M T
D0 Q D0
v 0 2 2
Mv do vật gây ra phải được cân bằng bởi mô men tay quay Mp. Mv = Mp (chưa tính đến lực cản trong cơ cấu).
Q D0 P.R
2
Do đó:
Q P R
D0
2
Trong đó:
P_ Lực của người đặt trên tay quay, là một trị số có hạn, trong điều kiện làm việc trong thời gian ngắn tối đa Pmax = 300N.
R_ Bán kính tay quay, cũng giới hạn bởi chiều dài cánh tay con người.
D0_ Đường kính tang, không thể làm nhỏ quá vì dây cuống trên nó có độ cứng nhất định.
Xem thế, ta thấy trọng lượng Q của vật do hệ thống này nâng được cũng là trị số có hạn, không lớn lắm.
Trên thực tế cần nâng những vật rất nặng, không thể nối trực tiếp tay quay với trục tang vì Mp « Mv, do đó cần đưa vào một bộ phận nữa là bộ truyền trung gian để tăng Mp đến Mv. Tỷ số truyền cần thiết sẽ là (hình 1.3b).
i M v
0 M
thì:
p
Nếu tính cả mất mát trong bộ truyền, ở trục tang, mất mát do độ cứng của dây
M
p
i M v
0 .
Với η _ hiệu suất chung của cơ cấu.
Bộ phận trung gian là phần phức tạp và đắt tiền. Cần tìm cách giảm bớt i0. Để đạt mục đích này ta đưa vào một hệ thống ròng rọc, gọi là Pa lăng .
Nếu đưa vào 1 ròng rọc di động hình 1.3c thì lực căng nhánh dây cuốn lên tang sẽ bằng:
Q
T '0 2
Mô men do vật nâng:
M ' T0
D0 Q D0
2 2 2
Tức là giảm đi khoảng hai lần, nếu cùng Mp thì tỉ số truyền i’0 cũng giảm khoảng hai lần.
Nếu treo vật trên nhán 4 dây (hình 1.3d), lực căng dây
T " Q
4
Do đó M”v và i"0 sẽ giảm đi khoảng 4 lần.
Không thể dùng quá nhiều ròng rọc, vì sẽ làm phức tạp và cồng kềnh cho cơ cấu, sẽ tăng lực cản phụ, dây cũng chóng hỏng hơn. Trong quá trình thiết kế cần kết hợp dùng bộ truyền trung gian và Pa lăng cho hợp lý.
Ngoài ra cơ cấu nâng cần có bộ phận bảo đảm giữ vật ở trạng thái treo, điều chỉnh vận tốc hạ nếu cần, đó là các thiết bị phanh hãm.
Như vậy trong cơ cấu nâng có các bộ phận sau đây:
1. Bộ phận mang tải 5. Bộ truyền trung gian
2. Dây 6. Phần dẫn động
3. Pa lăng 7. Thiết bị phanh hãm.
4. Tang
1.2.2. Những quan hệ tĩnh học và động học
Muốn tính các bộ phận và các tiết máy trong cơ cấu nâng, cần biết trị số các lực mô men tác dụng lên chúng cũng như các thông số động học (vận tốc, số vòng quay).
Hãy xét một cơ cấu nâng (hình 1.4) có Pa lăng với bội suất là a, hiệu suất ηp bộ truyền trung gian có tỷ số truyền là i0 và hiệu suất là η0.
Mv
III
To
II
i1,n1
I
Q MP
Do
n3 i2,n2
Hình 1.4: Sơ đồ cơ cấu nâng
Khi động cơ quay theo chiều tương ứng, vật được nâng lên với vận tốc vn. Lực căng các nhánh dây nếu bỏ qua ma sát:
T ' T ' T ' ... Q
0 1 2 a
Thực tế, do có các lực cản phụ, lực căng trong nhánh dây cuốn lên tang lúc nâng vật sẽ lớn hơn:
T T '
0
Q
a.
p p
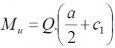
Mô men do vật nâng gây ra trên tang:
Mv T0
D0 Q.D0
2 2a.
p
Mô men trên trục cuối cùng của bộ truyền trung gian (trục III).
M3 Mtg
Mv
Q.D0
2a.
t p t
ηt _ hiệu suất của tang.
Muốn nâng được vật lên, ta phải đặt vào trục III (trục tang) mô men lớn hơn mô men Mv trên tang (vì còn phải thắng lực cản trên tang do độ cứng của dây, do ma sát ổ trục); vì thế ta chia cho ηt . Tương tự như vậy mô men trên trục II:
M M3
2 i
Q.D0
2a.i .
2 2 2
Mô men trên trục I:
p t 2
M M2
1 i
Q.D0
2a.i .i .
Q.D0
2a.i .
Trong đó:
1 1 1 2
p t 2 1 0
i0 = i1.i2 _ tỷ số truyền chung của bộ truyền. η0 = η1.η2 _ hiệu suất chung của bộ truyền. η = η0 η1.η2 _ hiệu suất chung của cơ cấu.
Vậy muốn nâng được vật lên động cơ phải phát ra một mô men Mp bằng mô men trên trục I:
M p M1
Q.D0
2a.i0 .
Vận tốc: giả thiết trong thời gian t phút vật được nâng lên chiều cao h (m), ta sẽ có vận tốc nâng là:
v h
n t
m/ph
Cũng trong thời gian t ấy ta phải cuốn lên tang một đoạn dây dài hơn h gấp a lần (a_ bội suất của Pa lăng ) do đó vận tốc cuốn dây lên tang là:
v h.a v .a
m/ph
0 t n
Số vòng quay của tang:
v0
nt D
vn .a
D
v/ph
0 0
D0 _ đường kính tang, đo bằng m.
Số vòng quay của trục trung gian:
n3 nt
vn .a D0
n n .i
vn .a.i2
D
2 3 2
0
n n .i
vn .a.i2 .i1 vn .a.i0 n
1 2 1 D D dc
0 0
nđc _ số vòng quay của động cơ.
Tỷ số truyền cần thiết của bộ truyền trung gian:
i0
Hoặc là:
Mtg
M p0
0
i ndc nt
Thời gian hạ vật là lúc nó sản ra một công dương, năng lượng sẽ từ điểm treo vật chuyển tới trục dẫn động, công của vật hạ sẽ thắng các lực cản của cơ cấu; mô men trên các trục vẫn có hướng như khi nâng, nhưng trị số nhỏ hơn.
M 'v
Q.D0 .p
2a
M '3
Mtg
Q.D0.pt
2a
2
M Q.D0 .pt2
2a.i2
MQ.D0.pt21Q.D0
1 2a.i .i
2a.i
2 1 0
Công suất động cơ: công suất cần thiết để nâng vật nặng Q(N) lên với vận tốc vn (m/ph) nếu không kể lực cản:
N0
Q.vn
60.1000
(kw)
Nếu kể cả lực cản, động cơ cần có công suất:
N N0
1.3. Bộ phận mang tải
Q.vn
60.1000.
Q.vn
60000.
(kw)
Bộ phận mang tải dùng để treo vật vận chuyển trên dây của cơ cấu nâng. Tùy theo vật vận chuyển mà dung các loại bộ phận mang khác nhau: móc, vòng treo, kìm, cặp chuyên dung, gầu, thùng, nam châm điện,…

