Trong đó: Q - năng suất cả 1 ôtô trong khoảng thời gian T.

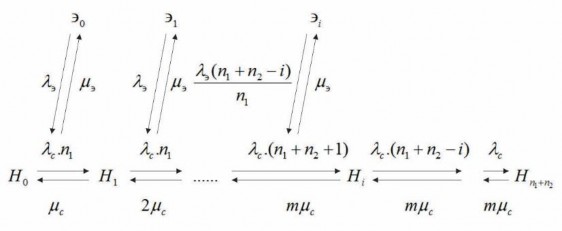
Hình 2.2. Sơ đồ chuyển đổi từ trạng thái này snag trạng thái khác của tổ hợp ôtô - máy xúc [20]
Ví dụ: Cho một tổ hợp ôtô - máy xúc, trên mỏ lộ thiên có n1 = 5 ôtô BelAZ- 540 (n2 = 0) phục vụ cho máy xúc EKG-5A. Số vị trí sửa chữa (đội) là m (m = 1, 2, 3) để phục vụ sửa chữa ôtô. Phân tích tài liệu độ tin cậy của ôtô trong điều kiện khác nhau cho các chỉ tiêu số lượng thể hiện ở bảng 2.3.
Bảng 2.3. Các chỉ tiêu số lượng độ tin cậy của ôtô - máy xúc trên các mỏ lộ thiên Việt Nam [20]
BelAZ-540 | EKG-5A | |
Số lượng hỏng hóc trung bình của ôtô trong 1 năm | 132 | 145 |
Thông số thường hỏng hóc | 0,029 | 0,036 |
Thời gian trung bình giữa các lần hỏng hóc, h | 34,2 | 27,6 |
Thời gian trung bình phục hồi hỏng hóc, h | 16,2 | 5,7 |
Có thể bạn quan tâm!
-
Khối Lượng, Hình Thức, Và Cung Độ Vận Tải Của Mỏ Than Cao Sơn -
Năng Suất Thiết Bị Vận Tải Của Mỏ Than Cọc Sáu Năm 2016 [11] -
Tổng Quan Về Một Số Thuật Toán Trong Nước Dùng Để Tính Toán Đồng Bộ Máy Xúc - Ôtô -
Các Biến Điểm Trung Chuyển Và Thời Gian Di Chuyển Qua Các Điểm [6] -
Nguyên Tắc Hoạt Động Của Phương Pháp Monte Carlo [1] -
Nhóm Các Phương Pháp Sử Dụng Trí Tuệ Nhân Tạo:
Xem toàn bộ 217 trang tài liệu này.
Với các chỉ tiêu số lượng có thể xác định được các giá trị tính toán như sau:
c 0,061;c 0,02; 0,18
và 0,03 . Thay số liệu vào và giải hệ biểu thức
trên tìm được số lượng ôtô trung bình phục vụ cho một máy xúc. Khi m = 1 (có một vị trí sửa chữa) thì Ncp = 1,85; khi m = 2, Ncp = 2,74 và khi m = 3, Ncp = 2,95.
Từ tính toán trên cho thấy: khi chỉ có một vị trí sửa chữa (m = 1) thì số lượng
ôtô trung bình phục vụ cho một máy xúc nhỏ hơn rất nhiều so với khi có hai vị trí sửa chữa (m = 2), còn nếu tăng số vị trí sửa chữa (m = 3) thì số lượng ôtô không nhiều. Do đó, nâng cao năng suất của tổ hợp ôtô - máy xúc có thể bằng cách hợp lý hóa số ôtô dự phòng để sẵn sàng thay thế số ôtô hỏng hóc và tăng vị trí sửa chữa trên mỏ hợp lý nhằm phục hồi nhanh chóng các ôtô hỏng hóc.
2.1.3. Xác định số ôtô phục vụ cho một máy xúc trong các mỏ lộ thiên [21]
Theo [21], số ôtô sử dụng có hiệu quả khi phối hợp với một máy xúc được xác định theo biểu thức:
N Tch , chiếc (2.14)
t
0
xd
Trong đó: Tch - thời gian của một chuyến xe, ph; txd - thời gian xúc đầy xe, ph.
