thấm hướng vào đất thì làm đất tăng ẩm và giảm áp lực nước lỗ rỗng âm.
Đối với đất không bão hòa, Fredlund và cộng sự (1978) đề xuất sử dụng tổ hợp biến trạng thái ứng suất là ứng suất pháp thực (- ua) và lực hút dính (ua-uw) để biểu thị cường độ kháng cắt, phương trình có dạng [20], [23], [34]:
f=c’+(-ua)tg’+(ua-uw) tgb (2.2)
Trong đó: f - cường độ kháng cắt của đất; c’ - lực dính đơn vị; (– ua) - ứng suất pháp thực; (ua – uw) - lực hút dính; ’ - góc ma sát trong; b - góc má sát biểu thị lượng tăng của cường độ kháng cắt theo lực hút dính (góc ma sát biểu kiến); - ứng suất pháp tổng; uw - áp lực nước lỗ rỗng; ’- góc ma sát trong; ua- áp lực khí lỗ rỗng.
So với đất bão hòa, cường độ kháng cắt của đất không bão hòa có thêm thành phần (ua-uw) tgb, đại lượng này thể hiện sự gia tăng cường độ kháng cắt của đất không bão hòa so với đất bão hòa là do lực hút dính. Sự tăng áp lực nước lỗ rỗng trong đất sẽ làm suy giảm sức kháng cắt của đất dẫn đến hiện tượng sạt, trượt lở của các mái đất.
2.1.3. Các biến dạng bãi thải
Việc biến dạng xảy ra trên sườn dốc đổ thải là kết quả sự mất cân bằng bên trong một khối vật liệu trong toàn bộ sườn dốc. Các biến dạng tại bãi thải thường do tính chất đất đá thải, điều kiện nền bãi thải gây nên sự thay đổi các thông số bãi thải, trượt lở mất ổn định.
2.1.3.1. Các dạng trượt lở liên quan tới tính chất nền thải
Trượt lở có liên quan tới tính chất nền bãi thải gồm các dạng sau [9]:
a) Trượt lở dạng khối quay
Các bề mặt trượt lở trường hợp này tương tự như trong trường hợp trượt lở dạng khối trên bề mặt sườn thải ngoại trừ bề mặt trượt mở rộng sâu vào trong khối đất đá. Quá trình trượt lở này có thể xảy ra tại những nơi mà nền đất đá yếu, hoặc áp lực cao ở bên trong khối.
b) Trượt lở khối không tuần hoàn
Hiện tượng trượt lở này thường được đề cập tới như là một dạng mất ổn định cơ bản mà tương tự như trường hợp trượt lở khối quay, ngoại trừ phần bề mặt trượt lở
chỉ xảy ra ở trên mặt yếu. Bề mặt này có thể xảy ra dọc theo mặt tiếp xúc giữa lớp đất đá thải và phần nền hoặc ở bên trong khu vực nền. Loại trượt lở này có thể xảy ra tại nơi mà đất đá thải được đặt trên các sườn dốc cao, nơi mà các bề mặt yếu liên kết thấp xảy ra bên trong nền đất đá gốc, tại những nơi mà đất đá nền có tính chất yếu hơn đất đá thải hoặc là ở những nơi mà có các cấu trúc địa chất không ổn định.
c) Trượt lở dạng khối nêm
Dạng trượt lở này liên quan tới khối trượt đất đá thải giống như là một loạt các khối bloc tương tác hoặc các khối nêm bị chia cắt bởi các bề mặt không liên tục. Quá trình trượt lở luôn liên quan tới hiện tượng trượt dọc theo một mặt yếu tương tự như là trượt lở không tuần hoàn. Khối trượt diễn ra theo nhiều cách thức khác nhau, phụ thuộc vào số lượng và quá trình phân rã của các khối liên quan.
d) Hiện tượng dịch chuyển nền thải
Hiện tượng dịch chuyển khu vực nền tương tự như trượt lở bề mặt và liên quan tới chuyển động khối của toàn bộ bãi thải giống như một khối gắn kết, trượt dọc theo một bề mặt yếu tại nền bãi thải. Cũng như các dạng trượt lở khác, quá trình này có thể gây tác hại bởi các giá trị áp lực cao ở bên trong nền thải.
