



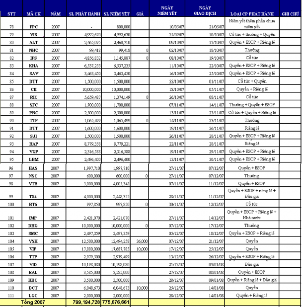
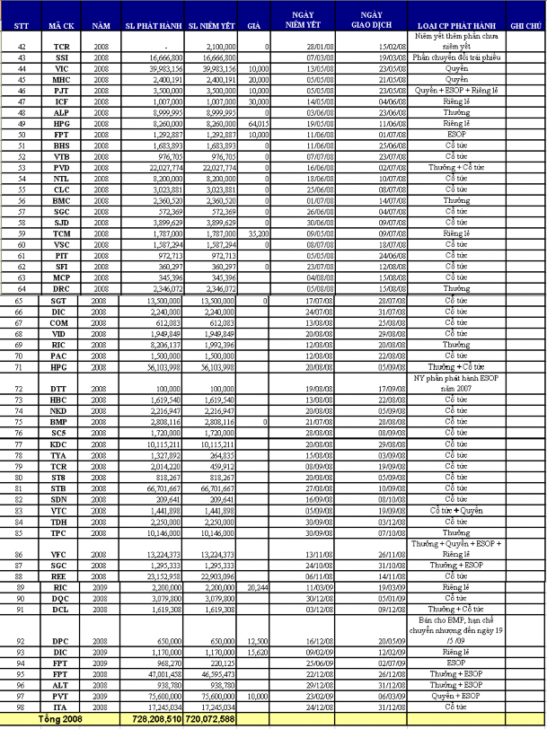
Nguồn: số liệu thống kê của Sở GDCK TP.Hồ Chí Minh, www.hsx.vn
Có thể bạn quan tâm!
-
Công Ty Cp Chứng Khoán Sài Gòn (2009), “Diễn Biến Chính 2008 & Triển Vọng 2009”, Website Công Ty Cp Chứng Khoán Sài Gòn, Tháng 01/2009. -
Báo Cáo Tài Chính Công Ty Cp Đầu Tư & Công Nghiệp Tân Tạo Năm 2009-2010 -
Các nhân tố tác động đến cấu trúc vốn của các công ty niêm yết tại sở giao dịch chứng khoán TP.Hồ Chí Minh - 9
Xem toàn bộ 84 trang tài liệu này.
PHỤ LỤC 8: BẢNG LÃI SUẤT NGÂN HÀNG NĂM 2007-2010


Nguồn: website Ngân Hàng Nhà Nước Việt Nam, www.sbv.gov.vn



