáp

thép:
Hình 1.17: Cấu tạo cáp thép
1. Sợi thép con ; 2, Tao ; 3. Lòi cáp ; Cáp Thép
Số lượng sợi thép con và số lượng tao cũng ảnh hưởng đến đặc điểm của cáp
• Nếu cáp có nhiều sợi thép con thì:
- Cáp sẽ mềm (nhưng độ bền lâu tăng không đáng kể vì các sợi mặt ngoài có
ứng suất tiếp lớn).
- Chống mòn kém, dễ bị phá huỷ khi va chạm.
- Chi phí thời gian chế tạo lớn, giá thành cao.
• Nếu cáp có nhiều “tao” thì:
- Bề mặt cáp bằng phẳng.
- Khả năng chịu nén kém.
b. Phân loại
• Theo phương pháp chế tạo: Có cáp tiếp xúc điểm, đường và cáp tiếp xúc hỗn
hợp

Hình 1.18: Hình vẽ minh hoạ Cáp tiếp xúc điểm và tiếp xúc đường. a, Cáp tiếp xúc điểm ; b, Cáp tiếp xúc đường

Hình 1.19: Các loại cáp tiếp xúc đường.
a. Có đường kính các sợi giống nhau ; b. Đường kính sợi giống nhau từng lớp
c. Đường kính sợi khác nhau ở lớp ngoài ; e. Đường kính sợi lớp ngoài khác lớp trong
d. Có lớp sợi thép con làm nền giứa các lớp ; f. Chỉ có sợi lớp ngoài cùng khác nhau
• Theo dạng xoắn: Có cáp thường và cáp không tở
Cáp thường là cáp mà các sợi và các cháu không có biến dạng. Cáp không tở là cáp có biến dạng của sợi và cháu, cáp này có đặt điểm sau:
- Độ bền mòn lớn hơn cáp thường.
- Lực căng được phân bố đều đặn.
- Có khả năng chống uốn tốt hơn, cứng
- Giảm được sự mài mòn tang và ròng rọc.
• Theo hướng xoắn: Có cáp S và cáp Z
- Cáp xoắn phải còn gọi là cáp Z
- Cáp xoắn trái: Còn gọi là cáp S

Hình 1.20: Cáp Z và cáp S.
Chú ý: Độ bền và tuổi thọ của cáp chịu ảnh hưởng của mối quan hệ giữa hướng xoắn cáp với chiều quay tang cuốn cáp.

