Chương 4. MÔ PHỎNG THUẬT TOÁN, ĐÁNH GIÁ KẾT QUẢ
Trong chương 4 luận án sẽ thực hiện xây dựng mô hình mô phỏng mạng di động tế bào, thực hiện thiết kế tập dữ liệu huấn luyện các mạng nơ ron. Sau đó luận án sẽ thực hiện mô phỏng các thuật toán cải tiến và thuật toán đã đề xuất với bộ điều khiển mượn kênh NFS. Môi trường thực hiện mô phỏng là môi trường Matlab, phiên bản chạy trên hệ điều hành Windows. Cuối chương luận án sẽ thực hiện phân tích và đánh giá kết quả mô phỏng thu được.
4.1. Cấu trúc mạng di động mô phỏng
Mạng di động tế bào được sử dụng trong mô phỏng sử dụng nhóm compact N= 19 tế bào hình dạng lục giác có bán kính là đơn vị, số kênh là 100 kênh/ tế bào. Các tế bào này sẽ được xác định bởi các BS. Vị trí các trạm cơ sở được xác định bởi toạ độ (x,y). Các thông tin mạng được cất trong ma trận baseinfo kích cỡ 190x2. Ví dụ baseinfo(5,1) và baseinfo(5,2) tương ứng với toạ độ (x,y) của trạm cơ sở tế bào thứ 5.
Mô phỏng thực hiện:
Tính toán các BS
Xác định các tế bào lân cận cho mỗi tế bào
Khởi tạo gán kênh cho các tế bào
Khởi tạo bộ điều khiển thông minh cho các tế bào và xác lập trạng thái ban đầu Trong mô phỏng luận án tập trung vào các phép đo:
Đo xác suất khoá cuộc gọi
Đo xác suất rớt cuộc gọi
Xác định số kênh rỗi của các tế bào tại mỗi thời điểm
Thời gian trễ thu kênh
Độ phức tạp của thông điệp trao đổi
Xác suất khoá cuộc gọi và xác suất rớt cuộc gọi sẽ được định nghĩa như sau:
Pbl
blocknum callnum
(4.1)
Pfc
forcenum callnum blocknum
(4.2)
với callnum, blocknum, forcenum là tổng số cuộc gọi, số cuộc gọi bị khoá và số cuộc gọi bắt buộc kết thúc tương ứng.
Các tham số sử dụng trong mô phỏng:
Tốc độ gọi tới trung bình trong tế bào chuẩn
Tốc độ gọi tới trung bình trong tế bào ‘nóng’ là n* , với n=1,2,3,4
Tốc độ chuyển giao trung bình trong tế bào chuẩn 1/60 s
Tốc độ chuyển giao trung bình trong tế bào ‘nóng’ 1/180 s
Tốc độ thay đổi trung bình từ tế bào chuẩn thành tế bào ‘hot’ là 1/1800 s
Tốc độ thay đổi trung bình từ tế bào ‘nóng’ thành tế bào chuẩn là 1/180 s
Thời gian phục vụ trung bình trên một phiên truyền thông là 180 s
Số người sử dụng là 500/tế bào
Cấu trúc chương trình mô phỏng được thực hiện trong khoảng thời gian timeend với bước thời gian là timestep. Thông tin thực hiện trong mỗi vòng lặp được cất trong ma trận userinfo gồm các thông tin sau:
Toạ độ (x,y) của người sử dụng
Suy giảm đường truyền của người sử dụng được kết nối
Thông tin kết nối hay không kết nối: 1-được kết nối, 0- là không kết nối
Thời gian kết thúc cuộc gọi
Số kênh kết nối được cấp phát
Trong bất kỳ chu kỳ nào của vòng lặp, mỗi người sử dụng đều có các sự kiện như khởi tạo cuộc gọi, tìm kiếm kênh, cấp phát kênh, cấp phát lại kênh và kết thúc cuộc gọi dựa trên ma trận trạng thái. Trong một chu kỳ thời gian, các quá trình sau sẽ được thực hiện:
Các cuộc gọi đang thực hiện sẽ kết thúc nếu chúng kết thúc trong chu kỳ này.
Các cuộc gọi vẫn đang tiếp tục sẽ được kiểm tra, nếu điều kiện nhiễu không thoả mãn thì việc cấp phát lại sẽ được thực hiện để cố tìm kênh mới.
Dựa trên xác suất đã định nghĩa trước, người sử dụng chưa kết nối bắt đầu cuộc gọi mới và tìm kiếm các kênh thoả mãn điều kiện nhiễu, nếu tế bào không còn kênh thì thực hiện tìm mượn kênh trong các tế bào lân cận xung quanh.
Nếu có tế bào mượn kênh, bộ điều khiển mượn kênh xác định số kênh còn cho phép mượn thì sẽ thực hiện quá trình cho mượn kênh.
Mỗi khi thực hiện mượn hay cho mượn kênh, thuật toán khoá kênh được gọi để thực hiện kiểm tra và khoá kênh trong các tế bào đồng kênh để loại bỏ nhiễu đồng kênh.
