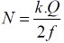
Chiều cao của đai ốc lắp vào đuôi móc H được tính theo ứng suất dập hoặc áp lực riêng cho phép trên ren. H phải lớn hơn 0,8 đường kính trung bình của ren
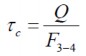
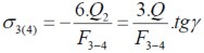
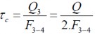
Tại tiết diện 3-4 khi treo vật trên một dây kiểm tra theo cắt:

Nguy hiểm hơn cả đối với tiết diện 3-4 là khi treo vật trên hai nhánh dây
o
nghiêng một góc γ so với đường thẳng đứng, thông thường nhận γ = 45 , trong trường
hợp này trọng lực của vật truyền vào móc hai lực, mỗi lực bằng:

Phân lực Q thành hai thành phần nằm ngang Q và thẳng đứng Q , ta có:
1 2 3
![]()
Tác dụng của lực Q đến tiết diện 3-4 giống như tác dụng của Q ở tiết diện 1-2.
2
Vì vậy ứng suất ở các điểm 3 và 4 khi tính gần đúng không xét đến độ cong móc có thể xác định:
![]()
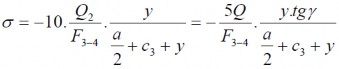
Khi xét đến độ cong móc, ứng suất ở điểm bất kỳ của tiết diện 3-4 có thể xác định theo công thức (1.2)
Khi bán kính độ cong r = a/2 + c , a = h và những giới hạn khác như trên đối
3
với tiết diện móc tiêu chuẩn, ta có:

Ứng suất lớn nhất ở điểm 3 khi y = – (5/12).h được xác định theo công thức:
max1

Phân lực thứ hai Q gây ra ứng suất cắt:
3
![]()
Cuối cùng ứng suất quy đổi ở điểm 3:
![]()
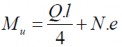
b. Tính toán móc kép
Tính toán móc câu đôi cũng theo các công thức móc câu đơn. Các tiết diện nguy hiểm cần kiểm tra là : 1-2 ; 3-4 ; 5-6
Hình 1.8: Móc kép khi chịu tải không đều |
Có thể bạn quan tâm!
-
Máy nâng chuyển - 1 -
Máy nâng chuyển - 2 -
Hình Vẽ Minh Hoạ Cáp Tiếp Xúc Điểm Và Tiếp Xúc Đường. A, Cáp Tiếp Xúc Điểm ; B, Cáp Tiếp Xúc Đường -
Ròng Rọc Dùng Cho Cáp Thép H = (2 ÷ 2,5)D C ; R = (0,53 ÷ 0,6)D C -
Máy nâng chuyển - 6
Xem toàn bộ 159 trang tài liệu này.
Trị số tính toán trên mỗi ngạnh là:

Xét đến khả năng treo lệch dây tải trọng không đều ta có thể nhận lực tính toán
là:
![]()
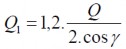
Để tính tiết diện 1-2, ta phân lực Q1 thành hai phân lực Q2 và Q3: Q2 = Q1sinγ. Lực Q2 gây ra uốn và kéo
Q3 = Q1cosγ. Lực Q3 gây ra cắt
Còn để tính tiết diện 3-4, ta phân lực Q1 thành hai phân lực Q4 và Q5: Q4 = Q1sin(γ +α). Lực Q4 gây ra uốn và kéo
Q5 = Q1cos(γ +α). Lực Q5 gây ra cắt.
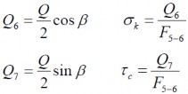
Nguy hiểm nhất là khi chỉ treo vật trên một ngạnh, lực Q2 chia thành hai thành phần Q6 và Q7. Các lực này gây nên ứng suất kéo và cắt cho tiết diện 5-6

Ngoài ra tại tiết diện 5-6 còn chịu ứng suất uốn:

Ứng suất tổng tại tiết diện này là:
![]()
c. Vòng treo
Vòng treo là thiết bị chủ yếu dùng để treo vật nâng có trọng lượng lớn hơn 100 tấn. Vòng treo được chế tạo bằng phương pháp rèn dập từ thép CT3. Vòng treo nhẹ hơn móc có cùng tải trọng. Tuy nhiên sử dụng không tiện lợi bằng móc vì phải luồn dây vào vòng
Có hai loại vòng treo: vòng treo liền và vòng treo chắp. Vòng treo liền là một hệ thống tĩnh không xác định, tải trọng đến 200 tấn. Khi tải trọng lớn hơn nữa (đến 500 tấn) thì dùng vòng treo chắp.

