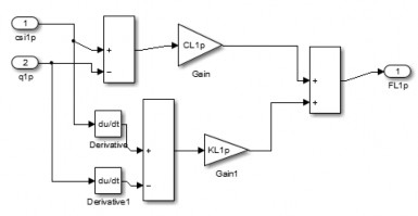
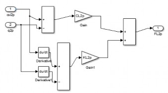
+ Khối lực lốp xe




Có thể bạn quan tâm!
-
Các Gia Tốc Theo Miền Thời Gian(V=0 Km/h Và Ne=5400 V/p) Tại Vị Trí Trọng Tâm Thân Xe Với Đệm Cách Dao Động Cao Su Thủy Lực Bị Động -
So Sánh Hiệu Quả Của Hệ Thống Đệm Cách Dao Động Cao Su Thủy Lực Bán Chủ Động Và Bị Động Ở Trường Hợp 3. -
Nghiên cứu điều khiển hệ thống treo bán chủ động cho động cơ đốt trong xe du lịch - 12