Quá trình trao đổi kênh sử dụng 5 hàm thông điệp để hoàn thành một phiên giao tác:
Cell_Acquire(i): Thu thập thông tin từ các tế bào lân cận của tế bào thứ i
gồm số kênh cho phép và trạng thái tải của các tế bào lân cận.
Ch_Acquire(i,j): Thực hiện thu kênh j phù hợp nhất từ tế bào i là tế bào đã được chọn bởi bộ mượn kênh mờ.
Ch_locking(i , j): Thực hiện thuật toán khoá kênh j của tế bào cho mượn kênh thứ i trong các tế bào đồng kênh.
Ch_return(i,j): Trả kênh j của tế bào cho mượn kênh i sau khi đã kết thúc mượn kênh.
Ch_abort(i,j); Bỏ qua yêu cầu kênh Chương trình mô phỏng gồm các khối:
Khối cấp phát lại kênh (handoff)
Khối cấp phát kênh mới (cuộc gọi mới)
Khối thu kênh (thực thuật toán mượn kênh)
Khối trả về số kênh cần mượn hoặc phải mượn
Khối di chuyển kênh (Thực hiện thuật toán cân bằng tải)
Khối thực hiện xác lập trạng thái tải tế bào.
Để định vị người sử dụng, mỗi tế bào được chia thành lưới các điểm, mỗi điểm có một tọa độ xác định và được tính toán vị trí ngẫu nhiên trong quá trình chạy mô phỏng khi người sử dụng yêu cầu kênh xuất hiện. Sự di chuyển người sử dụng trong quá trình thực hiện cuộc gọi và thực hiện chuyển giao được thực hiện một trong 2 cách:
2
Sự di chuyển người sử dụng dựa trên phát sinh số ngẫu nhiên giống như một cuộc gọi mới đi tới.
2
Sử dụng phân bố Gauss: f ( x)
4.2. Cài đặt và huấn luyện NFS
1 ex /2 .
4.2.1. Cài đặt bộ điều khiển NFS bằng Matlab
Bộ điều khiển mạng nơ ron mờ NFS được cài đặt bằng Matlab bao gồm các hàm sau: Bảng 4.1: Cài đặt bộ điều khiển NFS bằng Matlab
Tên hàm | Mô tả | |
1 | [x1,f1]=layer1(x) | Cài đặt lớp vào |
2 | [x2,f2]=layer2(x1,c2,sima2) | Cài đặt lớp mệnh đề điều kiện |
3 | [x3,f3]=layer3(x2,ome,c3,sima3) | Cài đặt lớp luật |
4 | [x4,f4]=layer4(x3,eps,nuyc,nuys) | Cài đặt lớp mệnh đề điều kiện |
5 | [y5,f5]=layer5(x4,muy) | Cài đặt lớp ra |
6 | [esp,depc,deps]=epsi(ck,sima,nuyc,nuys) [cr,dcrc,dcrs]=rnuy2(ck,sima,nuyc,nuys,gama1, gama2) [cr,dcrc,dcrs]=rnuy3(ck,sima,nuyc,nuys,gama1, | Hàm cài đặt liên kết mờ và thực hiện phép đo subsethood |
Có thể bạn quan tâm!
-
Về một phương pháp mới điều khiển mượn, khóa kênh tần số mạng di động tế bào - 11 -
Về một phương pháp mới điều khiển mượn, khóa kênh tần số mạng di động tế bào - 12 -
Khối Thực Hiện Quá Trình Mượn/cho Mượn Kênh Và Khóa Kênh. -
S. W. Halpern (1983), “Reuse Partitioning In Cellular Systems”, Proceeding Of The 1983 33Rd Ieee Vehicular Technology Conference, Pp. 322-327, New York, Ny, Usa. -
Alexe E. Leu And Brian L. Mark (2002), “Modeling And Analysis Of Fast Handoff Algorithms For Microcellular Networks”, Proceeding Of The 10Th Ieee Mascots’2002, Pp. 321-328. -
Về một phương pháp mới điều khiển mượn, khóa kênh tần số mạng di động tế bào - 17
Xem toàn bộ 149 trang tài liệu này.
gama2) | ||
7 | estd=erf1(x) | Hàm sai số chuẩn |
1 | ek=E(yk,dk) | Hàm tính sai số đầu ra |
2 | muy=bp5(yk,dk,eta,x4,muyc) | Hàm cập nhật tham số lớp ra |
3 | [nuyc,nuys]=bp4(yk,dk,eta,muy,nuycc, nuysc,f4,x3,esp,depc,deps) | Hàm cập nhật tham số cho lớp mệnh đề kết luận và tham số subsethood (THEN) |
4 | [ck,sima,ome]= bp3(yk,dk,eta,muy,nuyc,nuys, c3,simac3,omec,esp,depc,deps,f4,f3,x3,x2) | Hàm cập nhật tham số cho lớp luật |
5 | [ck,sima]=bp2(yk,dk,eta,muy,nuyc,nuys, ome,c3,sima3,c2,sima2,f4,f3,f2,epsi,x1) | Hàm cập nhật tham số cho lớp mệnh đề điều kiện(IF) |
1 | TrainNFS() | Hàm huấn luyện |
2 | GenFis() | Hàm phát sinh tập luật |
4.2.2. Phát sinh tập dữ liệu huấn luyện và huấn luyện ANFIS, NFS, NFC