0
N txd td tm
txd
1 tc td tm , chiếc (2.15)
txd
Thời gian chất đầy ôtô txd nx .Tc , ph; nx - số gàu xúc đầy ôtô; Tc - thời gian chu kì xúc, ph; tùy thuộc vào mật độ của đất đá đ , tải trọng của ôtô q0, dung tích
thùng xe V ; trong khi số gàu xúc n
bị hạn chế bởi dung tích thùng xe ( đ q0 )
o x
hay tải trọng ôtô ( đ q0 ) .
Kr V0
Kr V0
Thời gian chất đầy xe ôtô tính theo các biểu thức tương ứng sau:
t V0 .Kv0
.T , ph (2.16)
xd
xd 0,9.K .E c
t q0 .Krg
.T , ph (2.17)
xd
đ
xd E.K .c
Trong đó: E - dung tích gàu xúc, m3; Krg - hệ số nở rời đất đá trong gàu; Kxd
- hệ số xúc đầy gàu; 0,9 - hệ số chú ý đến sư thay đổi hệ số nở rời của đất đá trong thùng xe ôtô; Kv0 - hệ số chú ý đến việc đất đá đổ đầy thành ngọn trên ôtô.
Thời gian xe chạy bằng:
t t t
n Lict
n Likt , ph (2.18)
c ct
kt 60.1V1V
ict ikt
Trong đó: tc và tkt - thời gian chạy có tải và thời gian chạy không tải, ph; Lcit và Likt - chiều dài khu vực đường có cùng điều kiện khi chạy có tải và không tải, km; Vict và Vikt - vận tốc xe chạy trên các đoạn đường tương ứng khi có tải và không tải.
Thời gian dỡ tải đối với xe dưới 40 tấn bằng khoảng 60 s; còn đối với xe có tải trọng lớn hơn 70÷90 s.Thời gian vào manơ (khi vào nhận tải và khi dỡ tải) tùy thuộc vào sơ đồ ôtô nhận tải ở máy xúc: 0÷10; 20÷25; 50÷60 s đối với sơ đồ thông tầng, lượn vòng và quay đảo chiều. Nếu coi thời gian xúc chất, thời gian dỡ và thời gian manơ là thời gian cố định, thời gian chạy có tải và không tải của xe ôtô là thời gian thay đổi thì có thể sử dụng biểu đồ thể hiện mối quan hệ giữa khoảng cách xe chạy với thời gian xe chạy để xác định cụ thể thời gian thay đổi của chu kỳ vận tải.
Số ôtô đảm bảo phục vụ có hiệu quả cho một máy xúc là:
1 0i
N mN
(2.19)
Nếu số ôtô phục vụ cho một máy xúc xác định theo biểu thức (2.15) là lẻ thì được quy tròn sau đó đưa vào biểu thức (2.19) để tính toán số ôtô phục vụ cho toàn mỏ. Cách điều hành như vậy gọi là điều độ theo chu trình kín. Khi điều độ ôtô theo chu trình hở thì tính tổng số ôtô sau đó tiến hành quy tròn.
Số ôtô trong danh sách:
Nds
N , chiếc (2.20)
Trong đó: - hệ số chuẩn bị kỹ thuật của ôtô.
2.1.4. Xác định mối quan hệ giữa máy xúc và ôtô trong mỏ lộ thiên dựa trên dung tích gầu máy xúc, tải trọng ôtô và quãng đường vận chuyển [2]
Theo [2], kinh nghiệm rút ra từ hoạt động thực tiễn trong các mỏ lộ thiên trên thế giới thì tải trọng ôtô sử dụng trên mỏ lộ thiên có thể được chọn trên cơ sở dung tích gàu xúc của máy xúc và quãng đường vận tải của ôtô. Mối quan hệ đó được biểu thị qua biểu thức:
qo = (4,5.E + a). , tấn (2.21)
Trong đó: a - hệ số chịu ảnh hưởng bởi dung tích gầu xúc, a = 3 khi E 4m3, và a = 2 khi E < 4m3.
