- Lựa chọn các điều kiện thích hợp đối với phép đo phổ AAS phân tích Mn, Cr.
- Xây dựng và đánh giá các đường chuẩn xác định hàm lượng tổng Mn, Cr trong lá chè. Xây dựng đường chuẩn chiết điểm mù xác định dạng Mn, Cr trong nước chè, xác định LOD, LOQ.
- Xác định hàm lượng Mn, Cr tổng số trong lá chè sử dụng phương pháp vô cơ hóa ướt và quang phổ hấp thụ nguyên tử.
- Phân tích hàm lượng các dạng Mn(II)-flavonoid và Mn(II)-tự do, Cr(III) và Cr(VI) trong nước chè sử dụng kỹ thuật chiết điểm mù và quang phổ hấp thụ nguyên tử.
CHƯƠNG 1. TỔNG QUAN
1.1. Giới thiệu về Mn, Cr
1.1.1. Giới thiệu về Mn
Mangan là nguyên tố hóa học ở vị trí ô 25, chu kì 4, nhóm VIIB trong bảng tuần hoàn các nguyên tố hóa học được J. G. Gahn phát hiện ra nguyên tố Mn năm 1774. Mangan là một trong những nguyên tố phong phú chiếm 0,1% vỏ trái đất và phân bố rộng rãi trong đất, trầm tích, đá, nước và vật liệu sinh học. Mangan có các trạng thái oxi hóa phổ biến là +2, +3, +4, +6 và +7, trong đó thái trạng thái oxi hóa
+2 bền nhất. Hàm lượng mangan trung bình trong đất dao động trong khoảng 500 - 900 mg/kg và nồng độ trong nước biển dao động từ 0,1 đến 5 μg/L. Nước mặt có thể có hàm lượng mangan từ 1- 500 μg /L. Mức mangan trung bình trong nước uống dao động từ 5 đến 25 μg/L [6].
Các loại hạt, sô cô la, các sản phẩm từ ngũ cốc, động vật giáp xác và động vật thân mềm, đậu, và trái cây và các sản phẩm trái cây là nguồn Mn phong phú [7]. Đặc biệt trong lá chè hàm lượng Mn có thể lên tới vài trăm đến hàng nghìn mg/kg [8].
Mangan là một khoáng chất vi lượng có mặt với số lượng rất nhỏ trong cơ thể. Nó là một trong những chất dinh dưỡng quan trọng nhất cho sức khỏe con người. Cơ thể người trung bình chứa khoảng 12 mg Mn. Khoảng 43% Mn được tìm thấy trong hệ xương, phần còn lại tồn tại trong các mô mềm bao gồm gan, tuyến tụy, thận, não [9]. Mn giúp cơ thể hình thành mô liên kết, xương, các yếu tố đông máu, và hormone giới tính [9].
Ngoài ra mangan đóng một vai trò trong chuyển hóa carbohydrate, hấp thụ canxi, và điều chỉnh hàm lượng đường trong máu [10, 11]. Mangan cũng cần thiết cho chức năng não và thần kinh bình thường [12]. Mangan là một thành phần quan trọng của hệ thống enzyme, nó là một thành phần của chất chống oxy hóa giúp chống lại các gốc tự do [13].
Nhu cầu Mn đối với trẻ em từ 1 - 8 tuổi là 1,2 - 1,5 mg/ngày, đối với nam giới từ 9 - 18 tuổi là 1,9 - 2,2 mg/ngày, đối với nam giới trưởng thành là 2,3 mg/ngày. Nhu cầu Mn đối với nữ giới từ 9 -18 tuổi là 1,6 mg/ngày, đối với nữ giới trưởng thành là 1,8 mg/ngày, đối với người mang thai và cho con bú lần lượt là 2,0 mg/ngày và 2,6 mg/ngày [14].
Tuy vậy, Mn gây độc hại khi được hấp thụ ở nồng độ cao. Với con người,
mangan gây ra hội chứng manganism, gây ảnh hưởng đến hệ thần kinh trung ương, bao gồm các triệu chứng như đau đầu, mất ngủ, run chân tay, đi lại khó khăn, co thắt cơ mặt, tâm thần phân liệt và thậm chí ảo giác. Ngoài ra Mn còn gây độc hại tới gan (rối loạn chuyển hoá glucozơ), phổi, rối loạn nội tiết, tuyến giáp, hệ sinh dục.
