0 khi y b0 hoac y b2
( y b ) / (b b ) khi b y b
M
0 1 0 0 1
(2.14)
( y b ) / (b
b )
khi b
y b
1
0
1 2 1 1 2
khi y b1
khi y b1
H ( y b ) / (b b ) khi b y b
(2.15)
1 2 1 1 2
1
khi y b2
ux
AC
a)
u(y)
TL
b)
Hình 2.3:a) Hàm liên thuộc số kênh cho phép;
b) Hàm liên thuộc tải lưu lượng
Các phương trình (2.8) tới (2.15) được xét trên khoảng số thực và khái niệm
A ux( x) / x ,
u
B ux( y) / y
u
được xem xét với x là giá trị biến đầu vào số kênh cho
phép và y là giá trị đầu vào của biến tải lưu lượng thực sự. Trong đó A là hàm liên thuộc số kênh cho phép và B là hàm liên thuộc tải lưu lượng. Cho ai biểu diễn giá trị trung tâm của các nhãn ngôn ngữ của hàm liên thuộc số kênh cho phép với 0 i 6 ; cho bi biểu diễn giá trị trung tâm của các nhãn ngôn ngữ của hàm liên thuộc tải lưu lượng với 0 i 2 . Giá trị của A có thể là rất lạnh (VC), lạnh (C), trung bình (M), nóng
(H) hoặc rất nóng (VH), đối với các giá trị số kênh cho phép x khác nhau. Và giá trị của B có thể là tải lưu lượng thấp (L), tải lưu lượng trung bình (M) hoặc tải lưu lượng cao (H) đối với các giá trị tải lưu lượng y khác nhau. Thông tin sau khi mờ hóa sẽ được truyền tới máy suy diễn mờ. Hình 2.3: a) thể hiện hàm liên thuộc của các giá trị khác nhau của số kênh cho phép; Hình 2.3: b) là hàm liên thuộc của với giá trị khác nhau của tải lưu lượng tế bào.
2.2.3.2. Cơ sở luật mờ
Cơ sở luật mờ được đặc trưng bởi một tập hợp các luật IF-THEN mờ mà phần điều kiện và phần kết luận đều là biến ngôn ngữ. Tập của các luật mờ điều khiển biểu diễn quan hệ mờ vào/ra đơn giản của hệ thống. Dạng chung của luật điều khiển mờ trong trường hợp MISO là Ri có dạng:
Ri: IF x is Ai AND y is Bi, THEN z=Ci i=1,2,...,n (2.16)
Với x, y và z là các biến ngôn ngữ biểu diễn biến trạng thái quá trình và biến điều khiển tương ứng; Ai, Bi và Ci là các giá trị ngôn ngữ của các biến x, y và z trong các không gian mờ U, V và W tương ứng.
2.2.3.3. Suy diễn mờ
Trong máy suy diễn, tri thức liên quan tới bài toán điều khiển được phát biểu trong thuật ngữ của tập luật suy diễn mờ. Có 2 cách cơ bản mà các luật mờ liên quan có thể được xác định: cách sử dụng kết nối AND và ALSO. Các kết nối AND, ALSO có
thể được giải thích như là phép giao hoặc phép hợp tuỳ thuộc định nghĩa của phép kéo theo mờ. Với phép toán hợp thành max- min thì phép toán AND được sử dụng để kết nối các luật điều khiển mờ với nhau, từ đó thu được kết luận cuối cùng. Giả thiết rằng có một luật Ri với phép kéo mờ Rc, kết luận C' có thể coi như giao của nhiều kết luận riêng rẽ của các biến trạng thái ngôn ngữ đầu vào. Cơ chế suy diễn có thể được mô tả như sau:
u,v
uc' (w) ∪ uA(u) uB' (v)uAi (u) uBi (v) uciw
∪uA' (u) uAi (u) uci(w)∪uB' (v) uBi (v) uci(w)
(2.17)
u v
∪uA' (u) uAi (u) uci(w)uB'R ( B ;C ) (w)
u
Với:
Rc ( Ai , Bi ;Ci ) ( Ai
c i i
AND Bi ) Ci
(2.18)
C ' ( A', B ') Rc ( Ai , Bi ,Ci ) A' Rc ( Ai ;Ci )B ' Rc (Bi ;Ci )
