
Luận án Tiến sĩ Kinh doanh và quản lý Chính sách thuế nhà ở, đất ở tại Việt Nam - 28 Trang 217
Có thể bạn quan tâm!
-
Luận án Tiến sĩ Kinh doanh và quản lý Chính sách thuế nhà ở, đất ở tại Việt Nam - 25 -
Luận án Tiến sĩ Kinh doanh và quản lý Chính sách thuế nhà ở, đất ở tại Việt Nam - 26 -
Luận án Tiến sĩ Kinh doanh và quản lý Chính sách thuế nhà ở, đất ở tại Việt Nam - 27 -
Luận án Tiến sĩ Kinh doanh và quản lý Chính sách thuế nhà ở, đất ở tại Việt Nam - 29

Trang 218

Trang 219

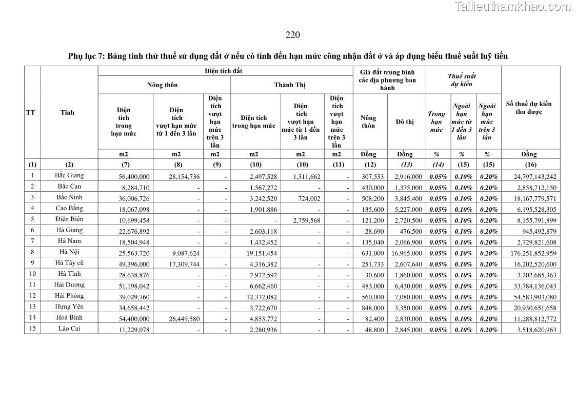
Trang 220

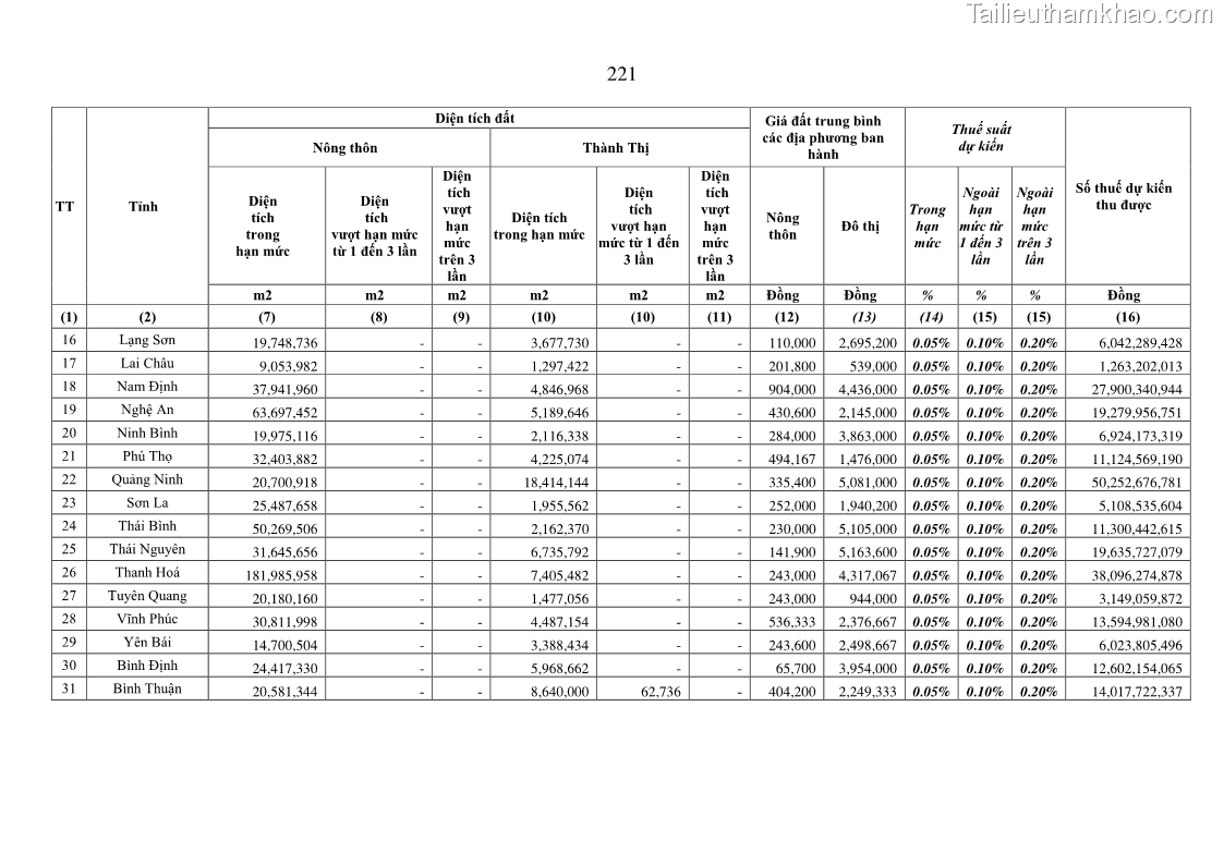
Trang 221

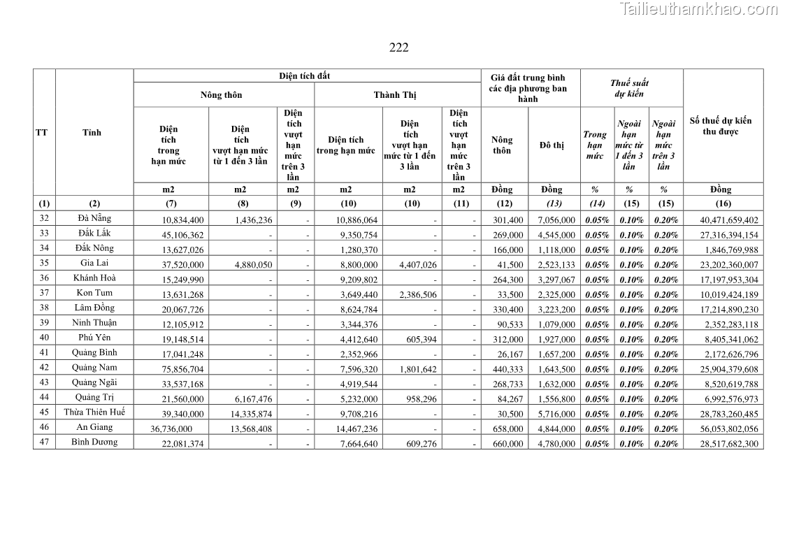
Trang 222

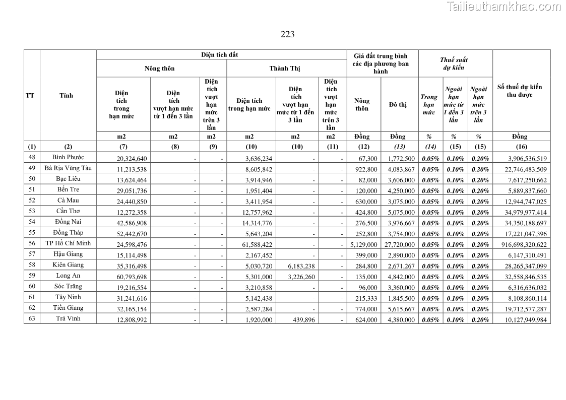
Trang 223

Trang 224




