
Giáo trình Xử lý tín hiệu số 2 Phần 1 - 10 Trang 73
Có thể bạn quan tâm!
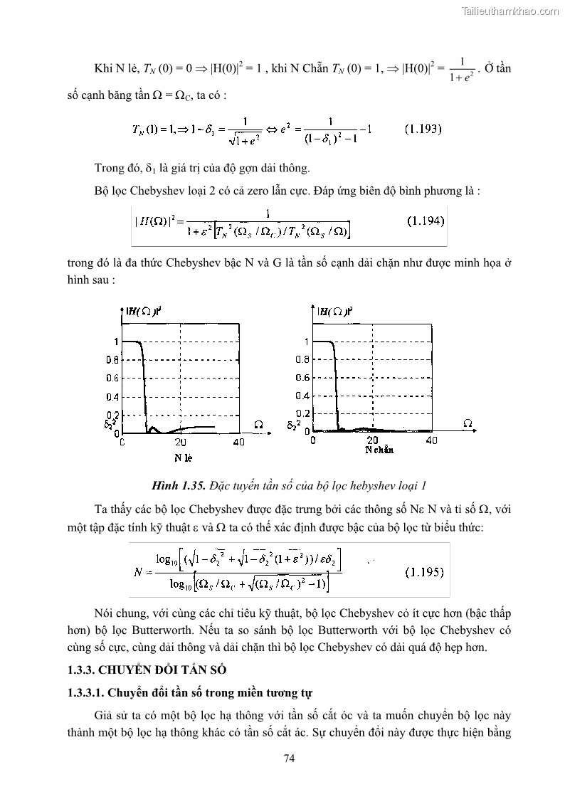
-
Giáo trình Xử lý tín hiệu số 2 Phần 1 - 7 -
Giáo trình Xử lý tín hiệu số 2 Phần 1 - 8 -
Giáo trình Xử lý tín hiệu số 2 Phần 1 - 9 -
Giáo trình Xử lý tín hiệu số 2 Phần 1 - 11 -
Giáo trình Xử lý tín hiệu số 2 Phần 1 - 12 -
Giáo trình Xử lý tín hiệu số 2 Phần 1 - 13

Trang 74

Trang 75

Trang 76

Trang 77

Trang 78

Trang 79

Trang 80