(2.19)
Nếu đầu vào là singleton mờ thì A’=uo, B’=vo thì kết quả C’ được đưa ra sử dụng luật nhỏ nhất Rc hoặc luật phép toán tích Rp và có thể biểu diễn đơn giản là:
n n
Rc:uc' (w) ∪ iuci(w) ∪ uAi (u0)uBi (v0)uci(w)
(2.20)
i1 i1
n n
Rp:uc' (w) ∪ iuci (w) ∪ uAi (u0)uBi (v0)uci(w)
(2.21)
i1 i1
với αi là là hệ số trọng của luật thứ i, là hệ số đo mức độ đóng góp của luật thứ i tới tác động điều khiển. Nếu sử dụng toán tử max- product thì Rp và Rc sẽ giống nhau. Cụ thể với luật mờ dạng (2.16) và sử dụng kết nối ALSO thì cơ chế suy diễn có dạng sau:
x is | A’ | and | y | is | B’ | ||
R1: | IF x | is | A1 | AND | y is B1, THEN z | is C1 | |
ALSO R2: | IF x | is | A2 | AND | y is B2, THEN z | is C2 | |
Có thể bạn quan tâm!
-
Hiệu Suất Các Thuật Toán Gán Kênh -
Thuật Toán Cân Bằng Tải Động Mượn Kênh Chọn Lọc (Lbsb) -
Mượn, Khóa Kênh Động Trên Cơ Sở Bộ Điều Khiển Logic Mờ Và Mạng Nơ Ron -
Sử Dụng Bộ Điều Khiển Anfis Thay Cho Bộ Điều Khiển Nfc -
Điều Khiển Mượn Kênh Động Phân Tán Trên Cơ Sở Mạng Nơ Ron–Mờ-Subsethood -
Về một phương pháp mới điều khiển mượn, khóa kênh tần số mạng di động tế bào - 11
Xem toàn bộ 149 trang tài liệu này.
...................................................................................................................
ALSO Rn: IF x is An AND y is Bn, THEN z is Cn
Conclusion: Z is C’
2.2.3.4. Giải mờ
Mục đích của giải mờ là chuyển kết quả của quá trình suy diễn là các giá trị ngôn ngữ thành giá trị thực đầu ra. Hình 2.4 thể hiện hàm liên thuộc để giải mờ thành số kênh mượn/cho mượn trong khoảng [-d, d]. Các tập mờ đầu ra thành phần gồm
{NL, NM, NS, AZ, PS, PM, PL} với giá trị biến ngôn ngữ được định nghĩa như sau: NL : Mức âm lớn (Negative Large)
NM : Mức âm trung bình (Negative Medium)
NS : Mức âm nhỏ (Negative Small)
AZ : Mức xấp xỉ không (Approximately zero)
PS : Mức dương nhỏ (Positive small)
PM : Mức dương trung bình (Positive Medium)
PL : Mưc dương lớn (Positive Large)
Sau khi thực hiện giải mờ, giá trị giải mờ chính là số kênh tính được. Giá trị giải mờ trong khoảng [0, +d] thì thể hiện hoạt động mượn kênh, còn giá trị giải mờ trong khoảng [-d, 0] thì thể hiện hoạt động cho mượn kênh. FDCBS sử dụng phương pháp giải mờ trong tâm (COA) với công thức giải mờ và kết hợp với công thức IN(c) thì:
n
Wi*Bi
Y o i1IN (c)(2.22)
n
COA
W
i
i1
Trong đó
Y
o COA
biểu diễn số các kênh cho phép chuyển; Wi là mức độ đóng góp phần
COA
điều kiện của luật thứ i và Bi là giá trị trung tâm phần kết luận của luật thứ i. Thuật toán FDCBS cũng chỉ ra giới hạn chuyển kênh là:
COA
Giới hạn chuyển kênh=Min[ tế bào mượn(Y o
), tế bào cho mượn(Y o
)] (2.23)

Hình 2.4: Hàm liên thuộc đầu ra mờ
Từ việc mờ hóa đầu vào AC={VC, C, M, H, VH}, TL={L, M, H} và các tập mờ đầu ra
{NL, NM, NS, AZ, PS, PM, PL}, kết hợp với tri thức chuyên gia, FDCBS đã chỉ ra tập luật mờ điều khiển theo bảng 2.1.