Sơ đồ quan hệ giữa dây và thiết bị treo
Yêu cầu chung:
- Phải mắc được vật nâng trong bất kỳ điều kiện nào, an toàn khi làm việc
- Có khả năng sử dụng triệt để tải trọng của máy nâng. Muốn vậy thiết bị mắc vật phải có trọng lượng bản thân nhỏ, treo được số lượng vật tương ứng.
- Có khả năng cơ khí hoá quá trình mắc và đỡ vật để làm giảm thời gian và sức lao động cho khâu công việc đó.
- Có cấu tạo đơn giản, chi phí kim loại ít, giá thành không cao.
Phân loại:
Nhóm 1: Thiết bị mắc vật thông dụng.
Là những thiết bị dùng để treo các vật nâng khác nhau, có khả năng mắc được những vật nâng hay gặp nhất. Bao gồm: móc câu, vòng treo, dây móc, lưới treo hàng.
Nhóm 2: Thiết bị mắc vật đặc biệt.
Là những thiết bị chuyên mắc các vật nâng có những đặc thù riêng như cùng hình dáng, cùng kích thước, cùng tính chất và có các đặc thù khác. Bao gồm : túi lưới, gầu ngoạm, thùng, các loại kìm mắc vật, gầu xúc, bộ điện từ,…
1.3.1. Móc
Móc cẩu là thiết bị mắc vật thông dụng nhất. Móc cẩu được phân ra móc đơn khi tải trọng Q dưới 20 tấn và móc kép dùng để treo vật dài chịu lực đối xứng với các tải trọng từ 5 ÷ 75 tấn. Với tải trọng nhỏ còn có loại móc đuôi ren (đuôi dài, đuôi ngắn), loại móc đuôi vòng.
Móc cẩu thường được rèn hoặc dập bằng thép ít cacbon như CT4, CT5, C20. Khi tải trọng lớn thường dùng móc tấm (Cắt thép tấm thành hình móc rồi ghép lại bằng bulon hoặc đinh tán). Loại móc này dễ chế tạo, nhưng nặng do tiết diện móc hình chữ nhật và phải bù bền ở lỗ đinh.
Các móc treo đã tiêu chuẩn hoá, việc tính chọn móc sẽ đơn giản, căn cứ vào tải trọng mà chọn móc có kích thước phù hợp.

