
Luận án tiến sĩ báo chí học Báo chí truyền thông về chính sách cải cách hành chính nhà nước Việt Nam - 29 Trang 225
Có thể bạn quan tâm!
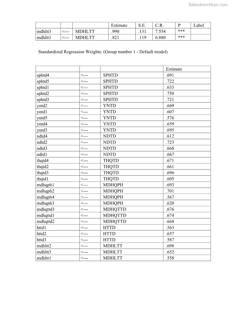
-
Luận án tiến sĩ báo chí học Báo chí truyền thông về chính sách cải cách hành chính nhà nước Việt Nam - 26 -
Luận án tiến sĩ báo chí học Báo chí truyền thông về chính sách cải cách hành chính nhà nước Việt Nam - 27 -
Luận án tiến sĩ báo chí học Báo chí truyền thông về chính sách cải cách hành chính nhà nước Việt Nam - 28 -
Luận án tiến sĩ báo chí học Báo chí truyền thông về chính sách cải cách hành chính nhà nước Việt Nam - 30 -
Luận án tiến sĩ báo chí học Báo chí truyền thông về chính sách cải cách hành chính nhà nước Việt Nam - 31 -
Luận án tiến sĩ báo chí học Báo chí truyền thông về chính sách cải cách hành chính nhà nước Việt Nam - 32

Trang 226

Trang 227

Trang 228

Trang 229

Trang 230

Trang 231

Trang 232






