PHỤ LỤC 6: BÁO CÁO TÀI CHÍNH CÔNG TY CP SỮA VIỆT NAM NĂM 2009-2010




Có thể bạn quan tâm!
-
Những Giải Pháp Xây Dựng Cấu Trúc Vốn Cho Các Công Ty Niêm Yết Tại Sở Gdck Tp.hồ Chí Minh -
Công Ty Cp Chứng Khoán Sài Gòn (2009), “Diễn Biến Chính 2008 & Triển Vọng 2009”, Website Công Ty Cp Chứng Khoán Sài Gòn, Tháng 01/2009. -
Báo Cáo Tài Chính Công Ty Cp Đầu Tư & Công Nghiệp Tân Tạo Năm 2009-2010 -
Các nhân tố tác động đến cấu trúc vốn của các công ty niêm yết tại sở giao dịch chứng khoán TP.Hồ Chí Minh - 10
Xem toàn bộ 84 trang tài liệu này.

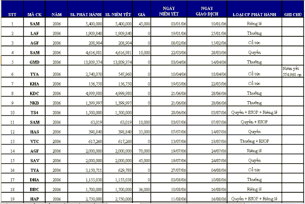
PHỤ LỤC 7: DANH SÁCH CÁC CÔNG TY PHÁT HÀNH THÊM CỔ PHIẾU TỪ 2004-2008