Hình 1.5: Các loại móc cẩu
a. Tính toán móc đơn.
Móc nâng đã được tiêu chuẩn hoá, việc tính chọn móc căn cứ vào tải trọng, sau đó tiến hành kiểm tra đuôi móc theo điều kiện chịu kéo và ứng suất uốn tại các tiết diện nguy hiểm.
Khi tính gần đúng, xem móc là một dầm thẳng không xét đến độ cong móc và để bù lại độ cong phải hạ thấp ứng suất cho phép. Sau khi đã xác định được các kích thước chủ yếu sẽ tiến hành tính chính xác lại và xét đến độ cong.
Công việc đầu tiên khi tính móc là xác định hình dạng tiết diện móc cho phù hợp với điều kiện chịu tải trọng thực tế của móc, sau đó tính đến quan hệ của các kích thước tiết diện.
Bước 1: Xác định hình dạng tiết diện móc
Không xét đến độ cong móc:
Tại tiết diện 1-2 (mặt cắt A-A) hình 1.6. Ta có:
![]()

Hình 1.6: Tính toán móc đơn
Và ứng suất lớn nhất sẽ phát sinh ở lớp ngoài cùng:

Bước 2: Tìm quan hệ các cạnh của tiết diện:
Để ứng suất ζ ≈ ζ . thì tiết diện phải không đối xứng. Nếu chọn tiết diện hình thang:
1 2
(1.1) |
Có thể bạn quan tâm!
-
Máy nâng chuyển - 1 -
Nguyên Lý Làm Việc Của Gầu Ngoạm Hai Dây -
Hình Vẽ Minh Hoạ Cáp Tiếp Xúc Điểm Và Tiếp Xúc Đường. A, Cáp Tiếp Xúc Điểm ; B, Cáp Tiếp Xúc Đường -
Ròng Rọc Dùng Cho Cáp Thép H = (2 ÷ 2,5)D C ; R = (0,53 ÷ 0,6)D C
Xem toàn bộ 159 trang tài liệu này.
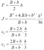
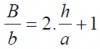
Các giá trị trong quan hệ hình học của hình thang có chiều cao h, đáy lớn B, đáy nhỏ b là:

Thay vào (1.1) ta có:
![]()
Với móc câu tiêu chuẩn thì: h = a
Lúc này, quan hệ tỷ lệ giữa các cạnh hình thang là: B = 3b. Như vậy:

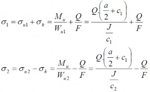
Khi tính chính xác móc có kể đến độ cong móc, ứng suất ở phần cong có thể xác định theo công thức:
![]()
(1.2)
Trong đó:
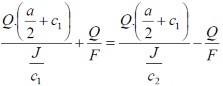
- r là bán kính cong trục trung hòa của móc ở tiết diện đang xét. Đối với các móc tiêu chuẩn r = Ro = a/2 + c
1
- y là khoảng cách từ lớp vật liệu đang xét của tiết diện đến trục trung hòa. Tọa độ y lấy dương cho các lớp đặt ngoài đối với tâm cong của trục trung hòa và trọng tâm tiết diện, lấy âm cho các lớp đặt giữa chúng.
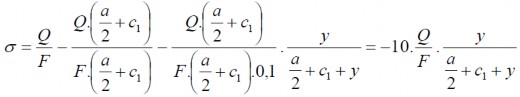
Phương trình gần đúng để tính ứng suất ở tiết diện 1-2 của các móc tiêu chuẩn có xét đến độ cong của chúng như sau:

Những ứng suất lớn nhất ở các điểm ngoài cùng của tiết diện khi :
y = – c = – (5/12).h và y = + c = h – c = (7/12).h sẽ là :
max1 1 max2 2 1

Đến đây có thể nhận xét khi tính chính xác móc có kể đến độ cong móc thì ứng suất ở điểm 1 tăng hơn 40% khi tính không kể đến độ cong móc. Như vậy ngay cả khi tiết diện là hình thang và có quan hệ B = 3b thì ứng suất ở điểm 1 và 2 cũng không bằng nhau.
Kích thước miệng móc a = h có thể tính gần đúng theo Q tính bằng tấn:
![]()
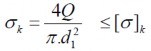
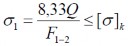
Tóm lại: Kiểm tra móc đơn tại các tiết diện sau: Tại tiết diện 1-2 kiểm tra theo công thức:
![]()
Khi tính móc không kể đến độ cong thì [ζ] = (100 ÷ 110)N/mm2 (Thép C20)
k
Tiết diện đuôi móc kiểm tra theo kéo khi có ren:

Nếu đuôi móc làm vòng thì xét tại tiết diện nhỏ nhất. Xét khả năng xuất hiện
2
thêm ứng suất uốn khi vật bị lắc ta nhận [ζ]
k
= (50 ÷ 60)N/mm
(Thép C20).