Bảng 2.1: Bảng luật mờ để điều khiển mượn/cho mượn kênh
L | M | H | |
VC | (cho mượn) NL | (cho mượn) NM | (cho mượn) NS |
C | (cho mượn) NM | (cho mượn) NS | (ổn định) AZ |
M | (cho mượn) NS | (ổn định) AZ | (mượn) PS |
H | (ổn định) AZ | (mượn) PS | (mượn) PM |
VH | (mượn) PS | (mượn) (PM) | (mượn) (PL) |
2.2.4. Pha thỏa thuận với tế bào liên quan
Sau khi mức tải tế bào của mỗi BS được xác định bởi thông tin tải, mục tiêu của sự trao đổi với các tế bào lân cận là để chọn tế bào mà từ đó các kênh sẽ được mượn khi cấp phát lại tải hoặc được mượn từ đó. Ý tưởng cơ bản của các thuật toán là tế bào hiện thời phải truy vấn đến các tế bào đồng kênh và các tế bào trong nhóm của nó trước khi nó có thể thu nhận các kênh. Các thuật toán thu kênh truyền thống có thể thực hiện 2 cách tiếp cận trao đổi thông tin: cập nhật và tìm kiếm. Khi có cuộc gọi mới hoặc chuyển giao tới tế bào nóng, FDCBS được kích hoạt và gửi yêu cầu tới các tế bào trong nhóm và thực hiện truy vấn để cố mượn đủ số kênh tự do phục vụ yêu cầu của nó.
Khi trạng thái tải tế bào là nóng, nó biểu diễn vai trò của hoạt động mượn kênh, ngược lại nó biểu diễn vai trò hoạt động cho mượn kênh khi trạng thái tải của nó lạnh. Tế bào ở trạng thái trung bình (M) thì không cho mượn và cũng không được phép mượn kênh. Trong mỗi BS duy trì một bảng trạng thái tải mà đầu vào của nó là trạng thái tải hiện thời của mọi tế bào trong nhóm cũng như các tế bào đồng kênh.
2.2.5. Sự di chuyển đa kênh
Sự di chuyển đa kênh thực sự hữu ích khi có sự biến đổi tải tế bào bất thường mà không dự đoán trước được. Cơ chế chuyển đa kênh của FDCBS cho phép tính một lượng các kênh di chuyển dựa trên tham số số kênh cho phép và tải lưu lượng hiện thời. Từ đó FDCBS sẽ mượn nhiều kênh thay vì mượn một kênh giữa 2 tế bào. Ví dụ trong mạng tế bào đa phưong tiện thế hệ mới mà một cuộc gọi cần nhiều kênh tại một thời điểm thì sự mượn và di chuyển nhiều kênh sẽ được thực hiện giữa 2 tế bào có tải chênh lệch nhau lớn để thực hiện cân bằng tải. Từ đó thông điệp yêu cầu kênh giữa tế bào nóng i và tế bào lạnh j được FDCBS phân vào 4 dạng sau [47]:
request(i): thông điệp gửi bởi tế bào nóng i tới các tế bào cùng nhóm compact để
yêu cầu các kênh tự do.
reply(j,Uj,Vj): Thông điệp từ tế bào lạnh thứ j ( j thuộc cùng nhóm compact) để
trả lời tế bào mượn kênh i.
inform(i,Bij): Thông điệp gửi từ tế bào mượn kênh i tới tế bào lạnh cho mượn kênh và các tế bào khác cùng nhóm compact để thông báo về quyết định thu kênh của nó. Với Bij là tập kênh được mượn bởi tế bào nóng thứ i từ tế bào lạnh thứ j.
comfirm(j,Lij): Thông điệp gửi từ tế bào lạnh j tới tế bào nóng mượn kênh i để thông báo nó có kênh cho phép mượn. Lij là tập các kênh mà tế bào lạnh có thể cho mượn.