Hình 1.9: Vòng treo liền và vòng treo chắp
Các thanh bên được tính theo kéo với lực kéo:

Thanh ngang chịu nén do lực:
![]()
Và chịu uốn do mômen
![]()
Ở tiết diện giữa thanh ngang:

Chốt giữa các thanh được tính theo cắt:
![]()
Ứng suất lớn nhất ở tiết diện giữa thanh ngang của dầm khi có kể đến độ cong:

1.3.2. Cặp giữ
Thiết bị mắc vật đặc biệt nói chung và kẹp mắc vật nói riêng chuyên dùng để mắc những vật có cùng kích thước và trọng lượng. Ưu điểm chính của việc sử dụng thiết bị mắc vật đặc biệt là việc mắc và dỡ vật nhanh chóng (Giảm thời gian bước dừng). Chính vì vậy khi thiết kế những thiết bị mắc vật đặc biệt cần xét đến hình dạng, kích thước và những tính chất khác của vật.
Phần lớn các kẹp mắc vật làm việc dựa vào nguyên lý ma sát.
a. Kẹp mắc vật đối xứng.
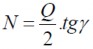
Với kẹp mắc vật kiểu đối xứng vật được giữ là do lực ma sát. Điều kiện giữ vật
là:
2Fms = 2Nf ≥ Q

Hình 1.10: Kẹp đối xứng
Như vậy tối thiểu lực nén cần thiết của chân kẹp (Phản lực) phải là:
![]()
Trong đó f là hệ số ma sát phụ thuộc vào vật liệu của vật, của chân kẹp và trạng thái mặt tiếp xúc của chúng. k là hệ số an toàn giữ vật.
Khả năng làm việc của kẹp được xác định bằng phương trình cân bằng lực của một má kẹp bất kỳ. Trong tính toán sơ bộ bỏ qua trọng lượng bản thân của má kẹp
(Hình 1.10). Khi đó nếu xét má kẹp 1: Tất cả các lực tác dụng lên má kẹp 1 gồm: T, R
1
, R , N và Q/2.
2
Phương trình mômen của tất cả các lực tác dụng lên má kẹp 1 đối với tâm khớp
nối:
![]()
Ta có:
![]()
(1.3) |
Kẹp chỉ có thể làm việc được (Giữ được vật) khi điều kiện trên (1.3) được thích ứng . Như vậy khi cho trước kích thước vật a, và f ≤ fmin (Việc giữ được vật không phụ thuộc vào trọng lượng vật). Phương trình (1.3) là cơ sở để lựa chọn các kích thước cơ bản của kẹp: m, c, α.
Hình 1.12: Sơ đồ lực |
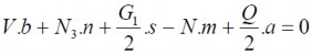
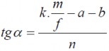
Để đánh giá ảnh hưởng của trọng lượng các cánh tay đòn và thanh kéo đến khả năng kẹp vật, sử dụng nguyên tắc tác dụng độc lập của các lực.
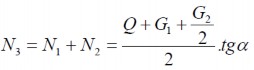
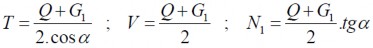
Trường hợp không kể đến G2, lực căng cáp treo đặt tại điểm A bằng Q + G1 . Do thanh kéo chỉ chịu lực kéo nên lực T tác dụng dọc thanh kéo. Phân lực T thành hai thành phần thẳng đứng V và nằm ngang N1 (hình 1.11) ta có:
![]()
Thiết bị kẹp ở hình 1.12 không tính đến tác dụng của trọng lượng vật nâng Q và trọng lượng tay đòn G1 mà chỉ có lực căng cáp G2 và trọng lượng mỗi thanh kéo G2/2.
Như vậy khi phân tích trọng lượng thanh kéo AB là G2/2 theo hai phương đã xác
định sẽ tìm được các phản lực tại A và B là S2 và N2. Ta có:

Theo nguyên tắc tác dụng độc lập, tổng phân lực theo phương ngang tại khớp B của kẹp là:

