Về nguyên tắc, các yêu cầu cần được hoàn chỉnh và chắc chắn. Mọi chức năng hệ thống cần được đặc tả và các yêu cầu không được mâu thuẫn. Tuy nhiên các thiếu sót là không thể tránh khỏi, do vậy tài liệu nên được cấu trúc dễ cho việc thay đổi. Nội dung nên được chia thành các chương. Sáu yêu cầu cần được thỏa mãn là:
- Mô tả các hành vi hệ thống bên ngoài
- Mô tả các ràng buộc về thực hiện
- Phải dễ thay đổi
- Phải là công cụ tham chiếu cho người bảo trì hệ thống
- Ghi được vòng đời của hệ thống
- Biểu thị được các đáp ứng chấp nhận được với các sự kiện không dự kiến Cấu trúc chung của tài liệu yêu cầu phần mềm gồm các phần như sau:
- Giới thiệu: mô tả sự cần thiết của hệ thống. Nó cần sự mô tả sơ lược các chức năng của mình và giải thích cách làm việc với các hệ thống khác. Nó cũng cần mô tả làm thế nào hệ thống đáp ứng được toàn bộ các mục tiêu chiến lược và nghiệp vụ.
- Thuật ngữ: nó cần định nghĩa các khái niệm kỹ thuật được sử dụng trong tài liệu này. Không được giả định người đọc đã có kinh nghiệm.
Có thể bạn quan tâm!
-
Mối Liên Hệ Giữa Các Kiểu Ứng Dụng Và Các Đặc Tính Dữ Liệu -
Đánh Giá Tính Phù Hợp Của Các Kỹ Thuật Thu Thập Yêu Cầu -
Các Công Việc Vủa Cán Bộ Phân Tích -
Mối Liên Quan Của Giai Đoạn Thiết Kế Với Các Giai Đoạn Khác -
Kiến Trúc Của Một Thư Viện Phim Và Hình Ảnh -
Yêu Cầu Về Chất Lượng Thiết Kế Cơ Sở Dữ Liệu
Xem toàn bộ 305 trang tài liệu này.
- Mô hình hệ thống: phần này lập một hoặc nhiều mô hình hệ thống cho biết các quan hệ giữa các cấu thành hệ thống với hệ thống và môi trường của nó. Nó cần bao gồm các mô hình đối tượng, mô hình luồng dữ liệu và ngữ nghĩa dữ liệu.
- Định nghĩa yêu cầu chức năng: các dịch vụ cung cấp cho người dùng cần được mô tả trong mục này. Mô tả có thể dùng ngôn ngữ tự nhiên, sơ đồ hoặc các dạng ghi chép khác cho phép khách hàng có thể hiểu được. Các dịch vụ cung cấp cho người dùng cần được mô tả trong mục này. Mô tả có thể dùng ngôn ngữ tự nhiên, sơ đồ hoặc các dạng ghi chép khác cho phép khách hàng có thể hiểu được.
- Định nghĩa yêu cầu phi chức năng: các ràng buộc về phần mềm và các hạn chế đối với thiết kế cần phải được mô tả trong phần này. Nó có thể bao gồm các chi tiết của biểu diễn dữ liệu, thời gian đáp ứng và yêu cầu bộ nhớ,...Các tiêu chuẩn về sản phẩm và quy trình cần tuân thủ cũng được mô tả.
- Tiến triển hệ thống: phần này mô tả các giả thiết căn bản làm cơ sở cho hệ thống và dự đoán các thay đổi về phát triển phần cứng, yêu cầu người dùng
- Đặc tả yêu cầu: mô tả các yêu cầu cơ bản chi tiết hơn. Nếu cần các chi tiết hơn có thể được thêm vào các yêu cầu phi chức năng, ví dụ giao diện với các hệ thống có thể được định nghĩa.
- Phần cứng: nếu hệ thống được phát triển trên một phần cứng đặc biệt, phần cứng này và giao diện cần được mô tả. Nếu phần cứng bán sẵn được sử dụng, các cấu hình cực tiểu và cực đại phải được mô tả.
- Yêu cầu dữ liệu: tổ chức logic của dữ liệu được sử dụng bởi hệ thống và các quan hệ giữa chúng được mô tả, có thể dùng sơ đồ thực thể liên kết.
- Chỉ mục có thể được cung cấp. Ví dụ chỉ mục theo chữ cái, chỉ mục theo chương, theo chức năng....