Trong đó số kênh cần di chuyển và giới hạn di chuyển đa kênh được xác định bởi các công thức (2.22) và (2.23).
2.2.6. Thuật toán mượn kênh NFDCBS
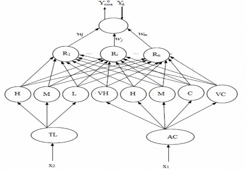
Trong thuật toán NFDCBS, Yao-Tien Wang [48] đã xây dựng thuật toán mượn kênh cân bằng tải động để đảm bảo QoS và có các khối tương tự như FDCBS. Nhưng trong FDCBS, tập luật điều khiển được xây dựng trên cơ sở tri thức chuyên gia và phụ thuộc mạnh vào tri thức chuyên gia. Đây là vấn đề hạn chế cơ bản trong các bộ điều khiển logic mờ, vì với bài toán lớn và phức tạp nói chung, bài toán mượn/ khóa kênh nói riêng(NP-Hard), thì chuyên gia lĩnh vực nhiều khi không thể bao quát được hết các trường hợp trong không gian đầu vào. NFDCBS [48] khắc phục nhược điểm đó bằng cách sử dụng máy học là mạng nơ ron mờ để phát sinh tập luật điều khiển và tối ưu hàm liên thuộc của các tập mờ trên cơ sở sử dụng tập dữ liệu huấn luyện. Từ đó thuật toán giảm bớt sự phụ thuộc vào tri thức chuyên gia hơn FDCBS. Bộ điều khiển NFDCBS sử dụng máy học là mạng nơ ron mờ thích nghi (NFC) với luật mờ kiểu singleton. Mạng nơ ron này có tín hiệu đầu vào là số kênh cho phép và tải lưu lượng, tín hiệu đầu ra giải mờ là số kênh cho phép mượn hoặc cần mượn từ các tế bào lân cận thuộc nhóm compact của tế bào hiện thời. Mạng nơ ron mờ NFC có cấu trúc gồm 4
lớp(hình 2.4): lớp thứ nhất cho phép truyền tín hiệu vào là véc tơ x=(x1, x2)T, lớp thứ 2
là lớp mờ hóa với các giá trị biến ngôn ngữ, lớp thứ 3 biểu diễn luật mờ, nút thứ j biểu diễn luật Rj với mạng đầu vào là phần điều kiện và đầu ra là phần kết luận kiểu
singleton. Trọng liên kết giữa lớp 1 và 2 là đơn vị, trọng liên kết giữa lớp 2 và 3 là giá trị hàm liên thuộc của các tập mờ. Và cuối cùng là lớp ra gồm có một tín hiệu đầu ra YCOA. Các tín hiệu đầu vào là số kênh cho phép x1 được mờ hóa thành các tập mờ: {VC, C, M, H, VH}, tải lưu lượng x2 được mờ hóa thành các tập mờ {L, M, H}. Mạng sẽ được huấn luyện bằng thuật truyền ngược (BP) với mẫu huấn luyện là cặp mẫu {x, Yd},
trong đó x là véc tơ mẫu đầu vào, Yd là tín hiệu đầu ra mong muốn của mẫu.

Hình 2.5: Bộ điều khiển NFC với luật mờ singleton
Tập luật mờ sử dụng trong các nút mạng lớp thứ 3 gồm các luật mờ singleton có dạng:
Rj: IF x1 is A1j AND x2 is A2j, THEN y is wj (2.24)
Trong đó xi là biến đầu vào, y là biến đầu ra thực sự, Anj là giá trị biến ngôn ngữ của
phần điều kiện với hàm liên thuộc
j (x ) . wj là một số thực của phần mệnh đề kết
A i
i
luận, j=1,2...,M và i=1,2. Kết quả giải mờ tín hiệu đầu ra được tính toán bằng phương pháp trọng tâm:






