
Luận văn thạc sĩ kinh doanh thương mại Hoạt động quản lý rủi ro tín dụng tại Ngân hàng TMCP Đầu tư và Phát triển Việt Nam - Chi nhánh Cẩm Phả - 4 Trang 37
Có thể bạn quan tâm!
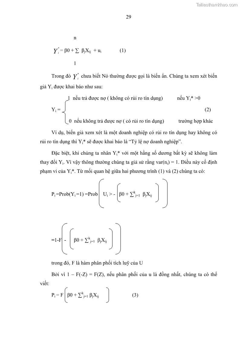
-
Luận văn thạc sĩ kinh doanh thương mại Hoạt động quản lý rủi ro tín dụng tại Ngân hàng TMCP Đầu tư và Phát triển Việt Nam - Chi nhánh Cẩm Phả - 1 -
Luận văn thạc sĩ kinh doanh thương mại Hoạt động quản lý rủi ro tín dụng tại Ngân hàng TMCP Đầu tư và Phát triển Việt Nam - Chi nhánh Cẩm Phả - 2 -
Luận văn thạc sĩ kinh doanh thương mại Hoạt động quản lý rủi ro tín dụng tại Ngân hàng TMCP Đầu tư và Phát triển Việt Nam - Chi nhánh Cẩm Phả - 3 -
Luận văn thạc sĩ kinh doanh thương mại Hoạt động quản lý rủi ro tín dụng tại Ngân hàng TMCP Đầu tư và Phát triển Việt Nam - Chi nhánh Cẩm Phả - 5 -
Luận văn thạc sĩ kinh doanh thương mại Hoạt động quản lý rủi ro tín dụng tại Ngân hàng TMCP Đầu tư và Phát triển Việt Nam - Chi nhánh Cẩm Phả - 6 -
Luận văn thạc sĩ kinh doanh thương mại Hoạt động quản lý rủi ro tín dụng tại Ngân hàng TMCP Đầu tư và Phát triển Việt Nam - Chi nhánh Cẩm Phả - 7

Trang 38

Trang 39

Trang 40

Trang 41

Trang 42

Trang 43

Trang 44

Trang 45

Trang 46

Trang 47

Trang 48