Xét cân bằng lực một má kẹp bằng cách lấy mômen của tất cả các lực đối với tâm khớp C:

Như vậy:
Thông thường khi tính toán thiết bị kẹp phải xác định góc α để đảm bảo độ tin cậy khi giữ vật của thiết bị

Nếu trong tính toán không kể đến ảnh hưởng của trọng lượng thiết bị kẹp:

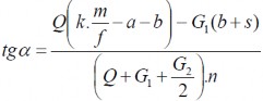
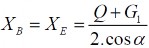
b. Kẹp mắc vật không đối xứng
Kẹp không đối xứng khác với kẹp đối xứng ở chỗ các thanh kéo phía trên
không đối xứng qua trục AC. Trong việc tính toán loại kẹp này không kể trọng lượng các thanh mà chỉ có trọng lượng vật nâng Q và trọng lượng các đòn G .(hình 1.13)
1

Hình 1.13: Kẹp không đối xứng
Để xác định các lực tác dụng lên cánh tay đòn XB và XE tại các điểm B và E, xét thanh AA’E như một dầm tĩnh định chịu lực Q + G1 ở A theo phương thẳng đứng và hai gối khớp ở A’ và E. Phản lực tại E chưa biết cả phương và giá trị XE còn tại A’ phản lực có phương dọc theo thanh kéo A’B vì tại A’ thanh AA’E nối khớp với A’B.
Do tất cả các lực tác dụng lên AA’E phải cắt nhau tại một điểm nên kéo dài lực
Q + G theo phương thẳng đứng cắt A’B tại S và như vậy phản lực tại E phải có
1
phương đi qua S và E.
Bằng cách phân tích lực Q+G1 theo các phương ta có:
![]()
Do các lực tác dụng lên các tay đòn tại B và E là XB và XE có giá trị bằng nhau và đối xứng qua trục AC mà kẹp không đối xứng được tính toán tiếp giống như đối với kẹp đối xứng.
1.3.3. Gầu ngoạm
Gầu ngoạm là thiết bị bốc dỡ vật liệu rời, vụn, nhão có tính tự động cao, tốn ít sức lao động. Theo nguyên lý làm việc, có ba loại gầu ngoạm : gầu ngoạm hai dây, gầu ngoạm một dây và gầu ngoạm dẫn động riêng.

Hình 1.14: Gầu ngoạm
a. Gầu ngoạm hai dây
Gầu ngoạm hai dây được sử dụng rộng rãi hơn cả. Gầu ngoạm hai dây có cấu tạo tương đối đơn giản, dễ sử dụng, năng suất cao. Khi sử dụng phải dùng hai tang điều khiển hai cáp riêng biệt. Tang quấn cáp 1 dùng để nâng hạ gầu và tang quấn cáp 4 dùng để đóng mở miệng gầu. Trong đó cáp nâng 1 nối với đầu đỡ trên 2, cáp đóng mở gầu 4 nối với đầu đỡ dưới 5 qua hệ thống palăng đóng mở gầu (hình 1.15).

Hình 1.15: Nguyên lý làm việc của Gầu ngoạm hai dây
- Ở vị trí I, thả chùng cáp đóng mở miệng gầu 4, miệng gầu mở ra.
- Ở vị trí II, thả chùng cả hai cáp 1 và 4, dưới tác động của trọng lượng gầu, gầu được cắm vào đống vật liệu.
- Ở vị trí III, kéo cáp đóng miệng gầu 4, vật liệu được xúc đầy vào gầu.
- Ở vị trí IV, kéo cả hai cáp 1 và 4, gầu được nâng lên. Muốn dỡ vật liệu thì thả cáp đóng mở miệng gầu 4.
Để giảm lực căng trên cáp đóng mở miệng gầu 4, đồng thời tăng khả năng ngoạm vật liệu, cáp 4 được luồn qua palăng 2-5, trong đó 2 là cụm puly cố định, 5 là cụm puly di động của palăng.
Trong xây dựng và thuỷ lợi hay sử dụng gầu ngoạm hai dây có dung tích gầu (0,4 ÷ 10) m3, xếp dỡ vật liệu rời có trọng lượng riêng (0,5 ÷ 2,5) T/m3.










