
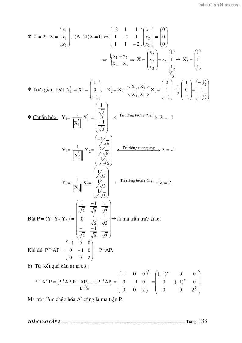
Giáo trình Toán cao cấp A2 - Trường ĐH Sư phạm Kỹ thuật TP.HCM - 23 Trang 133
Có thể bạn quan tâm!
-
Giáo trình Toán cao cấp A2 - Trường ĐH Sư phạm Kỹ thuật TP.HCM - 20 -
Giáo trình Toán cao cấp A2 - Trường ĐH Sư phạm Kỹ thuật TP.HCM - 21 -
Giáo trình Toán cao cấp A2 - Trường ĐH Sư phạm Kỹ thuật TP.HCM - 22 -
Giáo trình Toán cao cấp A2 - Trường ĐH Sư phạm Kỹ thuật TP.HCM - 24 -
Giáo trình Toán cao cấp A2 - Trường ĐH Sư phạm Kỹ thuật TP.HCM - 25 -
Giáo trình Toán cao cấp A2 - Trường ĐH Sư phạm Kỹ thuật TP.HCM - 26

Trang 134

Trang 135

Trang 136

Trang 137

Trang 138