e) Sự hóa lỏng
Nếu như hiện tượng hóa lỏng xảy ra trong đất đá hoặc lớp đất đá kém gắn kết trong khu vực nền, toàn bộ bãi thải có thể bị dịch chuyển hoặc trượt lở liên tiếp có thể xảy ra. Hiện tượng này xảy ra trong những loại đất đá yếu thông thường bao gồm những loại đất hạt mịn tới trung bình. Quá trình trượt lở xảy ra khi mà các giá trị ứng suất gắn kết trong đất đá trở nên suy yếu do các áp lực trương nở trong đất đá. Những áp lực này sinh ra từ các quá trình vận động như động đất hoặc khi mà đất đá nền được chất quá nhanh vượt giá trị áp lực piezometric để có thể được triệt tiêu.
Quá trình trượt lở đối với dạng đất đá thải có tính thấm đồng thời cũng có thể xảy ra, tuy nhiên loại trượt lở này thường phổ biến nhất đối với những khu vực sườn dốc có ngấm nước, hoặc tại những bãi thải với mức độ ngấm nước tương đối cao.
f) Trượt chân tầng
Hiện tượng trượt chân tầng đồng thời được coi như dạng mở rộng đất đá thải ở phần chân bãi thải, liên quan tới quá trình trượt của lớp vật liệu lớp chân bãi thải hoặc trượt lở xảy ra do quá trình giải phóng đất đá mềm yếu khu vực nền. Quá trình
này có thể xảy ra ở tại những khu vực đất đá nền yếu, các sườn dốc bãi thải dốc nghiêng cục bộ hoặc ở tại những khu vực áp lực cao trong nền. Tại những vị trí nền đất đá yếu, quá trình trượt của đất đá tại vị trí chân tầng có thể dẫn tới làm gia tăng quá trình trượt lở của toàn bộ bãi thải.
g) Trượt do hoạt động địa chất
Các hoạt động địa chất trong khu vực nền gây dịch chuyển nền làm thay đổi đột ngột kết cấu khối đất đá thải. Trong trường hợp này do có sự cộng hưởng giữa dịch động nền và khối trượt nên phạm vi ảnh hưởng có thể rất lớn. Khi các hoạt động địa chất xảy ra ở vùng lân cận gây chấn động làm giảm độ bền trong đất đá thải và nền, chấn động đủ lớn sẽ gây trượt lở bãi thải.
Các biến dạng và các yếu tố gây nên biến dạng có liên quan tới tính chất nền bãi thải được thể hiện trong Bảng PL2.1 chương 2.
2.1.3.2. Trượt lở do tính chất đất đá thải
a) Trượt lở tại mép tầng
Dạng trượt lở tại các mép tầng bãi thải thường liên quan tới hiện tượng trượt của một lớp đất đá thải tại mép tầng, song song với sườn dốc tầng thải. Loại trượt lở này thông thường phát sinh tại những khu vực tầng thải có độ dốc lớn, một phần gây ra bởi sự xuất hiện của những loại đất đá có hạt nhỏ mịn hoặc có độ gắn kết. Trong những trường hợp này, trượt lở thường xảy ra khi mà sự ảnh hưởng của nước bề mặt gây tác động trương nở bên trong khối vật liệu dẫn đến làm giảm lực dính kết đất đá.
Trượt lở tại khu vực mép tầng thông thường dẫn tới ảnh hưởng xấu cục bộ tại khu vực này, tuy nhiên toàn bộ khu vực đổ thải và phần nền thải không chịu ảnh hưởng. Dạng trượt lở này thường xảy ra tại các bãi thải được xây dựng theo các lớp thải dày, hoặc tại những bãi thải mà đất đá thải có chứa nhiều loại cỡ hạt nhỏ mịn.