Nguồn chính của nhiễm độc Mn được xác định lâm sàng là do phơi nhiễm trong các công việc thường xuyên tiếp xúc với mangan ở nồng độ quá mức. Nhiễm độc thần kinh do hít phải Mn trong không khí đã được nghiên cứu ở những người khai thác mỏ MnO2, công nhân trong các nhà máy pin khô, công nhân sản xuất thép hoặc thợ hàn [15]. Trong nghiên cứu về 523 thợ hàn tại một số nhà máy ở Thành phố Thanh Đảo, tỉnh Sơn Đông, Trung Quốc cho thấy có mối tương quan đáng kể giữa những thợ hàn làm việc lâu năm một số bệnh mắc phải. Hàm lượng mangan trong không khí tại các nhà máy này trong khoảng 0,01 – 45 mg/m3, giá trị trung bình là 0,13 ± 0,1 mg/m3, với tiêu chuẩn của Trung Quốc là 0,15 mg/m3. Đáng chú ý nhất là phát hiện 19% thợ hàn làm việc từ 15 năm trở lên bị chứng run tay chân, so với 4% đối với các thợ hàn làm việc dưới 5 năm [16].
Ngoài ra, một số quốc gia bao gồm Hoa Kỳ, Canada, Argentina, Úc, Bulgaria, Pháp, Nga, New Zealand, Trung Quốc và Liên minh châu Âu đã chấp thuận sử dụng phụ gia nhiên liệu Methylcyclopentadienyl Mangan Tricarbonyl (MMT) trong xăng. Khí thải do đốt xăng chứa Mn làm ô nhiễm đất, bụi và thực vật gần đường và phát thải thêm Mn cho môi trường. Nước ngầm ở một số vùng có nồng độ Mn cao, gây độc hại cho con người và môi trường.
1.1.2. Giới thiệu về Cr
Crom là nguyên tố hóa học ở vị trí ô 24, chu kì 4, nhóm VIB trong bảng tuần hoàn các nguyên tố hóa học. Năm 1797, Louis Nicolas Vauquelin nhận được các mẫu vật chứa quặng Crocoit. Ông đã sản xuất được CrO3, bằng cách cho quặng Crocoit phản ứng với HCl. Năm 1798, Vauquelin điều chế được kim loại crom bằng cách nung crom oxit với than củi. Crom là một kim loại cứng (độ cứng theo thang Mohs là 8,5), bề mặt bóng, màu xám thép với độ bóng cao và nhiệt độ nóng chảy cao. Các trạng thái oxi hóa phổ biến của crom là +2, +3 và +6, với +3 là ổn định nhất. Các trạng thái +1, +4 và +5 là khá hiếm. Các hợp chất của crom với trạng thái oxi hóa +6 là những chất có tính oxi hóa mạnh.
Trong cơ thể người, crom tập trung ở gan, thận, lá lách, mô mềm và xương.
Nghiên cứu chỉ ra Cr (III) là một yếu tố vi lượng thiết yếu liên quan đến việc kiểm soát chuyển hóa glucose bằng insulin [17]. Đối với nhóm bệnh nhân tiểu đường, chu kì bán thải trong nước tiểu của crom là 0,97 ngày so với 1,51 ngày đối với nhóm đối chứng là người bình thường. Lượng crom cần thiết là 35 mg/ngày đối với nam giới trưởng thành và 25 mg/ngày đối với nữ giới trưởng thành [14]. Một lượng nhỏ Cr (< 2%) trong hợp chất vô cơ được hấp thụ nhưng sự hấp thụ sẽ tăng lên nếu Cr được cung cấp dưới dạng hợp chất hữu cơ [16]. Một số thực phẩm giàu crom như: thịt bò, trứng, bông cải xanh, rau chân vịt, cà chua, ngô, khoai lang, yến mạch, đậu xanh, nho, men bia [17].
Dạng Cr(III) với lượng vừa đủ là cần thiết cho cơ thể nhưng dạng Cr(VI) (tồn ở dạng CrO42- hoặc Cr2O72-) gây ảnh hưởng không tốt đối với sức khỏe con người. Tùy thuộc vào liều lượng, con người có thể bị các bệnh mãn tính về đường hô hấp do hít phải Cr(VI) như: hen suyễn, viêm phế quản mãn tính, kích thích mãn tính, viêm họng mãn tính, viêm mũi mãn tính, tắc nghẽn và tăng huyết áp, loét màng nhầy mũi. Crom gây ra các triệu chứng viêm da bao gồm khô, ban đỏ, nứt da và sưng. Ung thư ở người liên quan đến Cr thường xảy ra trong hệ thống hô hấp, chủ yếu là phổi, ung thư mũi và xoang . Phản ứng của Cr (VI) với ascorbate (chất khử) và hydro peoxit (chất oxi hóa) sẽ cho kết quả trong sự tích tụ các gốc hydroxyl gây ra tổn thương DNA, đột biến và tăng khả năng ung thư [18, 19].
