
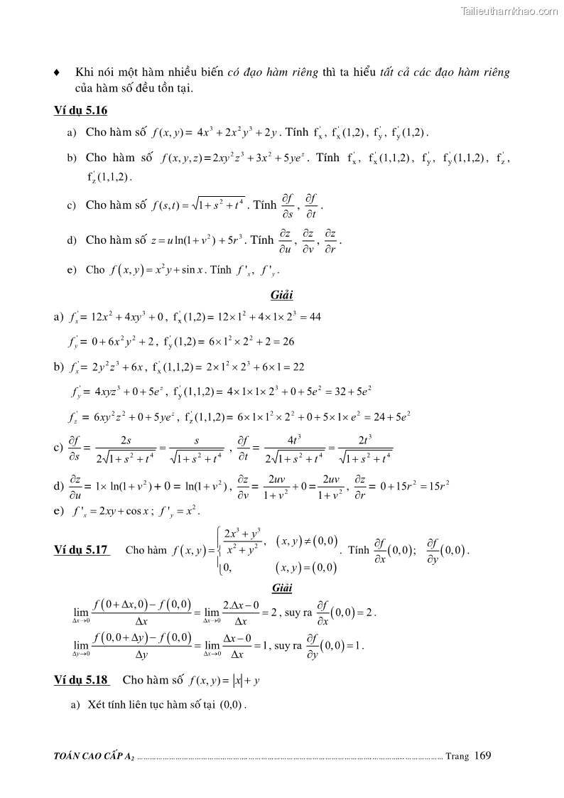
Giáo trình Toán cao cấp A2 - Trường ĐH Sư phạm Kỹ thuật TP.HCM - 29 Trang 169
Có thể bạn quan tâm!
-
Giáo trình Toán cao cấp A2 - Trường ĐH Sư phạm Kỹ thuật TP.HCM - 26 -
Giáo trình Toán cao cấp A2 - Trường ĐH Sư phạm Kỹ thuật TP.HCM - 27 -
Giáo trình Toán cao cấp A2 - Trường ĐH Sư phạm Kỹ thuật TP.HCM - 28 -
Giáo trình Toán cao cấp A2 - Trường ĐH Sư phạm Kỹ thuật TP.HCM - 30 -
Giáo trình Toán cao cấp A2 - Trường ĐH Sư phạm Kỹ thuật TP.HCM - 31 -
Giáo trình Toán cao cấp A2 - Trường ĐH Sư phạm Kỹ thuật TP.HCM - 32

Trang 170

Trang 171

Trang 172

Trang 173

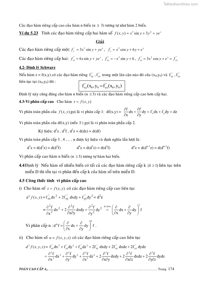
Trang 174