b) Trượt lở theo sườn tầng
Quá trình trượt lở liên quan tới hiện tượng trượt của một lớp đất đá thải dọc theo một bề mặt sườn dốc của tầng thải. Các bề mặt yếu có thể được sinh ra trong suốt quá trình xây dựng nếu đất đá thải có tính chất yếu hoặc dạng hạt mịn được đổ qua các khu vực mép tầng và tạo ra các khu vực hoặc các lớp song song với bề mặt
bãi thải. Các mặt yếu đồng thời tạo thành nếu đất đá được đổ qua khu vực bề mặt xuất lộ với giá trị sức kháng kéo thấp trong bãi thải. Các giá trị áp lực cao trong bãi thải có thể đồng thời gây ra hiện tượng trượt lở bề mặt. Trong trường hợp bề mặt yếu song song với bề mặt bãi thải, mặt trượt giống như trường hợp trượt lở ở mép, không kể bề mặt trượt lở thường ăn sâu hơn vào trong khối đất đá thải.
c) Trượt lở theo khối chuyển động bề mặt
Khối trượt trong trường hợp này phát triển theo một bề mặt cong hoặc dạng cong tuyến tính được tạo thành bên trong tầng thải. Trường hợp trượt lở đặc biệt xảy ra liên quan tới quá trình chuyển động của ứng suất kéo uốn trong khối đá, mà không có chuyển động dọc theo một bề mặt trượt lở đơn. Đây là một quá trình diễn biến lâu dài, kết thúc tại khu vực chân của bãi thải. Khối trượt lở thường liên kết với các khối đất đá không đồng nhất bao gồm các loại đất đá yếu, hạt mịn, kém ổn định. Các khối trượt đồng thời có thể sinh ra dưới tác động của áp lực cao của nước ngầm trong bãi thải.
2.1.3.3. Trượt lở do tác dụng dòng nước
Những trượt lở sinh ra trong trường hợp này liên quan tới hiện tượng trôi trượt của khối đất đá tại khu vực sườn hoặc bề mặt tầng thải. Thể tích và tốc độ của dòng vật liệu có thể làm tăng quá trình hình thành khối trượt. Dòng vật liệu trượt lở có thể phát triển tương ứng với quá trình tăng độ ẩm và trương nở, sự phát triển của các lớp nước, và quá trình tập trung của các dòng chảy bề mặt. Nhìn chung, hiện tượng trượt lở thường xảy ra ở mức độ cao hơn đối với những loại đất đá có mật độ thấp, hạt nhỏ và mức độ gắn kết yếu.
Tổng hợp các dạng mất ổn định bãi thải do quá trình đổ thải được trình bày trong Bảng PL2.2 chương 2.
2.2. CÁC YẾU TỐ ẢNH HƯỞNG ĐẾN CÔNG TÁC ĐỔ THẢI
Công tác đổ thải tại các bãi thải mỏ lộ thiên gồm các công việc: Lựa chọn vị trí đổ thải, các thông số bãi thải đảm bảo yêu cầu đặt trước, xây dựng và thực hiện công nghệ đổ thải và các giải pháp đảm bảo ổn định khi kết thúc đổ thải.
Có rất nhiều yếu tố khác nhau ảnh hưởng tới độ ổn định của bãi thải. Các yếu tố này được phân loại ra như sau:
a. Yếu tố bên ngoài:
- Tính chất nền bãi thải: đặc điểm địa mạo chiều dày, tính chất các lớp đất đá nền bãi thải. Khả năng chống giữ của nền có ảnh hưởng trực tiếp tới độ ổn định của sườn dốc bãi thải. Nền sườn dốc với khả năng chống giữ thấp có thể dẫn tới hủy hoại sườn dốc bãi thải do nền bị phá hủy.
- Điều kiện thoát nước và địa chất thủy văn của khu vực nền bãi thải: mực nước ngầm, độ dốc thủy lực, độ thấm, lượng mưa, thực vật phủ bề mặt; lượng nước chảy và xâm nhập vào bãi thải.
- Chấn động địa chấn và nổ mìn.
- Phương pháp xây dựng bãi thải: đổ theo chu vi, diển tích, thiết bị,…
- Các thông số bãi thải: chiều cao tầng, bề rộng mặt tầng, chiều cao bãi thải, góc dốc sườn tầng, góc dốc toàn bãi thải.
b. Yếu tố bên trong:
Tính chất vật liệu đổ thải, cỡ hạt, độ ẩm, độ lu lèn, sự phong hóa, các thông số cơ lý.