1.2. Giới thiệu chung về cây chè
1.2.1. Nguồn gốc, đặc điểm và sự phân bố của cây chè
Cây chè đã được mô tả phân loại đầu tiên vào năm 1753 bởi C. Linnaeus trong cuốn sách Species Plantarum. Cây chè có tên khoa học là Camellia Sinensis. Cây chè là một loại cây thường xanh có nguồn gốc từ Bắc Ấn Độ và Nam Trung Quốc. Nó có hoa màu vàng - trắng, lá có răng cưa. Hoa chè ở nách lá, đơn độc hoặc có từ 3 hoa trong một cụm, đường kính 2,5 - 3,5 cm và 6 đến 8 cánh [2].
Cây chè được trồng khoảng 1500 năm trước đây. Cây chè thích hợp ở các vùng có lượng mưa 12 – 150 cm và nhiệt độ 12 - 30oC. Điều kiện phát triển tối ưu là lượng mưa 250 - 300 cm và nhiệt độ trung bình 18 - 20oC. Cây chè được trồng ở các vùng có độ cao từ 2200 mét so với mực nước biển, một số cây chè tìm thấy ở độ cao 3000 m. Độ cao càng lớn thường kèm theo chất lượng chè tốt hơn. Lượng ánh sáng cần thiết hằng ngày đối với cây chè là từ 5 đến 11 giờ. Đất trồng chè tốt được
khuyến cáo là loại đất pha cát, khô ráo, thoát khí, lớp đất trồng sâu và giàu dinh dưỡng với nhiều mùn và pH thấp. Hạn hán, ngập úng, nhiệt độ cao quá mức và sương giá là những nguyên nhân có hại cho sự sinh trưởng của cây chè và kết quả có thể làm giảm chất lượng sản phẩm về các mặt hóa học, mùi vị [2].
Vùng có diện tích trồng chè lớn bao gồm phía tây nam Trung Quốc (các tỉnh Vân Nam, Tứ Xuyên, Quảng Tây, Quý Châu), Bắc Lào, Bắc Việt Nam, Myanma, Campuchia và vùng phía bắc Ấn độ. Ngoài ra, cây chè còn được trồng ở các vùng như: phía đông Trung Quốc, Nhật Bản, Nam Triều Tiên, Thái Lan và Đài Loan. Ngày nay, cây chè được trồng chủ yếu ở vùng có địa hình cao ở vùng vành đai chè và các nước khác ở vùng nhiệt đới, cận nhiệt đới và vùng có nhiệt độ ôn hòa như: Sri Lanka, Indonesia, các nước Trung Phi, Thổ Nhĩ Kỳ, Argentina và Nga [2].
Theo thống kê của Tổ chức Nông lương Liên Hiệp Quốc, sản lượng chè của các nước trên Thế giới từ năm 2006 đến năm 2013 được thống kê trong bảng 1.1 [20].
Bảng 1.1. Sản lượng chè của các nước trên thế giới (đơn vị tính: nghìn tấn)
Từ 2006- Đến 2008 | Năm 2009 | Năm 2010 | Năm 2011 | Năm 2012 | Năm 2013 | |
Thế giới | 3891.2 | 4040.0 | 4364.7 | 4627.0 | 4784.5 | 5063.9 |
Viễn đông | 2892.2 | 3089.7 | 3280.3 | 3579.1 | 3753.3 | 3965.6 |
Bangladesh | 56.8 | 60.0 | 60.0 | 59.6 | 62.5 | 66.2 |
Trung Quốc (Đại lục) | 1150.5 | 1344.4 | 1475.1 | 1623.2 | 1789.8 | 1924.5 |
Ấn Độ | 986.4 | 982.1 | 970.3 | 1119.7 | 1129.0 | 1200.4 |
Indonesia | 150.3 | 156.9 | 156.6 | 150.8 | 150.9 | 152.7 |
Sri Lanka | 311.3 | 291.2 | 331.4 | 327.5 | 328.4 | 343.1 |
Việt Nam | 158.0 | 177.3 | 192.0 | 202.1 | 200.0 | 185.0 |
Châu Phi | 535.9 | 520.5 | 616.1 | 591.7 | 580.2 | 649.5 |
Kenya | 345.2 | 318.3 | 403.3 | 383.1 | 373.1 | 436.3 |
Malawi | 44.9 | 52.6 | 51.6 | 47.1 | 42.5 | 46.5 |
Rwanda | 19.1 | 20.5 | 22.2 | 24.1 | 24.7 | 25.2 |
Tanzania | 32.6 | 32.1 | 31.6 | 33.0 | 32.3 | 32.4 |
Uganda | 42.4 | 51.0 | 59.4 | 56.3 | 57.9 | 58.3 |
Zimbabwe | 12.4 | 7.3 | 8.6 | 8.4 | 8.5 | 8.5 |
Có thể bạn quan tâm!
