



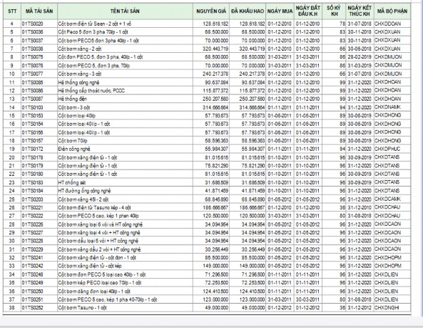
Phụ lục số 2.56: Thẻ TSCĐ cột bơm xăng dầu Tasuno tại CHXD Nghĩa Tân
Có thể bạn quan tâm!
-
Kế toán tài sản cố định tại Công ty Cổ phần xăng dầu dầu khí Hà Nội - 22 -
Kế toán tài sản cố định tại Công ty Cổ phần xăng dầu dầu khí Hà Nội - 23 -
Kế toán tài sản cố định tại Công ty Cổ phần xăng dầu dầu khí Hà Nội - 24
Xem toàn bộ 206 trang tài liệu này.