2.2.1. Ảnh hưởng của lượng mưa tới ổn định bãi thải
Áp lực nước lỗ rỗng không cố định theo thời gian trong bãi thải và có thể thay đổi do điều kiện môi trường. Điều này ảnh hưởng đến sức hút và sự gắn kết liên quan đá thải, do đó ảnh hưởng đến độ ổn định mái dốc của đất đá không bão hòa. Ví dụ, một lượng mưa lớn có thể làm tăng mức độ bão hòa dẫn đến giảm lực dính kết, trong khi lượng mưa vừa phải hơn có thể ảnh hưởng đến lực dính kết chỉ ở một số khu vực tầng thải.
Áp lực nước lỗ rỗng ban đầu, cường độ mưa và các đặc tính thủy lực (địa chất thủy văn) của vật liệu (giữ nước và dẫn thủy lực) là những đặc điểm chính ảnh hưởng đến lượng nước xâm nhập vào bãi thải [33], [34], [40], [44], [46], [78]. Mô hình số có thể được sử dụng để xác định sự phân bố hút (Áp lực nước lỗ rỗng âm) và phát triển do xâm nhập. Do sự phức tạp của quy trình, nên sử dụng phương pháp tính toán ghép nối. Áp lực nước lỗ rỗng và sự phân bố ứng suất được tính toán riêng biệt sau đó kết hợp để đánh giá ảnh hưởng đến hệ số an toàn.
NCS sử dụng bộ phần mềm Geo-Studio 2018 là phiên bản cập nhật hiện nay
để phân tích ổn định mái dốc với hai mô đun là SEEP/W và SLOPE/W. Trong đó, mô đun SEEP/W được dùng để phân tích thấm không ổn định theo thời gian nhằm xác định sự thay đổi của đường bão hòa trong mái dốc khi có mưa.
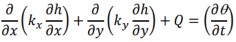
SEEP/W sử dụng phương pháp phần từ hữu hạn để giải quyết bài toán thấm hai hướng với phương trình vi phân có dạng sau [34]:
(2.3)
Trong đó: h - cột nước tổng; kx - hệ số thấm của đất theo phương x; ky - hệ số thấm của đất theo phương y; Q - điều kiện biên của dòng chảy tác dụng lên bề mặt mái dốc; - độ ẩm thể tích; t - thời gian.
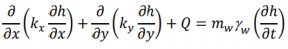
Do = mwuw và h = (uw/w)+y nên phương trình (2.3) có thể viết dưới dạng sau [34]:
(2.4)
Trong đó: mw - độ dốc của SWCC; uw - áp lực nước lỗ rỗng; w - trọng lượng thể tích của nước; y - thế năng.
Sau đó, mô đun SLOPE/W được sử dụng ghép đôi với mô đun SEEP/W để phân tích ổn định mái dốc. Mô đun SLOPE/W cho phép phân tích ổn định mái dốc theo nhiều phương pháp khác nhau.
Các đặc trưng cơ bản của đất bao gồm trọng lượng riêng tự nhiên, góc ma sát trong, lực dính đơn vị, hệ số thấm bão hòa, độ ẩm thể tích bão hòa được xác định bằng thực nghiệm.
Các công trình [52], [55], [57], [59], [61], [64], [78] đã xây dựng mô hình nước mưa xâm nhập vào các bãi thải và ảnh hưởng tới ổn định theo các trường hợp bãi thải S1 tầng với các chiều cao Ht = 20÷120 m; các bãi thải S2, S3, S4 tương ứng với 2 tầng thải, chiều cao bãi thải 20 m (S21 có lớp lu lèn bề mặt nằm ngang, S11 không có lu lèn; S35 mặt tầng nghiêng 5% và có lu lèn); mực nước ngầm cách nền bãi thải 7 m (Hình 2.5).
| |
a) Bãi thải S1: Ht=20 m; 40 m; 80 m; 120 m; α = β = 37 ° | b) Bãi thải S11: Ht = 20 m; Lt = 0 m; α = 26°; β = 37° |
|
|
c) Bãi thải S21: Ht =20 m; Lt=1 m; α = 26°; β = 37° | d) Bãi thải S35: Ht=20 m; Lt=1 m; α =26°; β = 37° |
Có thể bạn quan tâm!