Do hệ thống được vận hành trong thời gian dài, nên môi trường hệ thống và mục đích nghiệp vụ có thể thay đổi. Khi đó tài liệu yêu cầu cũng cần phải thay đổi. Với mục đích tiến triển, tài liệu yêu cầu thường được chia theo hai phân loại:
- Các yêu cầu ổn định: được suy dẫn từ các hoạt động cốt lòi của tổ chức tương đối liên quan trực tiếp tới miền hệ thống.
- Các yêu cầu bất thường: các yêu cầu có thể thay đổi khi phát triển hệ thống sau này như: các yêu cầu xuất hiện như là sự hiểu biết của khách hàng về sự phát triển của hệ thống trong quá trình xây dựng hệ thống, các yêu cầu được sinh ra do sự xuất hiện của việc tin học hóa làm thay đổi các quy trình nghiệp vụ.
CÂU HỎI VÀ BÀI TẬP CHƯƠNG 4
1. Nêu các loại thông tin cần thiết liên quan đến yêu cầu phần mềm. Hãy xác định các loại thông tin cần thiết cho hệ thống: Quản lý điểm, Quản lý tuyển sinh, Quản lý lượng, Quản lý sinh viên, Quản lý thư viện, Quản lý mua bán hàng.
2. Nêu các yêu cầu của hệ thống phần mềm.
3. Nêu khái niệm yêu cầu chức năng. Phân loại các yêu cầu chức năng. Phân biệt sự khác nhau giữa yêu cầu hệ thống và yêu cầu của người sử dụng.
4. Nêu khái niệm yêu cầu phi chức năng. Phân loại các yêu cầu phi chức năng. Yêu cầu của người sử dụng là yêu cầu chức năng hay yêu cầu phi chức năng hay cả hai.
5. Nêu quy trình xác định yêu cầu. Nêu các nhiệm vụ chính của mỗi giai đoạn trong quy trình xác định yêu cầu.
6. Nêu các đối tượng thực hiện việc xác định yêu cầu. Nêu các bước xác định yêu cầu.
7. Nêu các hiện trạng cần xác định khi khảo sát hiện trạng.
8. Nêu các bước xác định:
- Yêu cầu chức năng nghiệp vụ
- Yêu cầu chức năng hệ thống
- Yêu cầu phi chức năng
9. Nêu các công việc của cán bộ phân tích.
10. Nêu các phẩm chất của cán bộ phân tích.
11. Đặc tính dữ liệu là gì? Mục đích của việc tìm hiểu đặc tính dữ liệu.
12. Nêu các kỹ thuật thu thập dữ liệu.
13. Nêu mục đích và các nguyên lý của giai đoạn phân tích yêu cầu.
14. Nêu các phương pháp phân tích yêu cầu. Nêu các mô hình của phương pháp phân tích có cấu trúc .
15. Nêu các ký pháp cơ bản của sơ đồ luồng dữ liệu. Trình bày sơ đồ tổng quát của sơ đồ luồng dữ liệu.
16. Nêu các ký pháp của sơ đồ thực thể liên hệ.
17. Nêu một số công việc và một số công cụ sử dụng trong phương pháp phân tích hướng đối tượng.
18. Cấu trúc của một tài liệu đặc tả yêu cầu hệ thống phải bao gồm những nội dung
gì?
19. Xét phần mềm Quản lý học sinh, nhà phát triển phần mềm cần thu thập thông
tin liên quan đến học sinh để giúp cho quá trình phân tích và thiết kế về dữ liệu. Vậy nhà phát triển phần mềm nên chọn kỹ thuật thu thập thông tin nào.
20. Xét phần mềm Quản lý học sinh, nhà phát triển phần mềm cần thu thập thông tin liên quan đến yêu cầu về giao diện và hình thức thao tác của các chức năng. Vậy nhà phát triển phần mềm nên chọn kỹ thuật thu thập thông tin nào.
21. Xét hệ thống quản lý điểm của một Khoa trong Trường Đại học A.
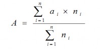
- Giáo vụ khoa phải thực hiện các công việc nghiệp vụ sau: Nhận bảng điểm (mẫu M2-01) từ giáo viên và cập nhật vào sổ điểm chung; tìm kiếm thông tin về điểm của sinh viên; tính điểm trung bình học kỳ và điểm trung bình tích lũy biết rằng điểm trung bình được tính theo công thức

Trong đó A là điểm trung bình chung học kỳ hoặc điểm trung bình chung tích lũy, ai là điểm của học phần thứ i, ni là số tín chỉ của học phần thứ i, n là tổng số học phần; in bảng điểm học kỳ (Mẫu M2-03), in bảng điểm tích lũy (Mẫu M2-04).
