
Biểu đồ 3.6. Diễn biến thành tích Cơ lưng (lần/20s) qua 3 giai đoạn
So sánh trên biểu đồ 3.6 thì diễn biến thành tích cơ lưng (lần/20s) qua 3 giai đoạn có xu hướng tăng. Ở giai đoạn 3, giá trị trung vị và bách phân vị ở vùng cao, song vẫn cao hơn giai đoạn 1 và 2.

Biểu đồ 3.7. Diễn biến thành tích Chạy 20m XPC (s) qua 3 giai đoạn
So sánh trên biểu đồ 3.7 thì diễn biến thành tích chạy 20m XPC (s) qua 3 giai đoạn có xu hướng tăng. Ở giai đoạn 3, giá trị trung vị và bách phân vị ở vùng thấp, song vẫn cao hơn giai đoạn 1 và 2.

Biểu đồ 3.8. Diễn biến thành tích Chạy con thoi 4x10m (s) qua 3 giai đoạn
So sánh trên biểu đồ 3.8 thì diễn biến thành tích chạy con thoi 4x10m
(s) qua 3 giai đoạn có xu hướng tăng. Ở giai đoạn 3, giá trị trung vị và bách phân vị ở vùng trung bình, song vẫn cao hơn giai đoạn 1 và 2.

Biểu đồ 3.9. Diễn biến thành tích Test Cooper (m) qua 3 giai đoạn
So sánh trên biểu đồ 3.9 thì diễn biến thành tích test Cooper (m) qua 3 giai đoạn có xu hướng tăng. Ở giai đoạn 3, giá trị trung vị và bách phân vị ở vùng trung bình, song vẫn cao hơn giai đoạn 1 và 2.

Biểu đồ 3.10. Diễn biến thành tích Chạy chữ T (s) qua 3 giai đoạn
So sánh trên biểu đồ 3.10 thì diễn biến thành tích chạy chữ T (s) qua 3 giai đoạn có xu hướng tăng. Ở giai đoạn 3, giá trị trung vị và bách phân vị ở vùng trung bình, song vẫn cao hơn giai đoạn 1 và 2.

Biểu đồ 3.11. Diễn biến thành tích Dẫn bóng tốc độ 20m (s) qua 3 giai đoạn
So sánh trên biểu đồ 3.11 thì diễn biến thành tích dẫn bóng tốc độ 20m
(s) qua 3 giai đoạn có xu hướng tăng. Ở giai đoạn 3, giá trị trung vị và bách phân vị ở vùng thấp, song vẫn cao hơn giai đoạn 1 và 2.

Biểu đồ 3.12. Diễn biến thành tích Dẫn bóng luồn 5 cọc (s) qua 3 giai đoạn
So sánh trên biểu đồ 3.12 thì diễn biến thành tích dẫn bóng luồn 5 cọc
(s) qua 3 giai đoạn có xu hướng tăng. Ở giai đoạn 3, giá trị trung vị và bách phân vị ở vùng cao, song vẫn cao hơn giai đoạn 1 và 2.

Biểu đồ 3.13. Diễn biến thành tích Di chuyển chuyền bóng 30s (điểm) qua 3 giai đoạn
So sánh trên biểu đồ 3.13 thì diễn biến thành tích di chuyển chuyền bóng 30s (điểm) qua 3 giai đoạn có xu hướng tăng. Ở giai đoạn 3, giá trị trung vị và bách phân vị ở vùng thấp, song vẫn cao hơn giai đoạn 1 và 2.

Biểu đồ 3.14. Diễn biến thành tích Dẫn bóng số 8 lên rổ 5 lần (s) qua 3 giai đoạn
So sánh trên biểu đồ 3.14 thì diễn biến thành tích dẫn bóng số 8 lên rổ 5 lần (s) qua 3 giai đoạn có xu hướng tăng. Ở giai đoạn 3, giá trị trung vị và bách phân vị ở vùng cao, song vẫn cao hơn giai đoạn 1 và 2.

Biểu đồ 3.15. Diễn biến thành tích Test Sucides Drill (s) qua 3 giai đoạn
So sánh trên biểu đồ 3.15 thì diễn biến thành tích test Sucides Drill (s) qua 3 giai đoạn có xu hướng tăng. Ở giai đoạn 3, giá trị trung vị và bách phân vị ở vùng trung bình, song vẫn cao hơn giai đoạn 1 và 2.

