
Giáo trình Toán cao cấp A2 - Trường ĐH Sư phạm Kỹ thuật TP.HCM - 24 Trang 139
Có thể bạn quan tâm!
-
Giáo trình Toán cao cấp A2 - Trường ĐH Sư phạm Kỹ thuật TP.HCM - 21 -
Giáo trình Toán cao cấp A2 - Trường ĐH Sư phạm Kỹ thuật TP.HCM - 22 -
Giáo trình Toán cao cấp A2 - Trường ĐH Sư phạm Kỹ thuật TP.HCM - 23 -
Giáo trình Toán cao cấp A2 - Trường ĐH Sư phạm Kỹ thuật TP.HCM - 25 -
Giáo trình Toán cao cấp A2 - Trường ĐH Sư phạm Kỹ thuật TP.HCM - 26 -
Giáo trình Toán cao cấp A2 - Trường ĐH Sư phạm Kỹ thuật TP.HCM - 27

Trang 140

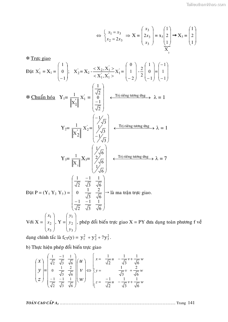
Trang 141

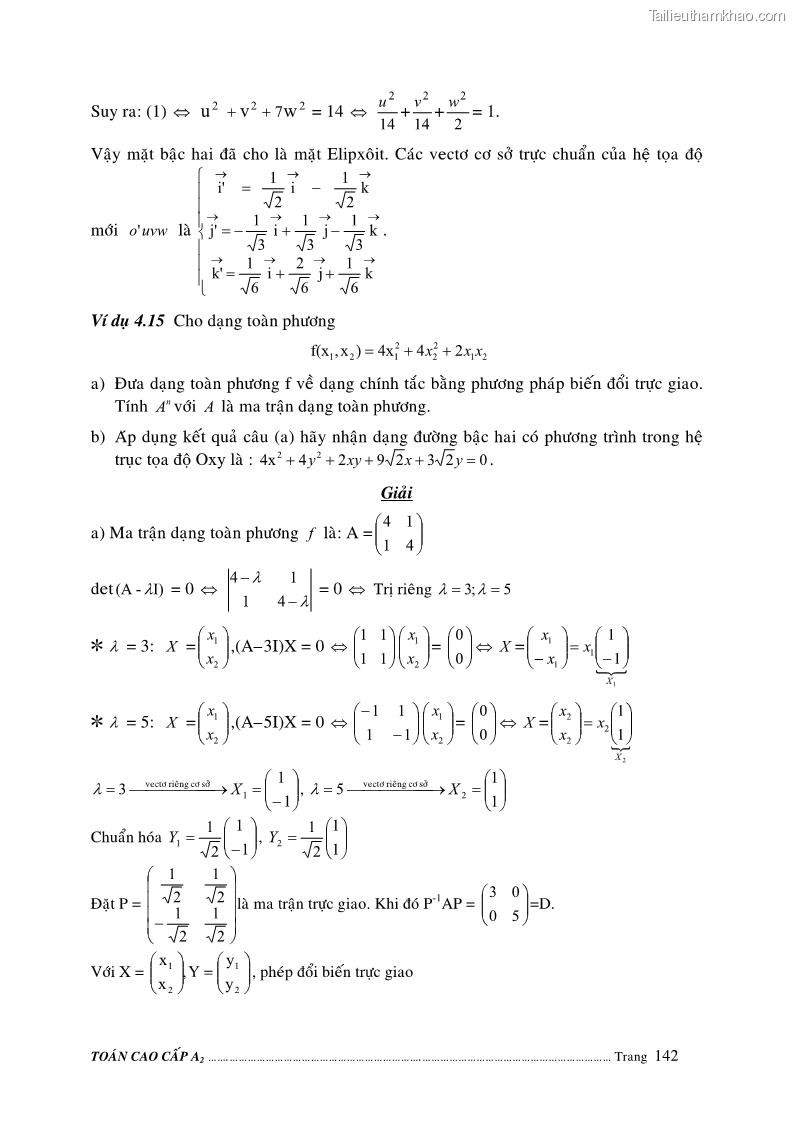
Trang 142

Trang 143

Trang 144