- Yêu cầu đối với hệ thống mới: Người quản trị được thực hiện được tất cả các chức năng, giáo vụ khoa tất cả các chức năng ngoại trừ chức năng phân quyền; cho phép thay đổi công thức tính điểm trung bình học kỳ và điểm trung bình tích lũy; cho phép nhập điểm vào cơ sở dữ liệu từ tập tin Excel và xuất ra bảng điểm dưới dạng tập tin Excel; cho phép in ấn các mẫu biểu một cách nhanh chóng, thuận tiện; hệ thống được sử dụng trên môi trường Internet và tích hợp vào được cổng thông tin trung trong toàn Trường.
Hãy xác định các yêu cầu của hệ thống quản lý điểm trên.
22. Xét hệ thống quản lý tuyển sinh của Trường Đại học A.
- Ban tuyển sinh phải thực hiện các công việc nghiệp vụ sau: Nhận hồ sơ từ thí sinh và cập nhật vào tệp hồ sơ; nhập kết quả thi (Mẫu KQT) từ Ban chấm thi; xét đỗ trượt biết rằng thí sinh đỗ là thí sinh có tổng điểm 3 môn và điểm cộng lớn hơn 15 và không có môn nào nhỏ hơn 1; in giấy báo dự thi (Mẫu GBDT), in danh sách phòng thi (Mẫu DSPT), in kết quả thi (Mẫu KQT), in giấy báo nhập học (Mẫu GNH).
- Yêu cầu đối với hệ thống mới: Chỉ có trưởng ban tuyển sinh mới có quyền sửa điểm sau khi phúc khảo, thí sinh chỉ được phép tra cứu điểm; cho phép thay đổi qui định xét đỗ trượt; cho phép nhập điểm vào cơ sở dữ liệu từ tập tin Excel và xuất ra kết quả thi dưới dạng tập tin PDF; tốc độ nhập liệu cho mỗi hồ sơ không quá 20 giây; cho phép in ấn các mẫu biểu một cách nhanh chóng, thuận tiện; hệ thống được được viết bằng ASP.Net và C#; hệ thống có khả năng sao lưu và phục hồi dữ liệu khi có sự cố.
Hãy xác định các yêu cầu của hệ thống quản lý tuyển sinh trên.
23. Xét hệ thống quản lý lương của Trường Đại học A.
- Nhân viên phòng Tổ chức cán bộ phải thực hiện các công việc nghiệp vụ sau: Khi nhân viên mới đến nhận việc thì thông tin của nhân viên được cập nhật vào tệp hồ sơ; tính lương hàng tháng biết rằng tiền lương = (hệ số lương+ hệ số phụ cấp)*1015; in bảng lương (Mẫu BL), lập danh sách tăng lương (Mẫu TL), lập danh sách về hưu (Mẫu VH).
- Yêu cầu đối với hệ thống mới: Chỉ có Trưởng phòng Tổ chức cán bộ mới có quyền sửa hệ số lương và hệ số phụ cấp của nhân viên, nhân viên chỉ được phép tra cứu thông tin về lương; cho phép thay đổi công thức tính lương; tốc độ nhập liệu cho mỗi hồ sơ không quá 20 giây; cho phép in ấn các mẫu biểu một cách nhanh chóng, thuận tiện; hệ thống được được viết bằng VB.Net; hệ thống có khả năng bảo mật thông tin cá nhân của nhân viên; hệ thống có thể kết nối với các hệ thống ngân hàng.
Hãy xác định các yêu cầu của hệ thống quản lý lương trên.
24. Xét hệ thống bán vé tàu tự động, trích một đoạn tài liệu đặc tả: “Người sử dụng chọn đích đến và đưa thẻ thanh toán vào máy, rồi nhập số PIN. Vé được in ra và tài khoản của người sử dụng bị thay đổi”.
a) Hãy phát hiện những nhập nhằng trong đoạn tài liệu đặc tả yêu cầu trên và sửa chúng.
b) Bổ sung thêm các yêu cầu phi chức năng của hệ thống.
c) Vẽ biểu đồ trình tự mô tả các hành động của hệ thống.
25. Xét phần mềm quản lý học sinh với nghiệp vụ tiếp nhận hồ sơ học sinh có biểu mẫu và quy định như sau:

Hãy lập sơ đồ luồng dữ liệu và sơ đồ thực thể liên hệ.
26. Xét phần mềm quản lý bán hàng với nghiệp vụ lập phiếu thu tiền của khách hàng có biểu mẫu và quy định như sau:

Hãy lập sơ đồ luồng dữ liệu và sơ đồ thực thể liên hệ.