Hình 1.21: Hướng xoắn cáp và chiều quay tang
• Theo cách bện: Có cáp bện ngược chiều và cáp bện cùng chiều.
- Cáp bện ngược chiều là loại cáp mà hướng xoắn của sợi trong tao và của tao trong cáp là trái chiều nhau.
- Cáp bện cùng chiều là loại cáp mà hướng xoắn của sợi trong tao và của tao trong cáp là cùng chiều nhau.
Đặc điểm của cáp bện ngược chiều và cáp bện cùng chiều:
+ Cáp bện ngược chiều:
- Các sợi thép con luôn luôn bị căng, độ mòn tăng và độ bền lâu giảm.
- Khi không mang tải không bị mở đường xoắn.
+ Cáp bện cùng chiều:
- Bề mặt bằng phẳng và diện tích tiết diện đầy hơn.
- Mềm dễ uốn và bền hơn.
- Bị mài mòn ít hơn do chỗ bề mặt tiếp xúc tăng.
- Dễ bị mở đường xoắn khi không mang tải.
c. Chế độ, điều kiện làm việc và phương pháp tính toán cáp
- Điều kiện làm việc: Chịu ăn mòn, ma sát và mài mòn.
- Chế độ làm việc: bị Kéo - Uốn - Nén - Xoắn dưới tác dụng của lực căng và tốc độ quay.
Độ lớn các ứng suất trên lại phụ thuộc vào nhiều yếu tố:
- Độ lớn tải trọng tác dụng,
- Kết cấu và đường kính cáp,
- Độ lớn ma sát giữa các sợi và các cháu,
- Kích thước và kết cấu của tang hay ròng rọc.
- Mối quan hệ giữa hướng xoắn của cáp và chiều quay của tang.
Trạng thái ứng suất trong cáp là phức tạp. Trong thực tế không thể xác định được mối quan hệ quá phức tạp nói trên, do đó chỉ có thể tính toán cáp một cách gần đúng theo 3 phương pháp tính sau đây:
• Phương pháp tính toán theo độ bền mỏi:
Dưới tác dụng đồng thời các ứng lực nói trên cùng với việc uốn cong và duỗi thẳng liên tục trong quá trình làm việc sẽ làm cho cáp bị mỏi và cuối cùng bị phá huỷ. Do đó, người ta đưa về việc xác định giới hạn số lần uốn cáp.
Giá trị giới hạn số lần uốn cáp lại phụ thuộc vào trị số của lực căng và tỉ số giữa đường kính tang (hay ròng rọc) và đường kính cáp ( D0 = C.dc ). Theo S.S Torban tỉ số C sẽ nhỏ hơn 10 đối với cáp thực vật và C =15 ÷ 20 đối với cáp thép.
D.C. Dutscop đã tiến hành thí nghiệm và cho thấy với cùng một giá trị tải trọng, nếu C = 6,8 thì cáp chịu được khoảng 10.103 lần uốn sẽ đứt, khi C = 8,6 thì giới hạn số lần uốn là 45.103, khi C = 10,8 thì giới hạn số lần uốn là 100.103, khi C = 12,9 thì giới
3
hạn số lần uốn là 180.10 và khi C = 20,4 thì sau 600.103 lần uốn cáp sẽ bị phá huỷ.
Như vậy nếu tăng C từ 6,8 lên 20,4, nghĩa là tăng 3 lần thì sẽ tăng giới hạn số lần uốn lên 60 lần với cùng một giá trị tải trọng.
Tuy vậy số lần uốn giới hạn khó có thể tính toán chính xác do còn ảnh hưởng của nhiều yếu tố khó xác định. Vì vậy khi chọn cáp theo phương pháp này chủ yếu dựa vào các biểu đồ phụ thuộc giữa lực căng và giới hạn số lần uốn Ugh bằng thực nghiệm.
• Phương pháp tính toán theo độ bền kéo và uốn:
Trên thực tế không thể cùng lúc tính được tất cả các ứng suất kéo, uốn, nén và xoắn, cho nên chỉ có thể tính cáp theo uốn và kéo, còn các ứng suất xoắn và nén được bổ sung bằng một hệ số dự trữ (từ thực nghiệm).
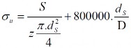
Khi cáp chịu lực căng S uốn quanh ròng rọc có đường kính D, cáp thép có z sợi dây thép con mỗi sợi có đường kính ds . Có thể tham khảo công thức sau để tính chọn cáp thép:

• Phương pháp tính toán theo độ bền đứt:
Hiện nay máy nâng nói chung các cơ cấu và chi tiết nói riêng của máy nâng đã được tiêu chuẩn hóa mạnh. nhờ đó việc tính toán cáp thép cũng sẽ đơn giản rất nhiều.
Tính toán theo độ bền đứt là phương pháp tính chọn cáp được sử dụng phổ biến nhất. Phương pháp này dựa vào lực căng lớn nhất, hệ số bền dự trữ và tuỳ thuộc chế độ làm việc của máy nâng để xác định lực đứt cáp. Từ lực đứt cáp ta tiến hành tra bảng cáp theo tiêu chuẩn (Do nhà chế tạo cáp thép cung cấp) để chọn cáp.
Bước 1: Tính Smax = Sdm kd (Hệ số kd được chọn tùy thuộc vào chế độ làm việc của máy nâng)
Bước 2: Tính Sd = Smax n ( Hệ số an toàn n = 3 ÷ 10)
Bước 3: Tra bảng chọn cáp (Xem bảng 6).
Bảng 6. Cáp thép Liên Xô ΛK - 06 x 19 ( Γ0CT 3077 – 55 )