-
Phân tích hàm lượng một số dạng crom, mangan trong lá chè trên địa bàn huyện Mộc Châu và huyện bắc yên tỉnh Sơn La - 1 -
Phân tích hàm lượng một số dạng crom, mangan trong lá chè trên địa bàn huyện Mộc Châu và huyện bắc yên tỉnh Sơn La - 2 -
Phân tích hàm lượng một số dạng crom, mangan trong lá chè trên địa bàn huyện Mộc Châu và huyện bắc yên tỉnh Sơn La - 4 -
Quá Trình Tạo Mixen Của Chất Hoạt Động Bề Mặt -
Điều Kiện Tự Nhiên Và Kinh Tế - Xã Hội Của Khu Vực Nghiên Cứu
Xem toàn bộ 175 trang tài liệu này.
97.7 | 89.8 | 107.4 | 107.8 | 98.3 | 95.0 | |
Argentina | 79.6 | 73.4 | 90.7 | 91.2 | 81.3 | 78.9 |
Brazil | 8.5 | 7.6 | 7.7 | 7.7 | 7.8 | 7.0 |
Vùng Cận Đông | 255.1 | 238.2 | 262.0 | 251.1 | 251.5 | 253.5 |
Iran | 41.4 | 39.6 | 27.0 | 29.5 | 26.5 | 26.5 |
Thổ Nhĩ Kỳ | 213.7 | 198.6 | 235.0 | 221.6 | 225.0 | 227.0 |
Châu Đại Dương | 7.1 | 7.2 | 7.2 | 6.6 | 6.4 | 6.5 |
Nhật Bản | 94.7 | 86.0 | 83.0 | 82.1 | 85.9 | 84.7 |
Mỹ La tinh và Ca-ri-bê
Nguồn: FAO, World tea produc tion and tradeCurrent and future development, 2015 Hiện nay, trên thế giới có các loại chè thương phẩm bao gồm: chè xanh, chè
đen, chè ôlong, chè trắng, chè vàng, chè đỏ và chè lên men. Tùy theo cách chế biến mà thu được các loại chè trên. Khoảng chừng 76 - 78% lượng chè sản xuất và tiêu thụ trên thế giới là chè đen, 20 - 22% là chè xanh, nhỏ hơn 2% là chè ôlong [20].
1.2.2. Thành phần hoá học trong lá chè
12.2.1. Các hợp chất hữu cơ
Thành phần hóa học của chè rất phức tạp bao gồm: polyphenol, ancaloit (caffein, theophylline và theobromine), axit amin, carbohydrate, protein, chất diệp lục, khoáng chất và các nguyên tố vi lượng, và một số hợp chất khác [2, 20].
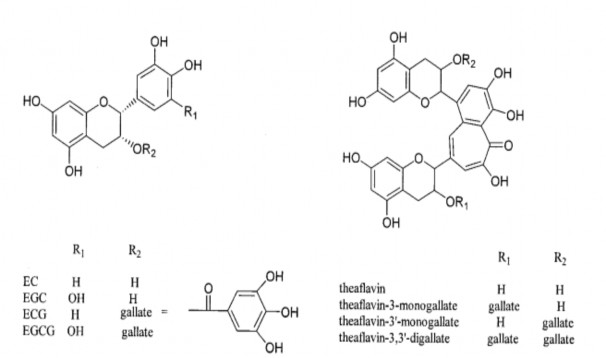
Trong số các chất polyphenol có trong trà, thì flavonoid là nhóm quan trọng nhất vì chính các chất nhóm này có tác dụng chống oxi hoá. Thành phần chính của flavonoid là các hợp chất flavanol, hay còn gọi là các catechin. Các hợp chất flavanol chính có trong chè là: catechin (C), epicatechin (EC), epicatechin gallate (ECG), gallocatechin (GC), epigallocatechin (EGC), và epigallocatechin gallate (EGCG) [21, 22, 23, 24, 25].