Số lượng gàu xúc đầy ôtô ( ng ) có mối quan hệ với quãng đường vận tải theo số liệu kinh nghiệm như sau:
1 ÷ 2 | 5 | 7 ÷ 8 | |
Số gàu xúc đầy ôtô, gàu | 4 ÷ 6 | 6 ÷ 8 | 8 ÷ 12 |
Một số chuyên gia mỏ khác đã đưa ra số liệu kinh nghiệm giữa các thông số trên với dung tích gàu xúc như sau (Bảng 2.4).
Bảng 2.4. Số gàu xúc đầy thùng xe ôtô theo kinh nghiệm
Số gàu xúc đầy ôtô khi cung độ vận tải L, km | ||||
1 ÷ 2 | 3 ÷ 4 | 5 ÷ 6 | 7 ÷ 8 | |
3,2 | 5,5 | 6,4 | 8,0 | 10,0 |
4,0 | 5,5 | 6,4 | 8,0 | 10,0 |
5,0 | 5,2 | 6,2 | 7,6 | 9,6 |
6,3 | 5,2 | 6,2 | 7,6 | 9,6 |
8,0 | 4,7 | 5,7 | 7,3 | 9,3 |
10,0 | 4,7 | 5,7 | 7,3 | 9,3 |
Căn cứ vào số gàu xúc đầy ôtô, xác định được tải trọng ôtô cần tìm. Khi xúc vật liệu nặng (đất đá, quặng,...) thì tải trọng ôtô cần tìm là:
q ng .E.Kđ .đ
0 K
, tấn (2.22)
r
Khi xúc vật liệu nhẹ (than, đá túp,...) thì dung tích cần xe ôtô cần tìm là:
V ng .E.Kđ
0 K
, m3 (2.23)
l
Trong đó: ng - số gàu xúc đầy ôtô lựa chọn theo dung tích gàu xúc E và quãng đường vận tải L; E - dung tích gàu xúc m3, Kđ - hệ số xúc đầy gàu; Kr - hệ số nở rời của đất đá trong gàu xúc; γd - khối lượng riêng của đất đá trong vỉa, t/m3; Kl - hệ số lèn chặt của đất đá trong thùng xe ôtô do quá trình dỡ tải của máy xúc.
Khi vận tải 1 chu trình kín thì số lượng ôtô phục vụ cho 1 máy xúc được xác định theo biểu thức:
No = 10,56 – 1,13.ng + 1,08.L , chiếc (2.24)
Ngoài các nghiên cứu trên, còn có một số tác giả khác cũng đã đưa ra cách xác định mối quan hệ giữa máy xúc và ôtô trong các trường hợp khi khai thác các mỏ quặng sắt có điều kiện phức tạp [15]; khi vận tải liên hợp có sử dụng trạm chuyển tải trung gian [18], [19] chủ yếu thông qua mối quan hệ giữa dung tích gầu xúc và tải trọng của ôtô.
Theo [7], các phương pháp lựa chọn đồng bộ xúc bốc - vận tải trên mỏ lộ thiên từ trước đến nay đã được tổng kết, phân loại và đánh giá rõ ràng, góp phần định hướng cho các nghiên cứu theo hướng này tại Việt Nam.
Tóm lại, trong các công trình nghiên cứu trong nước đã nêu ở trên, một số nghiên cứu đã có tính khái quát cao mang tính nguyên tắc trong việc xác định đồng bộ máy xúc - ôtô, một số nghiên cứu có tính cụ thể cho những trường hợp xác định của mỏ, tuy nhiên hầu hết các nghiên cứu này chưa đánh giá được tổng quát các yếu tố ảnh hưởng tới hiệu quả phối hợp giữa máy xúc và ôtô trong điều kiện thực tế của các mỏ than lộ thiên vùng Quảng Ninh hiện nay như sự thay đổi cung độ vận tải, nhiều điểm chất - dỡ tải, nhiều chủng loại máy xúc và ôtô, tổ chức công tác xúc bốc và vận tải phức tạp. Chính vì vậy, cần thiết phải có phương pháp tính toán, xác định đồng bộ xúc bốc - vận tải khoa học, thuận tiện, chính xác,… cho các mỏ than lộ thiên của Việt Nam.
