
Giáo trình Toán cao cấp A2 - Trường ĐH Sư phạm Kỹ thuật TP.HCM - 4 Trang 19
Có thể bạn quan tâm!
-
Giáo trình Toán cao cấp A2 - Trường ĐH Sư phạm Kỹ thuật TP.HCM - 1 -
Giáo trình Toán cao cấp A2 - Trường ĐH Sư phạm Kỹ thuật TP.HCM - 2 -
Giáo trình Toán cao cấp A2 - Trường ĐH Sư phạm Kỹ thuật TP.HCM - 3 -
Giáo trình Toán cao cấp A2 - Trường ĐH Sư phạm Kỹ thuật TP.HCM - 5 -
Giáo trình Toán cao cấp A2 - Trường ĐH Sư phạm Kỹ thuật TP.HCM - 6 -
Giáo trình Toán cao cấp A2 - Trường ĐH Sư phạm Kỹ thuật TP.HCM - 7

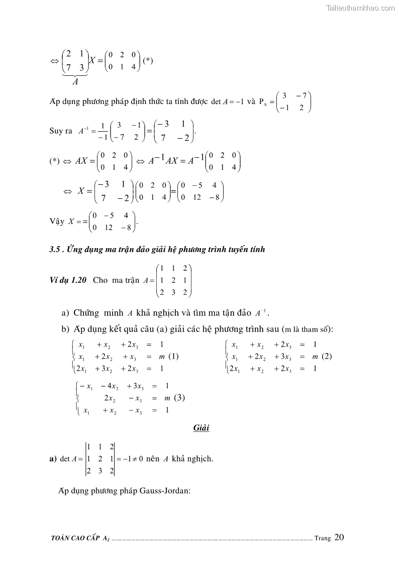
Trang 20

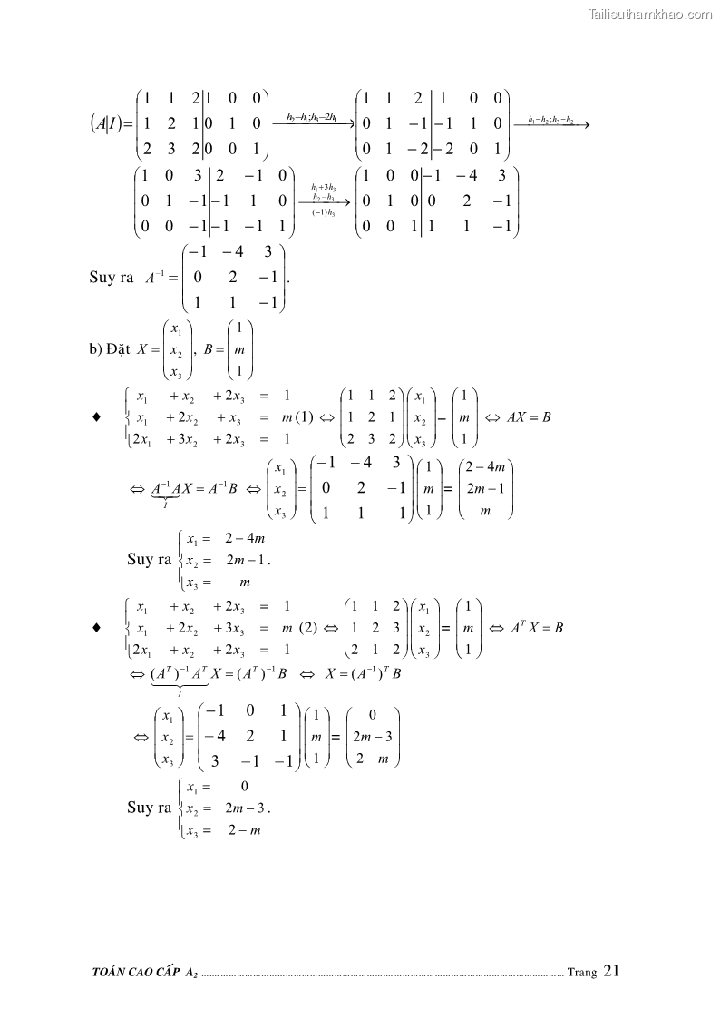
Trang 21

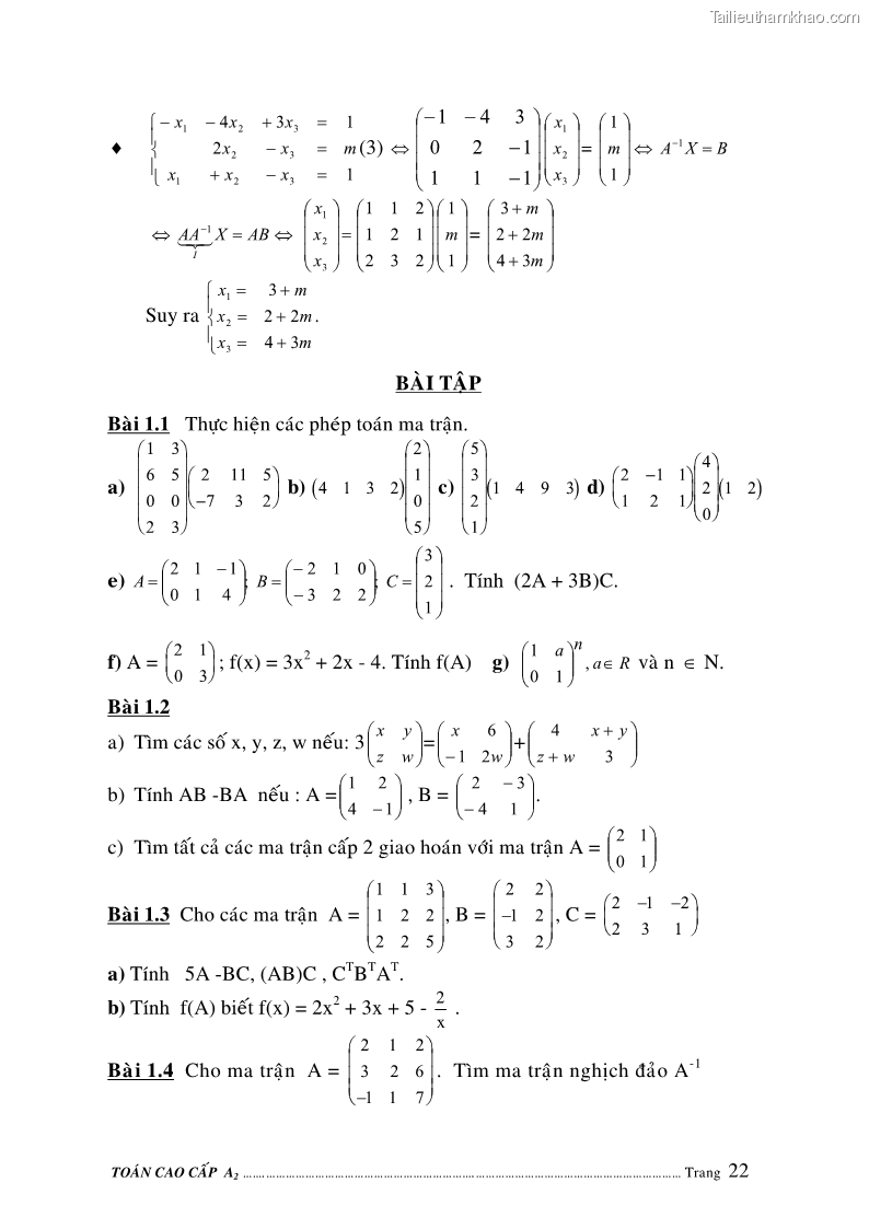
Trang 22

Trang 23

Trang 24