C. Cabrera và cộng sự đã dùng phương pháp sắc ký lỏng hiệu năng cao (HPLC) để xác định các chất EGCG, EGC, ECG, EC, gallic acid và caffeine trong 45 mẫu chè do một số quốc gia sản xuất. Kết quả thu được hàm lượng các chất được trình bày trong bảng 1.2 [26].
Bảng 1.2. Hàm lượng EGCG, ECG, EC, GA, caffeine trong 45 mẫu chè (mg/g)
Số mẫu | EGCG | EGC | ECG | EC | GA | caffeine | |
Chè xanh, SenCha (Nhật Bản) | 3 | 73.3 | 32.1 | 10.4 | 14.1 | 0.7 | 38.3 |
Chè đen, Assam (Bắc Ấn độ) | 3 | 27.9 | 3.9 | 11.5 | 7.4 | 2.5 | 47.4 |
Chè Ôlong (Trung Quốc) | 3 | 11.8 | 7.3 | 3.1 | 3.5 | 1.2 | 29.1 |
Chè đen, Keemun (Trung Quốc) | 3 | 12.3 | 20.1 | 4.4 | 4.0 | 3.1 | 41.5 |
Chè đỏ (Nam Phi) | 3 | 4.1 | 4.8 | 4.4 | 6.1 | 0.04 | 86.6 |
Chè đen, Ceylan (Sri Lanka) | 3 | 17.8 6 | 41.7 | 9.5 | 6.6 | 3.6 | 61.8 |
Chè hương liệu cam, Earl Grey (Trung Quốc) | 3 | 12.5 | 40.7 | 9.6 | 4.9 | 6.7 | 48.9 |
Chè đen (Sri Lanka) | 3 | 30.1 | 33.7 | 13.5 | 9.1 | 2.8 | 67.4 |
3 | 94.8 | 39.7 | 45.6 | 21.2 | 1.4 | 25.7 | |
Chè xanh, Kokaicha (Nhật Bản) | 3 | 82.3 | 35.2 | 13.5 | 9.6 | 1.5 | 30.1 |
Chè đỏ, Pu-erh (Trung Quốc) | 3 | 1.4 | 5.8 | 0.2 | 0.6 | 0.04 | 7.5 |
Chè đen, Darjeeling (Ấn Độ) | 3 | 85.1 | 5.9 | 20.6 | 11.4 | 4.5 | 45.0 |
Chè xanh, Bancha (Nhật Bản) | 3 | 84.2 | 45.3 | 14.4 | 13.8 | 0.7 | 28 |
Chè xanh, Paimutan (Trung Quốc) | 3 | 103.5 | 44.1 | 23.0 | 8.1 | 0.3 | 34.4 |
Chè xanh (Trung Quốc) | 3 | 77.1 | 24.3 | 14.8 | 9.8 | 0.8 | 37.4 |
Chè xanh, Jasmine
L. S. Lee và các cộng sự đã phân tích hàm lượng các thành phần hóa học trong 4 mẫu chè xanh Hàn Quốc sử dụng phương pháp HPLC và đầu dò sử dụng đầu dò diod array tử ngoại (PDA-UV). Kết quả hàm lượng các chất trong các mẫu chè như sau: Theanine 2,19 - 6,46 mg/g, Theobromine 2,83 - 8,81 mg/g, Caffeine 26,74 - 29,54 mg/g, Gallo catechin 2,28 - 3,65 mg/g, EGC 30,52 - 40,34 mg/g, catechin 0,99
- 2,48 mg/g, EC 11,84 - 12,59 mg/g, EGCG 103,95 - 112,86 mg/g, GCG 5,61 - 6,76
mg/g, ECG 38,14 - 41,19 mg/g, Gallated catechins 148,85 - 158,07 mg/g, tổng hàm lượng các catechin 200,40 - 215,19 mg/g [27].
Phạm Thành Quân và cộng sự xác định hàm lượng các hợp chất catechin và cafein trong 5 loại chè ở Bảo Lộc - Lâm Đồng bằng phương pháp trích ly có hỗ trợ vi sóng và phân tích bằng phương pháp HPLC. Kết quả thu được tính theo khối lượng chè khô là: epicatechin (EC) 9,3-19,4 mg/g, epigallocatechin gallate (EGCG) 91,1- 163,0 mg/g, epigallocatechin (ECG) 16,3-28,2 mg/g, Catechin (C) 0,8-8,7 mg/g, caffeine 25,0-33,0 mg/g [28].
C. EGCG và ECG tăng dần từ lá già đến búp 1 tôm 3 lá, quy luật này là ngược lại với EGC [29].
Nguyễn Thị Thanh Mai và cộng sự phân tích thành phần cơ giới và thành