Hình 4.1: PDF thời gian giữ cuộc gọi
Cuộc gọi xuất hiện (cuộc gọi mới và chuyển giao) tuân theo hàm phân bố Poát xông, thời gian giữ cuộc gọi giả sử tuân theo phân bố hàm mũ (hình 4.1). Số người sử dụng kênh thu được thông qua mô phỏng LBSB và Adapt. Từ đó phát sinh số người sử dụng, tính được số kênh cho phép, tải lưu lượng và số kênh yêu cầu tại bước thời gian t
Mỗi mẫu có dạng:
{[Số kênh cho phép(AC) Tải lưu lượng(TL)]T, [số kênh yêu cầu(yd)]}
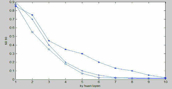
Quá trình huấn luyện với các tập dữ liệu gồm 500 mẫu và 300 mẫu kiểm tra thử, kết quả sai số huấn luyện (hình 4.2) cho thấy bộ điều khiển NFS cho kết quả sai số ít hơn ANFIS, NFC và tốc độ hội tụ nhanh hơn. Kết quả chạy mô phỏng sẽ cho phép lưu các tham số tập luật mờ trong tệp “Data.fis”. Tệp này sẽ được mở và truy suất trong quá trình thực hiện quyết định trạng thái tải tế bào và tính số kênh cho phép cho phép di chuyển.
4.2.3. Kết quả huấn luyện NFC, ANFIS và NFS

Hình 4.2: Qúa trình huấn luyện của NFC(‘*’), ANFIS(‘+’), NFS(‘o’)
4.3. Kết quả mô phỏng

Hình 4.3: Xác xuất khóa cuộc gọi của các thuật toán khác nhau
*: LBSB; o: Adapt; :NFDCBS; x: NFS

Hình 4.4: Xác xuất rớt cuộc gọi của các thuật toán khác nhau
*: LBSB; o: Adapt; : NFDCBS; x: NFS

Hình 4.5: Sự phức tạp truyền thông điệp của các thuật toán khác nhau
*: LBSB; o: Adapt; : NFDCBS; x: NFS

Hình 4.6: Thời gian trễ thu kênh của các thuật toán khác nhau
*: LBSB; o: Adapt; : NFDCBS; x: NFS