2.2. TỔNG QUAN VỀ MỘT SỐ THUẬT TOÁN NGOÀI NƯỚC TRONG VIỆC TÍNH TOÁN ĐỒNG BỘ MÁY XÚC - ÔTÔ
2.2.1. Thuật toán xếp hàng
2.2.1.1. Tổng quan về thuật toán xếp hàng (Linear Programming - LP)
Các mô hình dựa trên thuật toán xếp hàng LP chủ yếu sử dụng để xác định các ôtô phối hợp với các máy xúc hoạt động trong mỏ. Hình 2.3 minh họa một tổ hợp đồng bộ máy xúc - ôtô được xem xét bằng mô hình của thuật toán xếp hàng. Trong hệ thống này, các xe ôtô được coi như những “khách hàng” di chuyển giữa các “trung tâm dịch vụ” là các máy xúc, đường vận tải, bãi thải, kho chứa, trạm nghiền,… Các mô hình sẽ ước tính thời gian chờ đợi tại các máy xúc, bãi thải,… cũng như việc sử dụng các thiết bị trong quá trình hoạt động này. Các kết quả sẽ giúp cho nhà quản lý mỏ lựa chọn được máy xúc và ôtô hợp lý cũng như số lượng ôtô tối ưu.

Hình 2.3. Mô hình thuật toán xếp hàng của đồng bộ máy xúc - ôtô [7]
Thời gian phục vụ tại các dịch vụ trên tuân theo qui luật phân bố hàm mũ. Sau khi tính toán việc sử dụng thiết bị và thời gian chu kỳ của chúng, nhờ sự hỗ trợ của thuật toán xếp hàng, số ôtô cần thiết (N) đảm bảo giảm tối đa tổng chi phí sản xuất đơn vị (C), được Carmichael đề xuất năm 1987, có mối quan hệ sau [25]:
C = (C1 +C2N) / (Đơn vị sản xuất x CAP) (2.25)
Trong đó: CAP - dung tích ôtô; C1 - chi phí sản xuất của máy xúc trên một đơn vị thời gian; C2 - chi phí sản xuất trung bình của ôtô trên một đơn vị thời gian.
Ứng với mỗi chi phí sản xuất đơn vị, sẽ tìm được một số lượng ôtô tương ứng khác nhau. Dựa trên việc so sánh các chi phí sản xuất này, có thể tìm được số lượng ôtô tối ưu phục vụ cho máy xúc hoạt động trên mỏ.
Một phương pháp tối ưu hóa vận tải điển hình được nghiên cứu bởi các tác giả Lambert C.RJ và Mutmansky J.M năm 1987. Nội dung phương pháp này là việc sử dụng phương pháp mô phỏng bằng máy tính nhằm mục đích nghiên cứu hệ thống xúc bốc - vận tải bằng máy xúc trong các mỏ lộ thiên. Mục tiêu chính của nghiên cứu này là để nâng cao khả năng phân tích và so sánh các chính sách điều phối xe ôtô theo kinh nghiệm hiện có và tìm kiếm một quy tắc áp dụng phù hợp cho mỏ [41]. Với mục đích này, một chương trình mô phỏng ngẫu nhiên (GPSS/H) được phát triển cho một kích thước mỏ lộ thiên vừa bao gồm một số gương xúc và một bãi thải duy nhất. Tám nguyên tắc cơ bản được mô hình hóa trong các tập tin chương trình riêng biệt. Chương trình xem xét tất cả các thành phần của chu kỳ vận tải ôtô và phân phối thông thường được sử dụng để mô hình tất cả các biến này. Chương trình yêu cầu người dùng nhập vào số lượng ôtô ban đầu được gán cho mỗi khu vực xúc (gương xúc). Chương trình này có đầy đủ các nhân tố mô phỏng được thực hiện để tìm hiểu ảnh hưởng của một số yếu tố bao gồm: các quy tắc điều phối thiết bị, số lượng ôtô hoạt động, số lượng máy xúc