




PHỤ LỤC 12: PHÂN TÍCH NHÂN TỐ ĐO LƯỜNG SỰ HÀI LÒNG KHÁCH HÀNG

Có thể bạn quan tâm!
-
Abdullah H.aldlaigan, And Francis A. Buttle (2002), “Systra-Sq: A New Measure Of Bank Service Quality” , International Journal Of Service Industry Management, Vol.13, No.4, Pp.362-381 -
Thống Kê Mô Tả Các Thang Đo Chất Lượng Phục Vụ -
Nghiên cứu sự hài lòng của khách hàng cá nhân đối với dịch vụ tại ngân hàng TMCP Bản Việt, CN Tp. HCM - 10
Xem toàn bộ 94 trang tài liệu này.

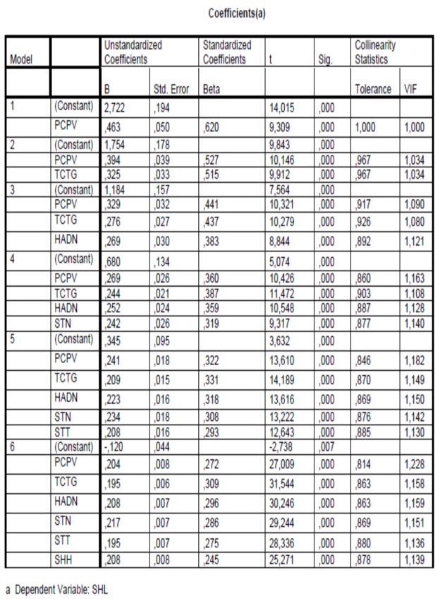
PHỤ LỤC 13: PHÂN TÍCH HÔI QUY





