
Luận văn thạc sĩ khoa học lâm nghiệp Xây dựng các mô hình cấu trúc, sinh trưởng và hình dạng thân cây làm cơ sở đề xuất các phương pháp xác định trữ lượng, sản lượng cho lâm phần keo tai tượng Acacia mangium tại khu vực Hàm Yên – Tuyên Quang - 5 Trang 49
Có thể bạn quan tâm!
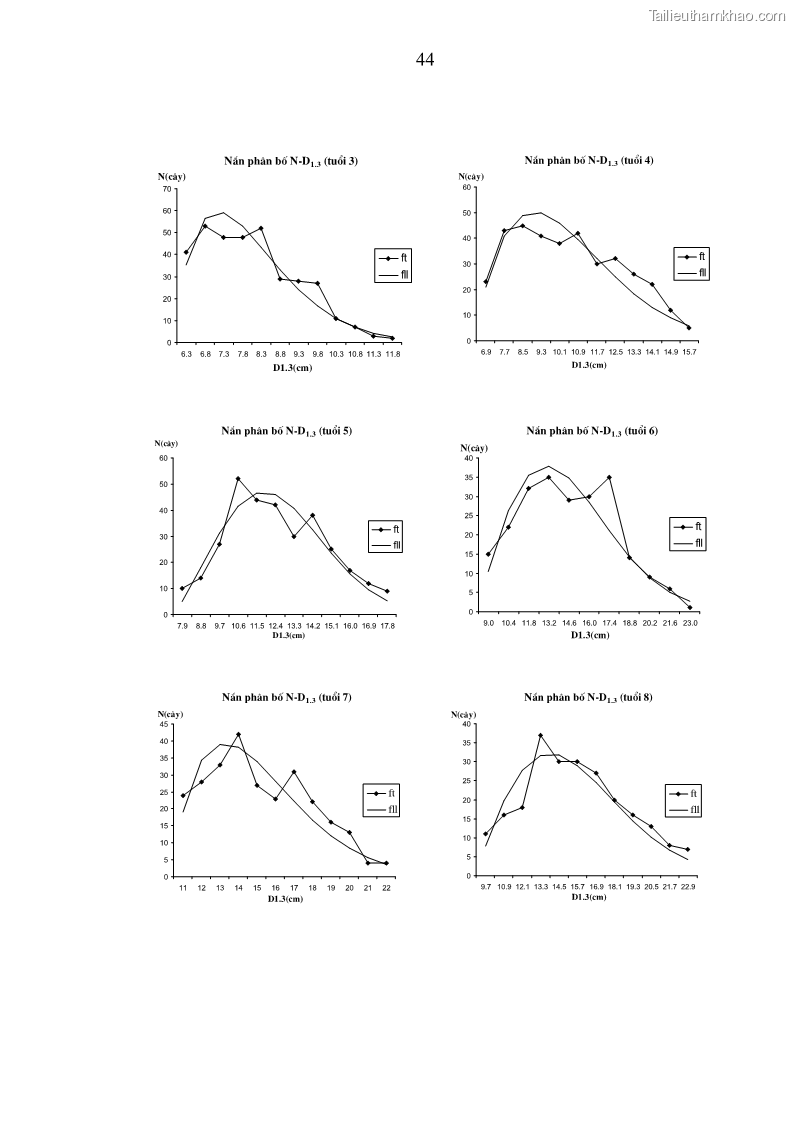
-
Luận văn thạc sĩ khoa học lâm nghiệp Xây dựng các mô hình cấu trúc, sinh trưởng và hình dạng thân cây làm cơ sở đề xuất các phương pháp xác định trữ lượng, sản lượng cho lâm phần keo tai tượng Acacia mangium tại khu vực Hàm Yên – Tuyên Quang - 2 -
Luận văn thạc sĩ khoa học lâm nghiệp Xây dựng các mô hình cấu trúc, sinh trưởng và hình dạng thân cây làm cơ sở đề xuất các phương pháp xác định trữ lượng, sản lượng cho lâm phần keo tai tượng Acacia mangium tại khu vực Hàm Yên – Tuyên Quang - 3 -
Luận văn thạc sĩ khoa học lâm nghiệp Xây dựng các mô hình cấu trúc, sinh trưởng và hình dạng thân cây làm cơ sở đề xuất các phương pháp xác định trữ lượng, sản lượng cho lâm phần keo tai tượng Acacia mangium tại khu vực Hàm Yên – Tuyên Quang - 4 -
Luận văn thạc sĩ khoa học lâm nghiệp Xây dựng các mô hình cấu trúc, sinh trưởng và hình dạng thân cây làm cơ sở đề xuất các phương pháp xác định trữ lượng, sản lượng cho lâm phần keo tai tượng Acacia mangium tại khu vực Hàm Yên – Tuyên Quang - 6 -
Luận văn thạc sĩ khoa học lâm nghiệp Xây dựng các mô hình cấu trúc, sinh trưởng và hình dạng thân cây làm cơ sở đề xuất các phương pháp xác định trữ lượng, sản lượng cho lâm phần keo tai tượng Acacia mangium tại khu vực Hàm Yên – Tuyên Quang - 7 -
Luận văn thạc sĩ khoa học lâm nghiệp Xây dựng các mô hình cấu trúc, sinh trưởng và hình dạng thân cây làm cơ sở đề xuất các phương pháp xác định trữ lượng, sản lượng cho lâm phần keo tai tượng Acacia mangium tại khu vực Hàm Yên – Tuyên Quang - 8

Trang 50

Trang 51

Trang 52

Trang 53

Trang 54

Trang 55

Trang 56

Trang 57

Trang 58

Trang 59

Trang 60