27. Xét phần mềm quản lý các đại lý với nghiệp vụ tiếp nhận hồ sơ đại lý có biểu mẫu và quy định như sau:

Hãy lập sơ đồ luồng dữ liệu và sơ đồ thực thể liên hệ.
28. Xét phần mềm quản lý giải vô địch bóng đá quốc gia có biểu mẫu và quy định như sau:

Hãy lập sơ đồ luồng dữ liệu và sơ đồ thực thể liên hệ.
29. Chọn một phương án tốt nhất cho các câu hỏi sau:
1) Các tính chất nào dưới đây là đặc tính dữ liệu ?
a. Tính định hướng thời gian b. Tính cấu trúc
c. Tính đầy đủ d. Cả a, b, c
2) Kỹ thuật thu thập dữ liệu nào sau đây sẽ giúp thu thập thông tin phục vụ cho giai đoạn phân tích hệ thống về mặt dữ liệu ?
a. Phỏng vấn b. Họp nhóm
c. Quan sát d. Xem xét tài liệu
3) Kỹ thuật thu thập dữ liệu nào sau đây được thực hiện bằng cách tập hợp một số lượng ít người - thường với một hoặc hai người - cho một thời gian cố định với một mục đích cụ thể ?
a. Phỏng vấn b. Họp nhóm
c. Quan sát d. Xem xét tài liệu
4) Kỹ thuật thu thập dữ liệu nào sau đây được thực hiện bằng cách tập hợp ba hoặc nhiều hơn một số người cho một thời hạn nhất định để thảo luận một số chủ đề ?
a. Ấn định công việc tạm thời b. Họp nhóm
c. Quan sát d. Xem xét phần mềm
5) Kỹ thuật thu thập dữ liệu nào sau đây được thực hiện bằng cách ngồi một chỗ và ghi chép các hoạt động, các bước xử lý công việc ?
a. Ấn định công việc tạm thời b. Điều tra qua câu hỏi
c. Phỏng vấn d. Quan sát
6) Kỹ thuật thu thập dữ liệu nào sau đây được thực hiện bằng cách làm quen thuộc với phần lớn các công việc thông thường và các tình huống ngoại lệ?
a. Ấn định công việc tạm thời b. Xem xét phần mềm
c. Phỏng vấn d. Họp nhóm
7) Kỹ thuật thu thập dữ liệu nào sau đây được thực hiện bằng cách xây dựng các câu hỏi để phỏng vấn trên giấy hoặc máy tính ?
a. Ấn định công việc tạm thời b. Phỏng vấn
c. Điều tra qua câu hỏi d. Họp nhóm
8) Kỹ thuật thu thập dữ liệu nào sau đây được thực hiện bằng cách xem xét các cẩm nang, quy định, các thao tác chuẩn mà tổ chức cung cấp ?
a. Xem xét tài liệu b. Phỏng vấn
c. Điều tra qua câu hỏi d. Xem xét phần mềm
9) Yêu cầu nào dưới đây là yêu cầu của hệ thống phần mềm ?
a. Yêu cầu chức năng b. Yêu cầu nhân sự
c. Yêu cầu môi trường d. Cả b và c
10) Yêu cầu nào dưới đây là yêu cầu chức năng nghiệp vụ ?
a. Chức năng tra cứu b. Chức năng sao lưu
c. Chức năng phân quyền d. Định cấu hình thiết bị
11) Yêu cầu nào dưới đây là yêu cầu chức năng hệ thống ?
a. Chức năng tra cứu b. Chức năng kết xuất
c. Chức năng phân quyền d. Chức năng tính toán
12) Yêu cầu nào dưới đây là yêu cầu sản phẩm phần mềm ?
a. Yêu cầu sử dụng b. Yêu cầu tương thích
c. Yêu cầu chuyển giao d. Yêu cầu riêng tư
13) Yêu cầu nào dưới đây là yêu cầu của tổ chức ?
a. Yêu cầu hiệu quả b. Yêu cầu cài đặt
c. Yêu cầu an toàn d. Yêu cầu hợp quy tắc
trúc ?
14) Yêu cầu nào dưới đây là yêu cầu ngoài ?
a. Yêu cầu không gian b. Yêu cầu hợp chuẩn
c. Yêu cầu độ tin cậy d. Yêu cầu về luật
15) Mô hình nào sau đây là mô hình của phương pháp phân tích có cấu
a. Mô hình ERD b. Mô hình đối tượng
c. Mô hình động học d. Mô hình chức năng
16) Mô hình nào sau đây là mô hình của phương pháp phân tích hướng
đối tượng ?
a. Mô hình ERD b. Mô hình DFD
c. Mô hình động học d. Mô hình FHD