-
Công Tác Đổ Thải Và Quản Lý Bãi Thải Tại Liên Bang Nga -
Xói Lở Các Tầng Thải Từ Mức +200÷+60 M Gây Bồi Lấp Mặt Bằng +58 [5] -
Các Chỉ Tiêu Cơ Lý Đất Đá Theo Chiều Sâu Tại Bãi Thải Chính Bắc [68] -
Sự Thay Đổi Hệ Số Ổn Định Bãi Thải Với Lượng Mưa 37 Cm/ngày -
Mối Quan Hệ Giữa Hệ Số An Toàn Fs Và Tỷ Lệ Không Thứ Nguyên C/γht, Cho Đống Đá Thải Có = 30°, 37° Và 45 ° Và C = 1, 5, 10 Và 25 Kpa; A) Trường -
Vị Trí Lấy Mẫu Đất Đá Thải Tại Các Bãi Thải Vùng Cẩm Phả Năm 2015
Xem toàn bộ 222 trang tài liệu này.
Hình 2.5. Mô hình tính toán ảnh hưởng của nước mưa tới các loại bãi thải [52]
- Phân tích ứng suất phần tử hữu hạn được thực hiện với SIGMA / W cho giá trị của σx, σy và τxy trong bãi thải. Hình 2.6 trình bày một biểu đồ đường bao điển hình của tổng ứng suất dọc trong tầng thải của bãi thải S1. Ứng suất thẳng đứng bị ảnh hưởng bởi trọng lượng bãi thải và có xu hướng tăng theo chiều sâu. Đường bao σy = 50 kPa nằm ở một khoảng cách khác so với mặt đất bề mặt, và nó gần bề mặt hơn dọc theo độ dốc nghiêng và gần khu vực chân tầng, có nghĩa là rằng trọng lượng bãi thải không chỉ ảnh hưởng đến ứng suất thẳng đứng mà còn bị ảnh hưởng bởi ứng suất cắt gây ra trên bề mặt nghiêng.
- Sự phát triển của áp lực nước trước khi mưa, sau khi mưa 90, 180, 270 và 365 ngày với cường độ mưa 3,16 × 10-9 m/s tại bãi thải S2 thể hiện trên Hình 2.7.
Qua hình này cho thấy: áp lực nước lỗ rỗng âm tăng dần theo thời gian mưa. Giá trị của áp suất nước lỗ rỗng âm giảm (từ -6 kPa xuống -5 kPa và cao hơn) từ bề mặt mái dốc, nó cũng cho thấy rằng đá thải nén chặt không ngăn cản nước thấm xuống đáy và hướng vào bãi thải. Sự thấm cũng làm thay đổi sự phân bố áp lực
nước lỗ rỗng trong nền bãi thải.
| |
Bãi thải S1 | Bãi thải S21 |
Hình 2.6. Tổng ứng suất dọc σ các đường bao (kPa) khi tính toán với SIGMA / W tại bãi thải

Hình 2.7: Đánh giá áp lực nước lỗ rỗng (kPa) tại bãi thải S21 với lượng mưa 3,16.10-9 × m/s a) trước lượng mưa; b) sau 90 ngày; c) sau 180 ngày; d) sau 270 ngày; e) sau 365 ngày
Với lượng mưa 4,28.10-3 mm/s hay 37 cm/ngày, hệ số ổn định tại các bãi thải S11, S21 và S35 được thể hiện trên Hình 2.8.






![Xói Lở Các Tầng Thải Từ Mức +200÷+60 M Gây Bồi Lấp Mặt Bằng +58 [5]](https://tailieuthamkhao.com/uploads/2022/10/18/nghien-cuu-ky-thuat-do-thai-dat-da-hop-ly-nham-dam-bao-do-on-5-1-120x90.jpg)
![Các Chỉ Tiêu Cơ Lý Đất Đá Theo Chiều Sâu Tại Bãi Thải Chính Bắc [68]](https://tailieuthamkhao.com/uploads/2022/10/18/nghien-cuu-ky-thuat-do-thai-dat-da-hop-ly-nham-dam-bao-do-on-6-1-120x90.png)




