
Giáo trình Toán cao cấp A2 - Trường ĐH Sư phạm Kỹ thuật TP.HCM - 22 Trang 127
Có thể bạn quan tâm!
-
Giáo trình Toán cao cấp A2 - Trường ĐH Sư phạm Kỹ thuật TP.HCM - 19 -
Giáo trình Toán cao cấp A2 - Trường ĐH Sư phạm Kỹ thuật TP.HCM - 20 -
Giáo trình Toán cao cấp A2 - Trường ĐH Sư phạm Kỹ thuật TP.HCM - 21 -
Giáo trình Toán cao cấp A2 - Trường ĐH Sư phạm Kỹ thuật TP.HCM - 23 -
Giáo trình Toán cao cấp A2 - Trường ĐH Sư phạm Kỹ thuật TP.HCM - 24 -
Giáo trình Toán cao cấp A2 - Trường ĐH Sư phạm Kỹ thuật TP.HCM - 25

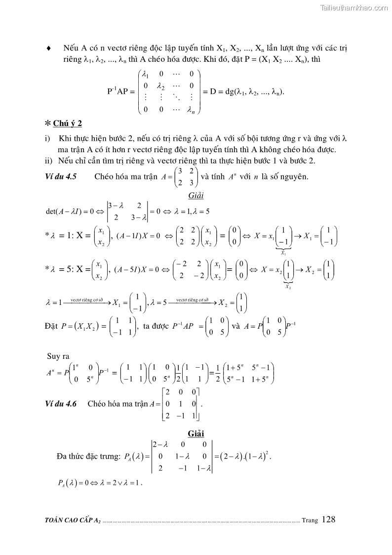
Trang 128

Trang 129

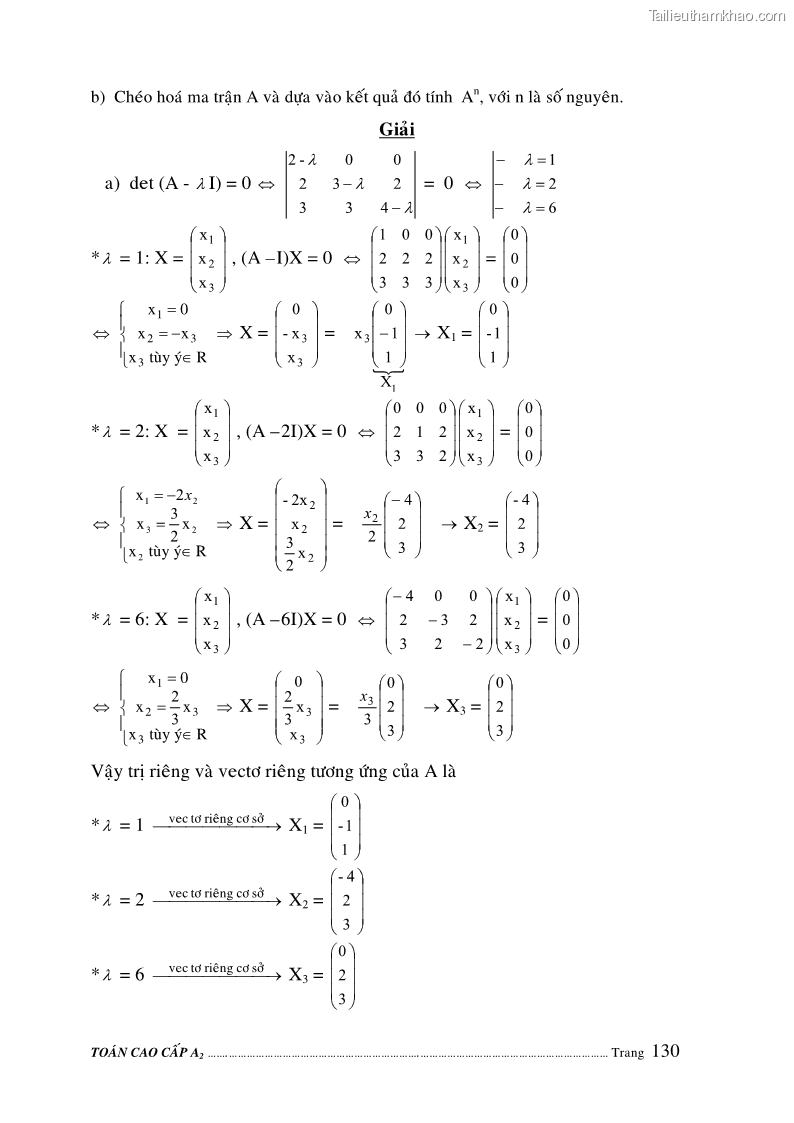
Trang 130

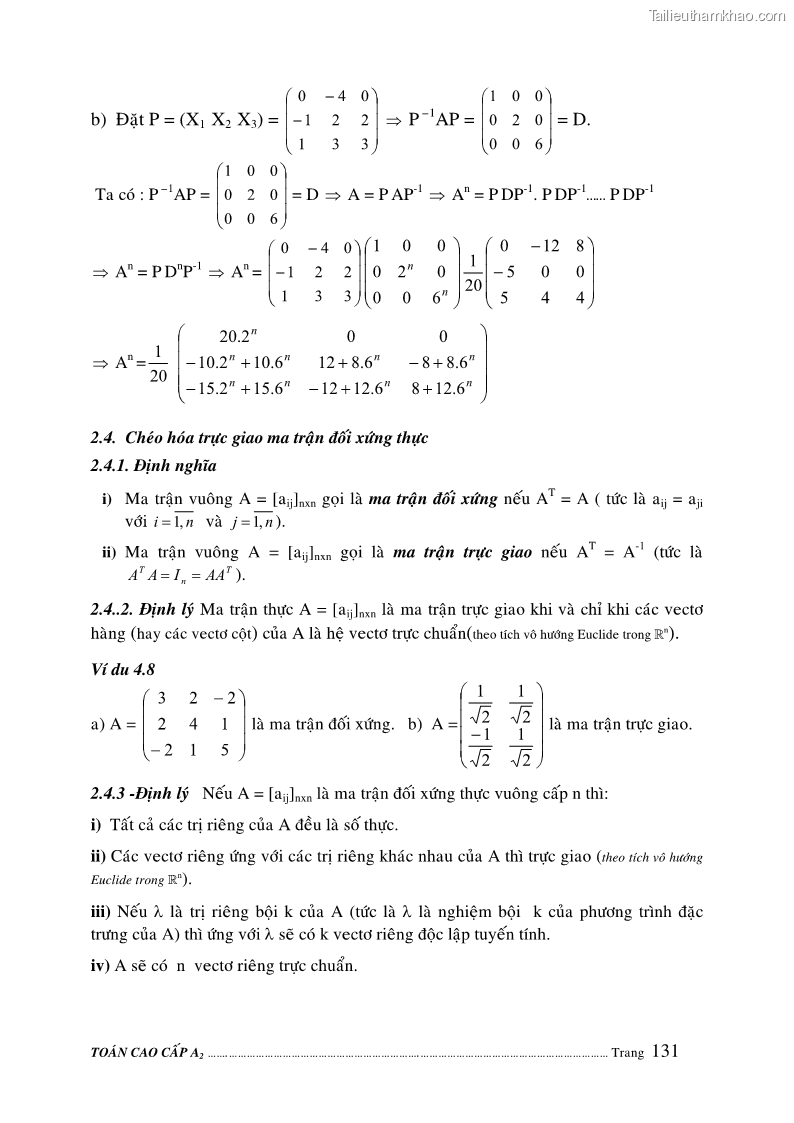
Trang 131

Trang 132