d. Các biện pháp cải thiện độ bền và tuổi thọ của cáp thép
- Sử dụng đúng tải trọng.
- Phù hợp giữa chiều quay và hướng xoắn cáp, giữa đường kính cáp với đường kính trống tang hoặc ròng rọc.
- Cách ly môi trường bằng cách phủ lên trên bề mặt lớp dầu mỡ.
- Phủ lên bề mặt sợi thép con lớp vật liệu chống ăn mòn.
- Thường xuyên tra dầu mỡ vào lòi cáp.
e. Nối đầu cáp với các tiết máy khác
Cặp đầu cáp lên trục cần có vòng lót cáp bảo vệ cho cáp khỏi bị chà xát trực tiếp vào trục và tránh ứng suất dập lớn. Vòng lót có tiết diện hình máng (hình 1.22)
Để kẹp chặt đầu cáp thường dùng nhất là cặp bu long (hình 1.22). Có thể dùng cách bện (hình 1.23): tháo tung đầu cáp, luồn các sợi vào thân cáp, rồi dùng sợi thép quấn ngoài trên đoạn dài l. Cách bện này tốn công và không được chắc chắn nên ít dùng.
Dùng ống côn để cặp đầu cáp cũng rất đảm bảo (hình 1.24) đầu cáp xâu qua lỗ nhỏ ống côn, cắt bổ lòi giữa, bẻ gập các sợi, rút lại rồi đổ chì vào ống.
Khóa chêm (hình 1.25) dùng rất phổ biến và tiện lợi để cặp đầu cáp, có thể nối và tháo rất nhanh bằng tay mà không cần dụng cụ chuyên dùng.
Hình 1.23 | |
Hình 1.24 |
Hình 1.25 |
Có thể bạn quan tâm!
-
Máy nâng chuyển - 1 -
Máy nâng chuyển - 2 -
Nguyên Lý Làm Việc Của Gầu Ngoạm Hai Dây -
Ròng Rọc Dùng Cho Cáp Thép H = (2 ÷ 2,5)D C ; R = (0,53 ÷ 0,6)D C -
Máy nâng chuyển - 6 -
Chốt Trong Cơ Cấu Bánh Cóc – Con Cóc
Xem toàn bộ 159 trang tài liệu này.

Các thiết bị để nối và cặp đầu cáp nói trên đều được quy chuẩn hóa.
1.4.2. Xích hàn
a. Đặc điểm cấu tạo
Xích hàn gồm các mắt xích hình ô van được chế tạo từ thép tròn uốn cong rồi hàn lại bằng phương pháp hàn rèn hoặc hàn điện. Vật liệu chế tạo thường là loại thép ít các bon giới hạn thấp cho nên giới hạn bền kéo thấp và khả năng tải của xích thấp.
b. Các kích thước cơ bản
- Đường kính xích dx
- Bước xích t
- Chiều rộng mắt xích B
- Chiều dài mắt xích L: L = t + 2d

Hình 1.26: Cấu tạo xích hàn
c. Phân loại xích hàn
Dựa vào cấu tạo:
- Xích thường.
- Xích có thanh ngáng.
Dựa vào bước xích:
- Xích mắt ngắn: có t < 3dx
- Xích mắt dài: có t > 3dx
Dựa vào độ chính xác chế tạo:
- Xích chính xác: t = ± 0,03dx. và b = ±0,05dx.
- Xích không chính xác: Sai số của t và B cỡ ± 0,1dx.

Hình 1.27: Xích hàn có thanh ngáng.
d. Đặc điểm, phạm vi ứng dụng
- Dễ uốn theo các hướng (mềm hơn cáp thép)
- Cấu tạo và chế tạo đơn giản
- Trọng lượng riêng lớn và rất nhạy cảm với các va chạm (ồn).
- Dễ bị đứt đột ngột.
- Mắt xích thường bị mòn nhiều ở nơi bị cọ xát.
- Chỉ cho phép làm việc với tốc độ chậm.
- Giới hạn bền kéo thấp và khả năng tải thấp.
Trong máy nâng xích hàn sử dụng không rộng rãi bằng cáp thép vì nặng và độ tin cậy kém.
Thông thường xích mắt ngắn là xích chính xác dùng trong truyền động . Xích chính xác được dùng với các đĩa xích có số răng Zmin = 5 với vận tốc truyền động không quá 0,5 m/s. Xích không chính xác chỉ dùng với các đĩa xích và tang trơn với vận tốc truyền động không quá 1 ÷ 5m/s
Xích hàn được dùng hợp lý trong các cơ cấu nâng tải trọng nhỏ như palăng, dùng truyền động trong môi trường bụi không dùng được xích bản lề, hoặc để buộc và treo vật nặng. Xích hàn có thanh ngáng được dùng làm lĩn neo (xích neo).
e. Phương pháp tính chọn
Xích chịu kéo là chủ yếu nhưng do cấu tạo mắt xích cho nên ngoài chịu kéo xích còn bị uốn cục bộ, ứng suất này khó xác định nên bỏ qua kể cả độ bền mối hàn. Tuy nhiên khi xích đi qua tang hoặc ròng rọc thì cả mắt xích bị uốn.
Giả sử khi xích đi qua puly các mắt xích kề nhau quay một góc α. Khi đó lực căng S được phân làm hai thành phần: (Xem hình 1.28)