Biểu đồ 3.16. Diễn biến thành tích Tại chỗ ném 3 điểm, 10x3 (quả vào) qua 3 giai đoạn
So sánh trên biểu đồ 3.16 thì diễn biến thành tích tại chỗ ném 3 điểm, 10x3 (quả vào) qua 3 giai đoạn có xu hướng tăng. Ở giai đoạn 3, giá trị trung vị và bách phân vị ở vùng trung bình, song vẫn cao hơn giai đoạn 1 và 2.
Mặc dù các phân tích về giá trị trung bình, trung vị của 13 test đánh giá hiệu quả các bài tập nhằm phát triển kỹ thuật ném rổ từ xa trong kế hoạch huấn luyện của Đội tuyển bóng rổ nữ Quảng Ninh. Song vẫn chưa khẳng định được sự khác biệt về thành tích của 13 test giữa 3 giai đoạn. Để làm rò vấn đề này, đề tài đã tiến hành phân tích phương sai (ANOVA).
Kết quả tính toán của 13 test cho phân tích phương sai ANOVA được trình bày ở các bảng.
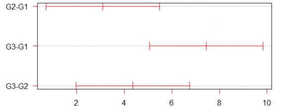
Bảng 3.19. Kết quả phân tích phương sai ANOVA của test Lực bóp tay thuận (Kg)
So sánh khác biệt giữa các giai đoạn | Tổng bình phương | Bình phương trung bình | Giá trị thống kê F | P | |
252.11 | 126.1 | 30.72 | 2.41e-07 *** | ||
2 | So sánh khác biệt từng cặp giai đoạn | Khác biệt | Thấp | Cao | P |
GĐ2 - GĐ1 | 3.099 | 0.714 | 5.484 | 0.0092935 | |
GĐ3 - GĐ1 | 7.450 | 5.065 | 9.835 | 0.0000001 | |
GĐ3 - GĐ2 | 4.351 | 1.966 | 6.736 | 0.0003649 | |
Dấu hiệu ngưỡng: ‘***’ 0.001 ; ‘**’ 0.01 ; ‘*’ 0.05 ; ‘.’ 0.1 ; ‘ ’ 1 | |||||
Có thể bạn quan tâm!
-
Hệ Thống Hoá Và Ứng Dụng Các Bài Tập Nhằm Phát Triển Kỹ Thuật Ném Rổ Từ Xa Trong Kế Hoạch Huấn Luyện Của Đội Tuyển Bóng Rổ Nữ Quảng Ninh -
Kết Quả Kiểm Chứng Hệ Thống Bài Tập Ném Rổ Từ Xa Thông Qua Khảo Sát Ý Kiến Chuyên Gia (N = 22) -
Đánh Giá Hiệu Quả Hệ Thống Bài Tập Ném Rổ Từ Xa Đối Với Phát Triển Trình Độ Và Hiệu Suất Ghi Điểm Từ Xa Của Đội Tuyển Bóng Rổ Nữ Quảng -
Sự Khác Biệt Về Giá Trị Trung Bình Giữa Các Giai Đoạn Trong Khoảng Tin Cậy 95% Của Test Bật Cao Tại Chỗ (Cm) -
Sự Khác Biệt Về Giá Trị Trung Bình Giữa Các Giai Đoạn Trong Khoảng Tin Cậy 95% Của Test Dẫn Bóng Tốc Độ 20M (S) -
So Sánh Kết Quả Xếp Loại Trình Độ Tập Luyện Giữa Các Giai Đoạn Của Vận Động Viên Đội Tuyển Nữ Bóng Rổ Quảng Ninh (N=9)
Xem toàn bộ 203 trang tài liệu này.
Kết quả thu được từ bảng 3.19 cho thấy F value = 30.72 tức là mức độ dao động thành tích lực bóp tay thuận giữa các lần kiểm tra cao gấp 30.72 lần so với phương sai giữa các giai đoạn. Còn chỉ số P = 2.41e-07 < 0.001 đã khẳng định có sự khác biệt về thành tích lực bóp tay thuận của nữ VĐV đội tuyển bóng rổ Quảng Ninh giữa các giai đoạn huấn luyện.
Thông qua phương pháp phân tích hậu định là Tukey’s Honest Significant Difference để tìm những khác biệt thực sự. Kết quả thu được thấy, chỉ số khác biệt thành tích lực bóp tay thuận giữa 3 cặp so sánh theo giai đoạn từ 3.009 – 7.450 với khoảng tin cậy 95% ở mức thấp nhất là 0.714 và cao nhất là 5.484, như vậy đều lớn hơn 0 với P<0.01. Do vậy, thành tích lực bóp tay thuận của nữ VĐV đội tuyển bóng rổ Quảng Ninh giữa các giai đoạn huấn luyện có sự khác biệt rò rệt. Kết quả này được đề tài biểu diễn trên biểu đồ 3.17.

Biểu đồ 3.17. Sự khác biệt về giá trị trung bình giữa các giai đoạn trong khoảng tin cậy 95% của test Lực bóp tay thuận (Kg)
Bảng 3.20. Kết quả phân tích phương sai ANOVA của test Bật cao tại chỗ (cm)
So sánh khác biệt giữa các giai đoạn | Tổng bình phương | Bình phương trung bình | Giá trị thống kê F | P | |
102.7 | 51.37 | 4.6 | 0.0204 * | ||
2 | So sánh khác biệt từng cặp giai đoạn | Khác biệt | Thấp | Cao | P |
GĐ2 - GĐ1 | 2.333 | -1.601 | 6.267 | 0.3173963 | |
GĐ3 - GĐ1 | 4.778 | 0.844 | 8.712 | 0.0152654 | |
GĐ3 - GĐ2 | 2.444 | -1.489 | 6.378 | 0.2855335 | |
Dấu hiệu ngưỡng: ‘***’ 0.001 ; ‘**’ 0.01 ; ‘*’ 0.05 ; ‘.’ 0.1 ; ‘ ’ 1 | |||||
Kết quả thu được từ bảng 3.20 cho thấy F value = 4.6 tức là mức độ dao động thành tích Bật cao tại chỗ giữa các lần kiểm tra cao gấp 4.6 lần so với phương sai giữa các giai đoạn. Còn chỉ số P = 0.0204 < 0.05 đã khẳng định có sự khác biệt về thành tích Bật cao tại chỗ của nữ VĐV đội tuyển bóng rổ Quảng Ninh giữa các giai đoạn huấn luyện.
Thông qua phương pháp phân tích hậu định là Tukey’s Honest Significant Difference để tìm những khác biệt thực sự. Kết quả thu được thấy, chỉ số khác biệt thành tích Bật cao tại chỗ giữa 3 cặp so sánh theo giai đoạn từ