hoạt động, sự thay đổi thời gian chu kỳ vận chuyển, khoảng cách giữa gương xúc và bãi thải, sự sẵn sàng của vật liệu cho máy xúc và ôtô làm việc. Tình trạng cũ, mới của các máy xúc và ôtô được mô hình hóa bằng cách sử dụng phân phối hàm mũ. Ba biện pháp hiệu quả được lựa chọn là năng suất ôtô, thời gian sử dụng máy xúc tổng thể và thời gian sử dụng ôtô tổng thể. Phân tích thống kê của các mô phỏng được thực hiện bằng cách sử dụng phương pháp ANOVA với phần mềm Minitab. Phân tích hồi quy cho hệ số giá trị xác định R2 là 56,7%, 84,1%, và 79,6% trong ba biện pháp thực hiện tương ứng. Từ kết quả phân tích thống kê, có thể kết luận rằng tác động của quy tắc điều phối ôtô cơ bản là không đáng kể. Các yếu tố chính ảnh hưởng đến quá trình sản xuất mỏ là số lượng ôtô, số lượng máy xúc, khoảng cách giữa các gương xúc và bãi thải, cuối cùng là sự sẵn sàng của vật liệu cho máy xúc và ôtô làm việc (điều kiện đất đá và than để xúc, vận tải).
2.2.1.2. Cơ sở khoa học của thuật toán xếp hàng LP
Thực chất nội dung của thuật toán xếp hàng LP là đi tìm số lượng ôtô cần thiết phục vụ cho mỏ. Tuy nhiên với điều kiện thực tế trên các mỏ lộ thiên thì việc tìm ra được số lượng ôtô hợp lý phục vụ cho mỏ là rất khó khăn. Hoạt động xúc bốc và vận tải trên mỏ được miêu tả cụ thể với sơ đồ vị trí các điểm chất tải và dỡ tải (bao gồm cả đất đá thải và KSCI) thể hiện trong hình 2.4.

Hình 2.4. Minh hoạt các hoạt động xúc bốc - vận tải trên mỏ lộ thiên
Để xác định được số ôtô phục vụ cho mỏ bằng phép tính thủ công cần phải liệt kê tất cả các điểm (dự kiến) chất tải và dỡ tải, sau đó tính toán cho từng trường hợp. Việc tính toán như vậy sẽ rất phức tạp và khối lượng công việc tính toán rất nhiều đối với những mỏ có nhiều điểm chất tải và dỡ tải, các vị trí chất tải và dỡ tải thường xuyên thay đổi.
Với việc tính toán rất phức tạp như vậy thì cần thiết phải có một phương pháp đơn giản, cho độ chính xác cao để giải quyết vấn đề trên và thuật toán xếp hàng là thuật toán khả thi trong trường hợp này. Bằng việc ứng dụng kỹ thuật tối ưu hóa của toán học sẽ cho phép xác định được số ôtô hợp lý phục vụ cho mỏ.
a. Mô hình LP đơn giản với việc phân phối ôtô trên mỏ lộ thiên [6]


![Năng Suất Thiết Bị Vận Tải Của Mỏ Than Cọc Sáu Năm 2016 [11]](https://tailieuthamkhao.com/uploads/2022/05/06/toi-uu-hoa-su-phoi-hop-giua-may-xuc-va-oto-cho-cac-mo-khai-thac-than-lo-8-120x90.jpg)

![Các Biến Điểm Trung Chuyển Và Thời Gian Di Chuyển Qua Các Điểm [6] ](https://tailieuthamkhao.com/uploads/2022/05/06/toi-uu-hoa-su-phoi-hop-giua-may-xuc-va-oto-cho-cac-mo-khai-thac-than-lo-11-2-120x90.jpg)
![Nguyên Tắc Hoạt Động Của Phương Pháp Monte Carlo [1]](https://tailieuthamkhao.com/uploads/2022/05/06/toi-uu-hoa-su-phoi-hop-giua-may-xuc-va-oto-cho-cac-mo-khai-thac-than-lo-12-1-120x90.jpg)
